本期目录

2018年, 第29卷, 第12期 刊出日期:2018-12-22
  

  • 全选
    |
    Editorials
  • Xiaoyu Hu, Zhichao Pei
    中国化学快报. 2018, 29(12): 1703-1705. https://doi.org/10.1016/j.cclet.2018.10.033
    摘要 ( ) PDF全文 ( ) HTML 可视化 收藏
  • Pei Zhao, Liangliang Zhu
    中国化学快报. 2018, 29(12): 1706-1708. https://doi.org/10.1016/j.cclet.2018.10.034
    摘要 ( ) PDF全文 ( ) HTML 可视化 收藏
  • Highlights
  • Dong-Sheng Guo
    中国化学快报. 2018, 29(12): 1709-1710. https://doi.org/10.1016/j.cclet.2018.10.032
    摘要 ( ) PDF全文 ( ) HTML 可视化 收藏
  • Pingsheng He
    中国化学快报. 2018, 29(12): 1711-1712. https://doi.org/10.1016/j.cclet.2018.10.028
    摘要 ( ) PDF全文 ( ) HTML 可视化 收藏
  • 评论
  • Xingli Zhou, Ying Hao, Liping Yuan, Sushmita Pradhan, Krista Shrestha, Ojaswi Pradhan, Hongjie Liu, Wei Li
    中国化学快报. 2018, 29(12): 1713-1724. https://doi.org/10.1016/j.cclet.2018.10.037
    摘要 ( ) PDF全文 ( ) HTML 可视化 收藏
    Transdermal drug delivery refers to a means of delivering drugs through the surface of the skin for local or systemic treatment. The drug functions after absorption through the skin into the systemic circulation via capillary action at a certain rate. Use of traditional physical and chemical enhancers to improve the transdermal permeation rate by increasing drug solubility, diffusion coefficient, and reservoir effect is not feasible owing to the toxic side effects of the overuse of chemical penetration enhancers. Nanoformulations generally vary in size and range from 10 nm to 100 nm. The smaller particle size leads to increased drug permeability, stability, retention, and targeting, making nano-formulations suitable for transdermal drug delivery. The different applications of nano-formulations (vesicles or nanoparticles and nanoemulsions) have been widely studied. Here, the classification, characteristics, transdermal mechanism, and application of the most popular nano-formulations in transdermal drug delivery system are reviewed.
  • Baoling Liu, Hongchen Zhang, Ya Ding
    中国化学快报. 2018, 29(12): 1725-1730. https://doi.org/10.1016/j.cclet.2018.12.006
    摘要 ( ) PDF全文 ( ) HTML 可视化 收藏
    Heterostructures are a series of nanomaterials combining different components into a single nanostructure. Au-Fe3O4 heterostructures have received considerable attentions because of their superior properties coming from both individual and combinational features of gold and iron oxide nanoparticles. Their intrinsically peculiar magnetic, optical properties, and structure designability greatly enhance and broaden their potential applications in catalysis, assay, multimodal imaging, and synergistic treatment for tumor. In this review, we systematically introduce the preparation methods of Au-Fe3O4 heterostructures and their potential applications in the biomedical field, focusing on the unique synergistic effect caused by the combination of gold and iron oxide structures. This review will provide insights into the structure control in adjusting the function of heterogeneous or hybrid material, such as Au-Fe3O4 heterostructures, to implement their biomedical applications.
  • Chenggang Wang, Pengxiao Sun, Guangmeng Qu, Jiangmei Yin, Xijin Xu
    中国化学快报. 2018, 29(12): 1731-1740. https://doi.org/10.1016/j.cclet.2018.12.005
    摘要 ( ) PDF全文 ( ) HTML 可视化 收藏
    The electrode materials as the key component of supercapacitors have attracted considerable research interests, especially for nickel/cobalt based materials by virtue of their superior electrochemical performance with multiple oxidation states for richer redox reactions, abundant natural resources, lower prices and toxicity. There are many advanced electrodes based on the nickel/cobalt materials exploited for the application of supercapacitors, however, some controversial statements have induced some confusion. Herein, we refine the mechanism of energy storage for the nickel/cobalt based materials for supercapacitors and reclassify them into battery-type materials with the corresponding devices named as hybrid supercapacitors.
  • Zhuo Chen, Yufang Xu, Xuhong Qian
    中国化学快报. 2018, 29(12): 1741-1756. https://doi.org/10.1016/j.cclet.2018.09.020
    摘要 ( ) PDF全文 ( ) HTML 可视化 收藏
    In this review, we retrospect our progress in biological active naphthalimide and analogues as antitumor agents in the past 20 years. On one hand, various derivations in naphthalimide pharmacophores were developed to enhance their DNA binding affinity and antitumor property thereby. Heterocyclic fused naphthalimides, bis-naphthalimides, non-fused substituted naphthalimides and the carboxamide derivatives were synthesized. For example, thio-heterocyclic fused-naphthalimides were designed and evaluated in comparison with their oxo-heterocyclic fused analogues. Extended or created heterocyclebased skeleton were also developed as antitumor agents. On the other hand, we broaden the design strategy of naphthalimide antitumor agents besides DNA intercalation and topo Ⅱ poison. We have introduced more drug design methods, such as prodrugs, multitarget drugs, computer-aided drug design, photodynamic therapy. For example, we have got naphthalimide derivatives which inhibited topo Ⅱ and induced LMP by introducing long alkyl chain and polyamines. Several representative compounds were clarified of their antitumor mechanism of action. In all, our research improves the structure diversity of naphthalimide antitumor agents and distinct variances of antitumor targets and mechanism of action.
  • Bin Wang, Xiaoyang Cui, Jiaqi Huang, Rui Cao, Qiang Zhang
    中国化学快报. 2018, 29(12): 1757-1767. https://doi.org/10.1016/j.cclet.2018.11.021
    摘要 ( ) PDF全文 ( ) HTML 可视化 收藏
    The oxygen evolution reaction (OER) and oxygen reduction reaction (ORR) are coupled with various sustainable energy systems and are significant for the future energy scenario. Both of them suffer from sluggish kinetics, which calls for cost-effective and high-performance electrocatalysts to promote. The oxygen electrolysis of OER and ORR is heterogeneous reaction, which involves reactant and electron transfer, and a serial of complicate surface reactions. Both intrinsic catalyst activity and extrinsic physicochemical characters play a vital role in overall electrocatalytic reactivity. Herein, recent advances in rational design and effective construction of precious-metal-free materials are reviewed for OER and ORR, respectively, in the respects of electronic structure regulation, nanostructure tailor, and freestanding electrode fabrication. The reaction mechanism of OER and ORR are also updated. This review provides emerging energy chemistry concepts and materials chemistry strategies of electrocatalysts for OER and ORR, which is also enlightening for other energy conversion devices with targeted optimization.
  • 通信
  • Zelang Jian, Wentao Wang, Maoyu Wang, Yan Wang, Nick AuYeung, Miao Liu, Zhenxing Feng
    中国化学快报. 2018, 29(12): 1768-1772. https://doi.org/10.1016/j.cclet.2018.11.002
    摘要 ( ) PDF全文 ( ) HTML 可视化 收藏
    Lithium-ion batteries (LIBs) as energy storage devices play an important role in all aspects of our life. The increasing energy demand of the society requires LIBs with higher energy density and better performance. We here develop a new and easy-to-scaleup sol-gel method to coat a surface protection layer on commercial LiCoO2 cathode. We demonstrate that a proper thickness can improve the cycling life with a higher cut-off potential (4.5 V), larger energy capacity (180 mAh/g at 0.5C) and better energy density (35% more compared to non-coated LiCoO2). The mechanism of the protection layer is also revealed by a combination of electron microscopy and synchrotron X-ray spectroscopy.
  • Li Zhang, Yun Ding, Jiangxuan Song
    中国化学快报. 2018, 29(12): 1773-1776. https://doi.org/10.1016/j.cclet.2018.03.008
    摘要 ( ) PDF全文 ( ) HTML 可视化 收藏
    Siliconanodeshavedrawnever-increasingattentioninlithium-ionbatteries(LIBs)owingtotheirextremely high theoretical capacity and abundance in the earth. Despite promising advantages, the wide use of silicon anodesinLIBsishighlyhinderedbytheirfastcapacityfadingandlowCoulombicefficiencyarisingfromtheir substantial volumetric variation (>300%). Herein, we report a novel aqueous hybrid gel binder for silicon anodes via crosslinking sodium carboxymethyl cellulose (NaCMC) by an inorganic crosslinker-sodium borate. Not only this gel polymer binder can chemically bond to silicon nanoparticle, but also the deformable framework of this crosslinked binder is capable of maintaining electrode integrity, thus buffering dramatic volume change of silicon. Consequently, the silicon anode with this gel binder exhibits good cycle life (1211.5 mAh/g after 600 cycles) and high initial Coulombic efficiency (88.95%).
  • Yuchi Yang, Chen Chen, Jianhua Hu, Yonghui Deng, Yi Zhang, Dong Yang
    中国化学快报. 2018, 29(12): 1777-1780. https://doi.org/10.1016/j.cclet.2018.08.013
    摘要 ( ) PDF全文 ( ) HTML 可视化 收藏
    Lithium sulfur (Li-S) batteries are regarded as promising candidates for next-generation rechargeable batteries. However, the insulation characteristic of sulfur and severe polysulfide dissolution hindered their development. We presented a facile approach to fabricate Li-S batteries by coating commercial carbon nanotube or graphene slurries on normal sulfur cathode electrode to construct a dual-layer cathode electrode. The conductive CNT or graphene layer could not only improve the conductivity of sulfur cathode, but also suppress the polysulfide diffusion. The CNT@S cathode delivered a high reversible capacity of 740 mAh/g over 300 cycles at 1 C and 870 mAh/g over 100 cycles at 0.2 C. Furthermore, this strategy could be realized on the commercial product line of lithium-ion batteries, which made it possible to large-scale produce Li-S batteries.
  • Lili Liu, Changjiang Du, Shili Wang, Shimou Chen
    中国化学快报. 2018, 29(12): 1781-1784. https://doi.org/10.1016/j.cclet.2018.10.002
    摘要 ( ) PDF全文 ( ) HTML 可视化 收藏
    Three different types of new electrolyte additives were adopted as flame retardant to improve the safety of nickel-cobalt-aluminum (LiNi0.8Co0.15Al0.05O2, abbreviation NCA) based lithium batteries. By adding 5 wt% of the additives, an obvious flame retardant effect can be observed for the electrolyte. Furthermore, it was found that the additives can help for forming a stable cathode electrolyte interface (CEI) film on the NCA cathode, which are important for enhancing the thermal stability of the electrolyte and make the electrolyte obviously reduce the flammability, as well as good effect on the cycling cycle performance of the battery. These results indicate that our flame retardant are favorable additives in conventional liquid electrolytes for rechargeable lithium-ion batteries with good safety and high performances.
  • Jiaqin Liao, Rou Tan, Zhixiang Kuang, Chunyu Cui, Zengxi Wei, Xiaolan Deng, Zhanheng Yan, Yuezhan Feng, Fang Li, Caiyun Wang, Jianmin Ma
    中国化学快报. 2018, 29(12): 1785-1790. https://doi.org/10.1016/j.cclet.2018.11.018
    摘要 ( ) PDF全文 ( ) HTML 可视化 收藏
    The morphology, size and phase of the material play a crucial role in its electrochemical performance. Herein, the nano-sized niobium pentoxide (Nb2O5) with different morphologies and phase structures are synthesized through a very simple thermal treatment method, including the pseudohexagonal Nb2O5 nanosheets and pseudohexagonal Nb2O5 nanoparticles, orthorhombic Nb2O5 nanoparticles. The synthesized pseudohexagonal Nb2O5 nanosheets and orthorhombic Nb2O5 nanoparticles exhibit better cycling and rate performance than the pseudohexagonal Nb2O5 nanoparticles due to the different morphologies and phase structures. The T-Nb2O5-700 nanoparticles show the higher capacity (175 mAh/g) than that of TT-Nb2O5-500 nanosheets (127 mAh/g) and TT-Nb2O5-600 nanoparticles (39 mAh/g) at a current density of 50 mA/g and good rate performance with a capacity of 140 mAh/g at 1.0 A/g. The excellent rate capability and cycling stability of orthorhombic T-Nb2O5 may be ascribed to the dominant contribution of pseudocapacitive effect. This material has the great potential as a practical high-rate anode material for lithium-ion batteries.
  • Xiaohui Rong, Fei Gao, Yaxiang Lu, Kai Yang, Yongsheng Hu
    中国化学快报. 2018, 29(12): 1791-1794. https://doi.org/10.1016/j.cclet.2018.11.023
    摘要 ( ) PDF全文 ( ) HTML 可视化 收藏
    A new model material of Na0.6[Mg(Ⅱ)0.3Mn(IV)0.7]O2, with only Mg2+ and Mn4+ in the transition metal layers, is synthesized for the research of anionic redox reaction. The material delivers a capacity of~130 mAh/g with a long plateau at~4.2 V in the initial charge profile, indicating anionic redox reaction (ARR) involved during the initial desodiation process. In the following cycles, the reversible capacity can reach a high value of~210 mAh/g, which is probably derived from the participation of both ARR and Mn3+/Mn4+ redox couples, further proving the charge compensation from ARR during the initial charge and following cycles. The designed cathode material without Mn3+ helps avoid the influence of oxygen activity from transition metals, enabling the investigation of ARR without other distractions.
  • Wenxia Gao, Yalong Hu, Long Xu, Miaochang Liu, Huayue Wu, Bin He
    中国化学快报. 2018, 29(12): 1795-1798. https://doi.org/10.1016/j.cclet.2018.05.022
    摘要 ( ) PDF全文 ( ) HTML 可视化 收藏
    A low molecular weight gelator with dual pH and glucose sensitive moieties was synthesized. The gelator penetrated in the mesopores of silica nanoparticles (MSNs) and formed low molecular weight gel (LMWG) as gate to fabricate dual pH and glucose responsive nano drug delivery system. Antidiabetic drug was loaded in the gel caped MSNs, the drug release was responsive to the pH and glucose levels and the drug release could be controlled via the stimuli sensitivity of gel.
  • Hengqi Liu, Depeng Zhao, Pengfei Hu, Xiang Wu
    中国化学快报. 2018, 29(12): 1799-1803. https://doi.org/10.1016/j.cclet.2018.11.019
    摘要 ( ) PDF全文 ( ) HTML 可视化 收藏
    Hybrid structured semiconductor nanomaterials possess excellent electrochemical performances owing to the synergistic effects from two components. Herein we report a novel CoMo2S4@Zn-Co-S core-shell structure as the electrode materials for asymmetric supercapacitor. The unique electrode structure is beneficial to rapid electron transport and the ion diffusion due to the existence of many vast channels. The as-synthesized core-shell structured electrode exhibits an overall improved electrochemical performance. Moreover, a quasi-solid state asymmetric supercapacitor is fabricated. It reveals a specific capacitance of 0.84 C/cm2 collected at 4 mA/cm2 and an energy density of 1.87 mWh/cm3 at a power density of 31.99 W/cm3.
  • Qin Gao, Wensheng Xie, Lingyun Zhao, Yu Wang, Wei Zhang, Qiang Cai
    中国化学快报. 2018, 29(12): 1804-1810. https://doi.org/10.1016/j.cclet.2018.09.006
    摘要 ( ) PDF全文 ( ) HTML 可视化 收藏
    A facile approach towards the synthesis of a novel hierarchical sieve-like structure of mesoporous silica nanoparticle aggregates (hsMSNA) is reported using a centrifugal method at room temperature, based on the Kelvin-Helmholtz instability and soft-template method. The developed approach is simple and can potentially be applied for scaled-up preparation. Importantly, scanning electron microscopy, transmission electron microscopy, small-angle X-ray diffraction, and nitrogen adsorption-desorption experiments characterize the mesoporous silica as hsMSNA consisting of 40-100 nm mesoporous silica nanoparticles piled at 1-2 μm cylindrical pores in sieve-like tissues. Further, various pore sizes and sieve-, mesh-, and vesicular-like structures can be obtained by adjusting the reaction conditions. The BrunauerEmmett-Teller specific surface area is as large as 500 m2/g with a 47 cm3/g pore volume, facilitating easy drug loading and delivery. Cytotoxicity assays show that the samples are not cytotoxic under a high concentration of 200 μg/mL. Finally, the high drug encapsulation efficiency and sustained release behaviors indicats the considerable potential of the hsMSNA as a drug delivery system in the field of nanomedicine.
  • Peipei Yang, Chao Yang, Kuo Zhang, Lei Wang, Hao Wang
    中国化学快报. 2018, 29(12): 1811-1814. https://doi.org/10.1016/j.cclet.2018.10.003
    摘要 ( ) PDF全文 ( ) HTML 可视化 收藏
    The accumulation of extracellular senile plagues of amyloid β-proteins (Aβ) in the patient brain is one of most important facture in Alzheimer's disease (AD), which is resulted from abnormal self-assembly of Aβ peptide. Nanoparticles show greatly potential for therapeutic studies due to the sophisticated surface which can mimic the functionality of protein. Herein, we design the bis(pyrene)-Lys-Leu-Val-Phe-PheGly-poly ethylene glycol (BP-KLVFFGPEG) based nanoparticles, which capture Aβ42 through recognition and co-assembly of KLVFF. The resulting co-assemblies show different morphologies, such as large aggregates, nanoparticles and nanofibers corresponding to the different length chain of PEG, leading to different capture efficiencies. The co-assembly strategy shows a decrease of cytotoxicity, potentially for AD treatment.
  • Jie Zhuang, Dandan Wang, Dong Li, Yinqian Yang, Yi Lu, Wei Wu, Wei Wu, Jianping Qi
    中国化学快报. 2018, 29(12): 1815-1818. https://doi.org/10.1016/j.cclet.2018.10.012
    摘要 ( ) PDF全文 ( ) HTML 可视化 收藏
    Nanoparticles are easily to be taken up by cells but hard to be transported across epithelia, which plays an important role in absorption and toxicity. This paper aims to elucidate the effect of nanoparticle shape on bilateral exocytosis of Caco-2 cells. The fluorescent resonance energy transfer (FRET) probes (DiO and DiI) were utilized to label nanospheres and nanorods for determining and tracking nanoparticles. The results showed that more nanorods were internalized into Caco-2 cells than nanospheres. But the apical exocytosis rate of nanospheres from Caco-2 cells was faster than that of nanorods significantly. In addition, only less than 2% of intact nanoparticles were transported across monolayers for both nanoparticles, but the exocytosis behaviors between them was absolutely different. Compared to nanospheres, nanorods preferred basolateral exocytosis to apical exocytosis. Therefore, the shape is a critical parameter in cellular uptake and transport, even intracellular fate, which should be primarily considered in design of oral nanoparticles.
  • Jing Wu, Ying Qu, Kun Shi, Bingyang Chu, Yanpeng Jia, Xue Xiao, Qianjun He, Zhiyong Qian
    中国化学快报. 2018, 29(12): 1819-1823. https://doi.org/10.1016/j.cclet.2018.10.004
    摘要 ( ) PDF全文 ( ) HTML 可视化 收藏
    Camptothecin has a strong tumor killing ability for a variety of tumor cells with its special anti-cancer mechanism including the breast cancer. However, because of its infinite hydrophobic property, its clinical application has been greatly limited. Early prevention of locoregional recurrence for the breast cancer is critical for patients who have undergone breast-conserving therapy. In the study, CPT was used for the inhibition of the recurrence after the operation. The hollow mesoporous silica nanoparticles were used as the carrier to improve the hydrophilic property and increase its bioavailability with the high loading capacity. The ability of the cellular uptake and antitumor activity was increased. Hydrogel was the ideal carrier for local therapy, so the CPT@HMSNs were loaded into the PLEL thermosensitive hydrogel to be injected into the tumor sites after the tumor was resected. The recurrence was reduced in the group of CPT-HMSNs-PLEL and the side effect of CPT was decreased. They exhibit distinguished potential as drug carrier for local delivery.
  • Chang Liu, Han Shen, Su Wang, Xiaoli Cao, Hongpan Xu, Yanyan Xia, Tingting Bai, Yufeng Liu, Lijun Peng, Chuchu Li, Zhirui Guo, Zhiyang Li
    中国化学快报. 2018, 29(12): 1824-1828. https://doi.org/10.1016/j.cclet.2018.10.025
    摘要 ( ) PDF全文 ( ) HTML 可视化 收藏
    Methicillin-resistant Staphylococcus aureus (MRSA) has emerged worldwide as a major multidrugresistant pathogen that causes notable morbidity and mortality. Fast emerging of MRSA prevalence requires special attention for strengthening the inventory of antimicrobial compounds. Silver nanoparticles (AgNPs) have been widely used to treat multi-drug resistant pathogens due to the unique antibacterial properties, meanwhile spermine has been proven to exert outstanding inhibition effect to S. aureus with not yet fully understood mechanisms. The aim of this study was to investigate the synergistic effect of AgNPs and spermine as well as to determine the antibacterial activity of their combination against MRSA strains. Several clinical MRSA isolates and ATCC BAA-1026 were used to determine minimum inhibitory concentration (MIC) and fractional inhibitory concentration indices (FICI) of AgNPs and spermine, and a synergistic effect was observed. This phenomenon was further confirmed by growth curve and time-killing assays, showed that spermine could be used as an adjuvant for AgNPs in the treatment of MRSA infections.
  • Lingling Guo, Hong Chen, Nongyue He, Yan Deng
    中国化学快报. 2018, 29(12): 1829-1833. https://doi.org/10.1016/j.cclet.2018.10.038
    摘要 ( ) PDF全文 ( ) HTML 可视化 收藏
    The feature of the surface coating can affect important properties of iron oxide nanoparticles (IONPs), it is therefore critical for further understanding how these materials react to physiological conditions, which is still needed to fully exploit the potential of IONPs for their theranostic applications. In this work, we prepared IONPs which surface were modified with citric acid (CA), chitosan (CS) and folic acid conjugated chitosan (FA-g-CS), respectively. Their physicochemical properties were investigated using FT-IR, TEM, powder XRD, VSM, TGA, DLS and zeta potential. We found that CA-IONP dispersion was composed of monocrystalline particles while CS-IONP and FA-g-CS-IONP were composed of polycrystalline aggregates. All IONPs retained the crystalline structure of magnetite and exhibited the superparamagnetic behavior. Their saturation magnetization decreased with the increase in the amount of their organic coatings. Their drug loading capacities, drug release patterns and in vitro anticancer efficiencies were studied by using doxorubicin (DOX) as a model drug. DOX@CS-IONP and DOX@FA-g-CSIONP exhibited lower drug loading while showing higher water dispersity when compared with DOX@CA-IONP. All IONPs were surface charged and they tended to agglomerate in medium with high pH value and ionic strength. In the presence of chitosan or FA-g-CS coatings, their DOX release rate was slowed down compared with that of DOX@CA-IONP. Unloaded IONPs exhibited nearly no cytotoxicity on both cancer cells and normal cells in the presence of chitosan and FA-g-CS when compared with CA-IONP which presented high cytotoxicity. However, DOX@FA-g-CS-IONP showed significantly cytotoxicity on folate receptors (FRs) positive breast cancer cells while exhibiting nearly no cytotoxicity on FRs negative normal cells. Results presented in this study were valuable to the design and fabrication of IONPs-based system for better theranostic applications.
  • Dailei Liu, Bo Wan, Jianping Qi, Xiaochun Dong, Weili Zhao, Wei Wu, Yikang Dai, Yi Lu, Zhongjian Chen
    中国化学快报. 2018, 29(12): 1834-1838. https://doi.org/10.1016/j.cclet.2018.11.015
    摘要 ( ) PDF全文 ( ) HTML 可视化 收藏
    Nanoemulsions (NEs) and nanosuspensions (NSs) show great potential in enhancing the ocular bioavailability of therapeutics through topical delivery. However, transocular fate of intact NEs and NSs is still inconclusive. In this study, an aggregation-caused quenching fluorescent probe is used to track precorneal retention and transocular transportation of intact NEs and NSs, while coumarin 6 is used to mimick the cargo. NEs show superior precorneal retention to NSs. Both the two types of nanocarriers can permeate into but not across the cornea. The smaller NEs (100 nm) permeate better into the cornea than the bigger ones (210 nm). Nanocarriers in the cornea serves as depots. The released cargo molecules can penetrate across the cornea and diffuse into the lens. Moreover, the conjunctiva-scleral route may be potential to deliver drugs to the back of the eye. In conclusion, the study provides useful tools and information in the field of transocular transportation of nanoparticles.
  • Zhuting Yang, Yan Peng, Liyan Qiu
    中国化学快报. 2018, 29(12): 1839-1844. https://doi.org/10.1016/j.cclet.2018.11.009
    摘要 ( ) PDF全文 ( ) HTML 可视化 收藏
    Supramolecular structures have received growing attention and been widely applied in many fields. Herein, we synthesized hydrophobic β-cyclodextrin-contained poly(β-amino ester) (PAE-β-CD) and hydrophilic adamantyl-terminated poly (ethylene glycol) (PEG-AD) to form a supramolecular micelle via the host-guest interaction. The micelle displayed pH responsive structure change due to the transform of hydrophobic PAE core to hydrophilic form in weakly acid condition. After the anticancer drug curcumin (Cur) was loaded into the micelle, the drug release behavior of the Cur-loaded micelle was studied, and it turned out that the Cur-loaded supramolecular micelle could effectively unload the drug at pH 5.5. Furthermore, the antitumor efficiency of the Cur-loaded micelle was also examined both in vitro and in vivo, indicating considerable inhibition ratio as high as 62.14% against mouse sarcoma 180.
  • Yuan Li, Qingjiao Luo, Rong Hu, Zongbao Chen, Ping Qiu
    中国化学快报. 2018, 29(12): 1845-1848. https://doi.org/10.1016/j.cclet.2018.11.016
    摘要 ( ) PDF全文 ( ) HTML 可视化 收藏
    A kind of sensitive, rapid, and simple spectrophotometry based on a Ytterbium (Yb3+) functionalized gold nanoparticle (Au NPs-Yb) was developed for detection of organophosphorus pesticides (OPs). Prepared AuNPs possess oxygen-containing functional groups and strong complexation reaction with Yb3+. While oxygen-containing thiophosphate in the OPs molecule can combine with Yb3+ as a cross-linking molecule to produce insoluble yetterbium phosphate, resulting in the aggregation of AuNPs and great decrease in ultraviolet absorbance strength at 520 nm by ultraviolet visible (UV-vis) spectrophotometer. Under the optimized conditions, a linear relationship between the absorbance of AuNPs and OPs concentration ranged from 0.05 μg/L to 6.0 μg/L with limit of detection for 0.03 μg/L (S/N=3), which is far lower than the maximum residue limit (0.01 ppm) in the European Union pesticides database. Therefore, this assay has potential application in the determination of OPs in the field of environmental and food monitoring.
  • Chun Tao, Yue Yu, Zhenzhen Chen, Minxin Zhang, Linlin Liu, Zhihong Liu, Jialiang Zhang, Qian Zhang, Hongtao Song
    中国化学快报. 2018, 29(12): 1849-1852. https://doi.org/10.1016/j.cclet.2018.11.022
    摘要 ( ) PDF全文 ( ) HTML 可视化 收藏
    To investigate the influence of mesopores towards the solidification of self-microemulsifying drug delivery system (SMEDDS), mesoporous silica nanospheres (MSNs) and Santa Barbara Amorphous-15 (SBA-15) were compared. The MSNs had hydrodynamic size of 195.35 ±5.82 nm, and pore diameter of 2.70 nm. The SBA-15 had hydrodynamic size of 2312.19 ±106.93 nm, and pore diameter of 10.91 nm. The MSNs and SBA-15 showed similar loading efficiency of SMEDDS containing sirolimus (SRL). However, MSNs had higher drug dissolution and in vivo absorption, with relative bioavailability of 174.62%. Thus, the length of mesopores played a more important role in solidification of SMEDDS as compared with the pore diameter. This study suggests that the SMEDDS-MSNs can be a potential candidate for oral administration of hydrophobic drugs.
  • Li Huang, Di Zhang, Lirong Jiao, Enben Su, Nongyue He
    中国化学快报. 2018, 29(12): 1853-1856. https://doi.org/10.1016/j.cclet.2018.11.028
    摘要 ( ) PDF全文 ( ) HTML 可视化 收藏
    Precision and repeatability are challenging issues in point of care testing (POCT) analysis. Herein, we proposed a lateral flow assay (LFA) based on internal quality control microspheres to realize the accurate diagnosis of HbA1c in human body. Fluorescein cy5 decorated microspheres are used as labels for HbA1c detection, and BSA-fluorescein isothiocyanate (FITC) decorated microspheres are used as internal quality control labels. One test line was employed in the strip for the detection of glycosylated hemoglobin (HbA1c). This method can eliminate the interference of environmental factors (temperature, humidity, etc.) to LFA in the process of chromatography, and improve the precision and accuracy of HbA1c detection. The CV for detection of low concentration HbA1c was 1.05%, and the CV for detection of high concentration HbA1c was 0.69%. We envision the method to have great prospect in in vitro diagnosis (IVD).
  • Gaojian Yang, Yuxuan Lai, Ziqi Xiao, Congli Tang, Yan Deng
    中国化学快报. 2018, 29(12): 1857-1860. https://doi.org/10.1016/j.cclet.2018.11.030
    摘要 ( ) PDF全文 ( ) HTML 可视化 收藏
    A novel gold-label silver-stain electrochemical immunosensor was developed based on polythioninegold nanoparticles (PTh-Au) modified glassy carbon electrode (GCE) as a platform and secondary antibody labeled Au NPs (Ab2-Au) as immumoprobe for carcinoembryonic antigen (CEA) detection. The sandwich-type biosensor adopted anodic stripping voltammetry to detect silver stripping signal when the Ab2-Au of the formed immunocomplexes were stained with silver. The optimized detection conditions were investigated. The effect of different electrochemical responses at various concentrations of CEA was checked by anodic stripping voltammetry. This immunosensor showed a low detection limit of 0.055 ng/mL and a wide linear calibration of 0.1-120 ng/mL (R2=0.99856). Moreover, this immunoassay also existed the advantages of good reproducibility, stability and selectivity. Thus, this immunosensing protocol may provide a potential application for effective clinical detection of CEA.
  • Guangyuan Zhang, Ji Wu, Yuran Liu, Long Huang, Jin Qiao, Xin Liu, Jingyan Wei, Qingxiang Guan
    中国化学快报. 2018, 29(12): 1861-1864. https://doi.org/10.1016/j.cclet.2018.12.004
    摘要 ( ) PDF全文 ( ) HTML 可视化 收藏
    Three kinds of stearic acid (SA)-modified Bletilla striata polysaccharides (BSPs-SA) conjugates with different degrees of substitution (DS) values of SA moiety were synthesized. The impacts of the DS values on the properties of BSPs-SA self-aggregated nanoparticles were determined. The interactions between bovine serum albumin (BSA) and the BSPs-SA nanoparticles were characterized using spectroscopic observations. The cytotoxicity was measured through 3-(4,5-dimethylthiazol-2-yl)-2,5-diphenyl tetrazolium bromide (MTT) method. The critical aggregation concentration and the average particle sizes reduced from 16.81 μg/mL to 3.09 μg/mL and 192.70 nm to 125.29 nm when the DS values of SA segment increased from 4.98% to 12.94%, respectively. The cumulative release percentage of docetaxel in BSPs-SA nanoparticles decreased whereas encapsulation efficiency and loading capacity increased along with the DS increase of SA moiety. The fluorescence and ultraviolet results demonstrated that the conformation of BSA did not show significant change after incubating with BSPs-SA nanoparticles. Besides, the mass ratio of BSA/BSPs-SA affected their affinity intensity. The inhibition capability of cell proliferation of docetaxel-loaded BSPs-SA nanoparticles against 4T1 was superior to that of Duopafei®. BSPs-SA nanoparticles may become a promising nanocarrier for anticancer drugs by adjusting the DS values of the hydrophobic SA groups.
  • Xiangling Ren, Mingqian Wang, Xing He, Zheng Li, Jing Zhang, Wei Zhang, Xudong Chen, Hong Ren, Xianwei Meng
    中国化学快报. 2018, 29(12): 1865-1868. https://doi.org/10.1016/j.cclet.2018.12.007
    摘要 ( ) PDF全文 ( ) HTML 可视化 收藏
    Superoxide dismutase (SOD) is an important antioxidant enzyme in the body. SOD has special physiological activity and is the primary substance for scavenging free radicals in living organisms. However, the expensive and complex extraction processes, low SOD yield, as well as difficult to store at room temperature have seriously hindered its application pace. Herein, the enzyme mimetic function of Mn-doped ZnS quantum dots (QDs) was discovered. The improved Marklund and McCord method both showed that Mn-doped ZnS QDs possess intrinsic SOD-like activity. The effects of temperature and pH on the mimetic enzyme activity of Mn-doped ZnS QDs have been investigated compared with SOD enzymes. The low cost and easy to synthesize white Mn-doped ZnS QDs with good biocompatibility are expected to be used as a new type of SOD nanozymes in the biology-relevant fields.
  • Junyi Du, Chengxia Miao, Chungu Xia, Wei Sun
    中国化学快报. 2018, 29(12): 1869-1871. https://doi.org/10.1016/j.cclet.2018.04.036
    摘要 ( ) PDF全文 ( ) HTML 可视化 收藏
    Manganese(Ⅲ)-peroxo complexes are invoked as key intermediates in the enzymatic cycles of Mncontaining enzymes, and the synthesis of reactive manganese(Ⅲ)-peroxo complexes with rationally designed ligand has been of great interest in the communities of bioinorganic and biomimetic chemistry. Herein, we designed a novel pentadentate aminobenzimidazole ligand and obtained its manganese(Ⅱ) complex, which was successfully applied in the synthesis of a reactive manganese(Ⅲ)-peroxo complex by treatment with hydrogen peroxide in the presence of triethylamine. The manganese(Ⅲ)-peroxo complex was well characterized with various spectroscopic techniques, including ultraviolet-visible (UV-vis) spectrophotometry, coldspray ionization time-of-flight mass spectrometry (CSI-TOF MS), and continuous wave electron paramagnetic resonance (CW-EPR) spectroscopy. Besides, its reactivity in aldehyde deformylation was investigated, demonstrating second-order kinetics in the reaction with 2-phenylpropionaldehyde and affording acetophenone as the sole product.
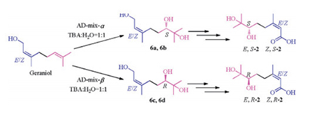
  • Weiwei Wang, Xiaoteng Zhang, Yu Zhao, Xinlei Liu, Zhenhua Zhang, Ming'an Wang
    中国化学快报. 2018, 29(12): 1872-1874. https://doi.org/10.1016/j.cclet.2018.02.006
    摘要 ( ) PDF全文 ( ) HTML 可视化 收藏
    The four isomers of 6,7-dihydroxy-3,7-dimethyloct-2-enoic acid 2 were synthesized via the selective direct Sharpless asymmetry dihydroxylation of geraniol as the key step in 35.0%-48.0% overall yields with 91.9%-97.7% ee values for esters 4 and 31.3%-36.4% overall yields with 90.3-97.5% ee values for acids 2 using cis-and trans-geraniol as raw materials. Their structures were characterized by 1H, 13C NMR and HR-ESI-MS data. The in vivo bioassay results showed that the chiral acid (Z, S)-2 was a good lead compound with 80%-100% inhibitory rates against P. cubensis, E. graminis, P. sorghi and C. gloeosporioides at the concentration of 400 μg/mL.
  • Lili Zeng, Linjing Yang, Jia Lu, Jin Jia, Jiayuan Yu, Yunqie Deng, Mingfei Shao, Weijia Zhou
    中国化学快报. 2018, 29(12): 1875-1878. https://doi.org/10.1016/j.cclet.2018.10.026
    摘要 ( ) PDF全文 ( ) HTML 可视化 收藏
    The research of superior water oxidation electrodes is essential for the green energy in the form of hydrogen by way of electrolytic water splitting, and still remains challenging. Based upon dealloying foam, Fe-Ni hydroxide nanosheets network structure is designed on the surface of Fe-Ni alloy foam. The ratio of Ni/Fe elements was adjusted to realize the optimal catalytic activities for oxygen evolution reaction (OER) and hydrogen evolution reaction (HER). The obtained electrode of Fe-Ni hydroxide nanosheets/Fe-Ni alloy foam-60% Fe (FN LDH/FNF-60, 60 is the percentage of Fe content) possess low overpotential of 261 mV to reach 10 mA/cm2, small Tafel slope (85.5 mV/dec), and superior long-term stability (remaining 10 mA/cm2 for over 14 h without attenuation) toward OER in 1.0 mol/L KOH. Moreover, an alkaline water electrolyzer is constructed with the FN LDH/FNF-60 as anode and Ni(OH)2/Fe-Ni alloy foam-25% Fe (Ni(OH)2/FNF-25) as cathode, which displays superior electrolytic performance (affording 10 mA/cm2 at 1.62 V) and lasting durability.
  • Beibei Yang, Dongmei Liu, Lina Zhu, Yun Liu, Xiaoning Wang, Liang Qiao, Weijia Zhang, Baohong Liu
    中国化学快报. 2018, 29(12): 1879-1882. https://doi.org/10.1016/j.cclet.2018.01.042
    摘要 ( ) PDF全文 ( ) HTML 可视化 收藏
    An electrochemical immunosensor for sensitive detection of thyroid stimulating hormone (TSH) has been developed by using an inkjet printed microchip and based on a double signal amplification strategy using magnetic beads (MBs), alkaline phosphatase (ALP) and p-aminophenyl phosphate (pAPP) reaction. Differential pulse voltammetry (DPV), cyclic voltammogram (CV) and amperometric i-t curve (i-t) were employed to characterize the immunosensor. High sensitivity and good selectivity were observed. The detection linear range was from 0.01 μIU/mL to 10 μIU/mL, in which the peak currents increased along with the concentration. The detection limit was 0.005 μIU/mL at S/N=3. The immunosensor was also applied for TSH detection in human serum with recoveries from 98.0% to 101.8% and relative standard deviations from 1.3% to 3.1%, demonstrating potential value in clinical diagnosis.
  • Guanghui Sun, Yuekang Jin, Zhengming Wang, Hong Xu, Peng Chai, Weixin Huang
    中国化学快报. 2018, 29(12): 1883-1887. https://doi.org/10.1016/j.cclet.2018.10.027
    摘要 ( ) PDF全文 ( ) HTML 可视化 收藏
    Fundamental understandings of Au-catalyzed oxidation reactions with molecular oxygen are of great importance. Herein we report a successful preparation of molecularly-adsorbed O2 species on a stepped Au(997) single crystal model surface via a near-ambient pressure and low-temperature oxygen exposure and their oxidation reactivity with propylene via temperature programmed desorption spectra and polarization-modulated reflection-absorption infrared spectra. O2 molecularly adsorbs at the (111) step sites of Au(997) surface while C3H6 adsorbs at both (111) step sites and (111) terrace sites. C3H6(a) adsorbed at the (111) step sites is more stable than at the (111) terrace sites and its oxidation reactions are dominant; meanwhile, O2(a) is much more reactive than O(a) and prefers combustion reaction of C3H6(a). C3H6(a) adsorbed at the (111) step sites undergoes combustion reactions with O2(a) to produce CO2 and CO at low temperatures and partial oxidation reactions with O(a) to produce acrolein at high temperatures while C3H6(a) adsorbed at the (111) terrace sites undergoes combustion and partial oxidation reactions with O2(a) to respectively produce CO2/CO and acrolein at low temperatures. These results reveal site-and surface species-dependent reaction behaviors of propylene oxidation with molecular O2 on Au surfaces and provide a complete fundamental understanding of oxidation reactions with molecular O2 on Au surface.
  • Atif Ali, Fan Cheng, Wei-Hong Wen, Xiao Ying, Jaipal Kandhadi, Hui Wang, Hai-Yang Liu, Chi-Kwong Chang
    中国化学快报. 2018, 29(12): 1888-1892. https://doi.org/10.1016/j.cclet.2018.03.006
    摘要 ( ) PDF全文 ( ) HTML 可视化 收藏
    A new 2-chloro-5,10,15-tris(2,4,6-triphenylphenyl)-corrole was accidentally synthesized in an acceptable yield of 5.7% during the synthesis of its parent corrole, in which DDQ served as oxidant and chlorinating agent. The compound was well characterized by X-ray diffraction analysis, 1H NMR, mass spectroscopy and absorption spectroscopy. Photophysical properties tests revealed that the chlorination caused a sharp decrease in fluorescence intensity, fluorescence life time, and fluorescence quantum yield. Electrochemical investigation demonstrated the positive shift of redox potentials for chlorinated corrole as compared to non-chlorinated corrole.
  • Li Li, Qi Chen, Xiaonan Xiong, Chuang Zhang, Jingjing Qian, Jie Shi, Qiong An, Ming Zhang
    中国化学快报. 2018, 29(12): 1893-1896. https://doi.org/10.1016/j.cclet.2018.09.004
    摘要 ( ) PDF全文 ( ) HTML 可视化 收藏
    A gold(I)-catalyzed three-component reaction of β-nitrostyrenes with 1,3-dicarbonyl compounds and primary amines to form polysubstituted pyrroles has been developed at room temperature in ethanol. The key advantages of the three-component reaction are the mild reaction conditions and environmentally safer solvent.
  • Hua Cheng, Yan Fu, Qing Chang, Ni Zhang, Mengwei Bu, Yan Niu, Qiongyou Wu, Cheng Chen, Francis Verpoort
    中国化学快报. 2018, 29(12): 1897-1900. https://doi.org/10.1016/j.cclet.2018.10.008
    摘要 ( ) PDF全文 ( ) HTML 可视化 收藏
    The cytochrome bc1 complex (the bc1 complex or complex Ⅲ) is an attractive target for the discovery of numerous pharmaceuticals and pesticides. In order to identify new lead structures for this target, a new series of molecules, N-(4-aryloxyphenyl)phthalimides, were designed and synthesized in a straightforward manner. Our design strategy was to introduce a 4-aryloxyphenyl group, a fragment which exhibited promising bc1 complex-inhibiting properties, into the aryl group of the valuable N-arylphthalimide backbone. Afterward, the biochemical evaluation of the newly synthesized compounds was carried out, and the results implied that several compounds demonstrated good activities against succinatecytochrome reductase (SCR, a mixture of mitochondrial complex Ⅱ and the bc1 complex). Further studies confirmed that 3e', a representative compound in this paper, was identified as an inhibitor of the bc1 complex. Furthermore, computational simulations were also performed to better understand binding of 3e' to the enzyme complex, which indicated that 3e' should bind to the Qo site of the bc1 complex. Consequently, we harbor the idea that this paper can provide a solid platform for synthesis and discovery of other bc1 complex inhibitors.