本期目录

2018年, 第29卷, 第01期 刊出日期:2018-01-22
  

  • 全选
    |
    评论
  • Guang-Jian Liu, Cui-Yun Li, Xiao-Tai Zhang, Wei Du, Zhen-Yuan Gu, Guo-Wen Xing
    中国化学快报. 2018, 29(01): 1-10. https://doi.org/10.1016/j.cclet.2017.09.034
    摘要 ( ) PDF全文 ( ) HTML 可视化 收藏
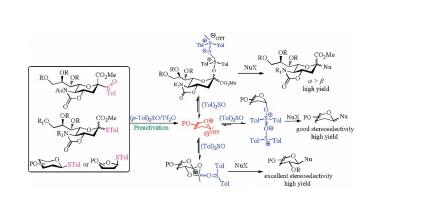
    The synthesis of O-, C-, and N-glycoconjugates has continuously been an attractive research subject due to the growing biological importance of various glycoconjugates. In recent years, by careful changing the glycosylation reaction conditions, especially the amount of activators and the preactivation temperature, (p-Tol)2SO/Tf2O preactivition strategy was developed as a general method for the synthesis of various O-, C-, and N-glycoconjugates, including related biological active glycoconjugates, such as nucleosides and antigen Lewisa etc. High yields and excellent stereoselectivities were obtained even without the anchimeric assistance at the adjacent position of anomeric carbon. In this review, we predominantly make a review on the progress of the (p-Tol)2SO/Tf2O preactivition strategy from O-, C-sialylation to general O-, N-glycosylation.
  • Zhangjie Wang, Lianli Chi
    中国化学快报. 2018, 29(01): 11-18. https://doi.org/10.1016/j.cclet.2017.08.050
    摘要 ( ) PDF全文 ( ) HTML 可视化 收藏
    Carbohydrates are important biomolecules and promising novel drug candidates, but their structural complexity and heterogeneity hinder their study and application. Low molecular weight heparins (LMWHs) are widely used as anticoagulants in the clinic and are considered the most successful carbohydrate-based drugs. They consist of both natural structures inherited from parent heparin and modified structures derived from depolymerization reactions. Sophisticated analytical methods are in great demand to elucidate the fine structure of LMWHs. This review summarizes recent progress in mass spectrometry (MS) that facilitates the in-depth structural characterization of LMWHs. The strategies can be sorted into top-down approaches and bottom-up approaches. In top-down approaches, the intact oligosaccharides are analyzed directly by hyphenated MS techniques to reveal their distribution and composition. Bottom-up approaches provide complementary structural information by analyzing partially enzymatically digested fragments or exhaustively degraded disaccharide building blocks of LMWHs. Advances in the MS/MS sequencing of short oligosaccharides and bioinformatics tools are also reviewed. Multidimensional analysis by MS offers a rigorous inspection of LMWHs, which is indispensable for ensuring drug quality and expanding their applications.
  • Zhifang Zhou, Han Lin, Chen Li, Zhimeng Wu
    中国化学快报. 2018, 29(01): 19-26. https://doi.org/10.1016/j.cclet.2017.09.047
    摘要 ( ) PDF全文 ( ) HTML 可视化 收藏
    Fully synthetic vaccine, in which one or multi-molecular antigens are conjugated to a synthetic carrier with well-defined chemical structure, is a new direction to develop carbohydrate-based vaccine against cancer and pathogens. Toll like receptor (TLR) agonists with the ability to stimulate immune response have been widely investigated and been applied as build-in adjuvants to construct fully synthetic vaccines. In particular, remarkable progress has been achieved in recent years in the development of vaccines constructed with the agonists of TLR1/2, TLR2/6 and TLR4 and tumor-associated carbohydrate antigens (TACAs). These di-, tri-or multi-component vaccine candidates showed attractive immunological properties. This review highlights recent advances in developing full synthetic carbohydrate antigen based vaccines, with an emphasis on the structure-activity relationships that provide a primary basis for future vaccine design and immunotherapy developing.
  • Wuqiong Song, Juntao Cai, Xiaopeng Zou, Xiaoli Wang, Jing Hu, Jian Yin
    中国化学快报. 2018, 29(01): 27-34. https://doi.org/10.1016/j.cclet.2017.09.061
    摘要 ( ) PDF全文 ( ) HTML 可视化 收藏
    Carbohydrates play critical roles in mediating many biological processes, such as cell growth, migration, cell-cell adhesion, fertilization, signal transduction and immune response. The increasing demands for the study of these molecules greatly facilitate the development of carbohydrate synthesis. Inversion strategies via sulfonyl groups, selective reductions, etc. have been used to synthesize corresponding inverted configurations. This review focuses on the mechanisms of these inversion methods and their applications in constructing amino sugars, rare sugars and β-configurations in glycosylations.
  • Ning Wang, Sheng-Tao Li, Tian-Tian Lu, Hideki Nakanishi, Xiao-Dong Gao
    中国化学快报. 2018, 29(01): 35-39. https://doi.org/10.1016/j.cclet.2017.09.044
    摘要 ( ) PDF全文 ( ) HTML 可视化 收藏
    All eukaryotic cells share a common core pentasaccharide, Man3GlcNAc2 (M3), which is found in both dolichol-linked oligosaccharides (DLOs) and N-linked glycoproteins. A pentasaccharide M3 can be elongated and elaborated by various glycosyltransferases and is thus considered as the key intermediate in the in vitro synthetic pathway of N-glycans. In this review, we describe the progresses in the preparation of M3 by chemical and chemoenzymatic methods. We first draw a brief schematic view of the typical N-glycan biological pathway and then focus on the requirements and challenges in obtaining core pentasaccharides. Representative methods and recent reported findings, especially research progress in chemoenzymatic synthesis, are highlighted. In addition, the opportunities in exploiting novel methods for constructing N-glycans, as well as their applications, are discussed.
  • Wei-Bin Lin, Meng Li, Lei Fang, Chuan-Feng Chen
    中国化学快报. 2018, 29(01): 40-46. https://doi.org/10.1016/j.cclet.2017.08.039
    摘要 ( ) PDF全文 ( ) HTML 可视化 收藏
    Helicenes have attracted more and more attention in the field of photoelectric materials and asymmetric catalysis for their unique π-conjugated screw-shaped structures and excellent chiroptical properties. However, further study and application of helicenes are based on novel idea, delicate design, and efficient synthetic methods Recent development of helicenes has witness various smart designs and approaches. In order to obtain a systematical and vivid introduction of latest development of helicenes, the idea of multidimensional construction is proposed in this review, which concludes the construction of multidimensions from length, extent, and height. We hope that this idea could be helpful to forecast the trend of helicene chemistry and provide the design inspiration of novel helicenes.
  • Zhenrong Wang, Peipei Xie, Yuanzhi Xia
    中国化学快报. 2018, 29(01): 47-53. https://doi.org/10.1016/j.cclet.2017.06.018
    摘要 ( ) PDF全文 ( ) HTML 可视化 收藏
    In this review, we highlight the recent development in Ru(Ⅱ)-catalyzed C-H activations under redox neutral conditions. After a brief introduction of the C-H activations with oxidizing direct group by different transition metal catalysts, the examples with Ru(Ⅱ) catalyst were classified and introduced according to different internal oxidants used in the system. The features of each methodology will be highlighted and the plausible reaction mechanism will be presented if available.
  • Jianhua Zhou, Yangyang Wang, Li Zhang, Xuemeng Li
    中国化学快报. 2018, 29(01): 54-60. https://doi.org/10.1016/j.cclet.2017.09.003
    摘要 ( ) PDF全文 ( ) HTML 可视化 收藏
    Plasmonic nanostructures can confine light through localized surface plasmon resonance (LSPR), thereby enabling highly sensitive, label-free, and real-time physical and chemical sensing. Nowadays, the LSPR biosensing based on noble metal is still restricted in research laboratories, due to the limitations of their intrinsic properties, high prime price, and high process cost. Researchers thereby have paid attention to the non-noble metals and semiconductor materials in recent years. This review focuses on the research progress of non-noble-metal materials with nanostructures for plasmonic biosensing. Firstly, the physical and sensing principles of LSPR sensors are briefly introduced. Then, non-noble-metal materials, such as copper, aluminum, semiconductor, graphene and other materials, for plasmonic sensing are categorized and presented. Finally, a rational discussion about the future prospective of novel materials for plasmonic sensing is given.
  • 通信
  • Runze Mao, Lifeng Sun, Yong-Shi Wang, Min-Min Zhou, De-Cai Xiong, Qin Li, Xin-Shan Ye
    中国化学快报. 2018, 29(01): 61-64. https://doi.org/10.1016/j.cclet.2017.08.005
    摘要 ( ) PDF全文 ( ) HTML 可视化 收藏
    A metal-free and light-promoted approach to the synthesis of N-9 alkylated purine nucleoside derivatives, via a CF3 radical triggered radical relay pathway, has been developed. Purine nucleoside derivatives were prepared regioselectively in good to high yields. Photosensitizers and metals are free in this transformation. Visible light or even sunlight can be used as the source of light for the reactions.
  • Yuchao Lu, Siyu Song, Chenxi Hou, Shuang Pang, Xueming Li, Xiaowen Wu, Chen Shao, Yuxin Pei, Zhichao Pei
    中国化学快报. 2018, 29(01): 65-68. https://doi.org/10.1016/j.cclet.2017.08.003
    摘要 ( ) PDF全文 ( ) HTML 可视化 收藏
    A novel approach for fabricating branched-chain (BC) carbohydrate chips to study carbohydrate-protein interactions using Quartz Crystal Microbalance (QCM) biosensor was developed. This approach utilizes functional alkynyl-branch molecule modified chip surfaces, which through the terminal alkynyl group for covalent linking of unprotected azide-carbohydrates. The unprotected azide-carbohydrates were syhthesized in one-step using 2-azido-1,3-dimethyl-imidazolinium as catalyst, avoiding complex chemical modifications. Additionally, the branch surface modified with the carbohydrates not only supplies more specific binding site but also reveals significant cluster effect. To exemplify the sugar cluster effect on BC carbohydrate chips, BC Galactose and Mannose chips prepared in this work were used to determine carbohydrate-lectin interactions using QCM biosensor. The results clearly showed that BC chip significantly improves the detection sensitivity compared with the straight-chain (SC) chip. More importantly, the BC galactose chip sensitivity was enhanced 40% compared with the SC galactose chip.
  • Yunhe Wang, Shuai Meng, Tingting Yue, Shuchun Li, Zhongjun Li
    中国化学快报. 2018, 29(01): 69-72. https://doi.org/10.1016/j.cclet.2017.09.045
    摘要 ( ) PDF全文 ( ) HTML 可视化 收藏
    A new carrier containing three hydrophobic octadecyls was employed to improve the yield and purity of the synthesized oligosaccharides, and the applicability of hydrophobic carrier for HASP (hydrophobically assisted switching phase) was also explored. High performance liquid chromatography (HPLC) was used to analyze the purity of oligosaccharides and improve the elution efficiency. Elution system was optimized and replaced by isopropyl alcohol and water, in which the excess donor and other impurities had a better solubility than that in methanol.
  • Haibo Wang, Yang Pan, Qin Tang, Wei Zou, Huawu Shao
    中国化学快报. 2018, 29(01): 73-75. https://doi.org/10.1016/j.cclet.2017.10.004
    摘要 ( ) PDF全文 ( ) HTML 可视化 收藏
    An effective and facile method for the synthesis of N-alkylated hydroxylpyrrolidine and hydroxylpiperidine is described. A number of N-alkyl substituted iminosugars were prepared using iodine-induced intramolecular cyclization of acyclic alkenylamines as key step.
  • Xin Meng, Meibing Yang, Yang Li, Xiaobin Li, Tianwei Jia, Haojie He, Qun Yu, Na Guo, Yun He, Peng Yu, Yang Yang
    中国化学快报. 2018, 29(01): 76-80. https://doi.org/10.1016/j.cclet.2017.10.032
    摘要 ( ) PDF全文 ( ) HTML 可视化 收藏
    We report the synthesis of pseudo triazole-sialoside protein conjugates of various valency that are resistant to neuraminidase for the adsorption of influenza viruses. The glycotriazole monomer bearing an amine-functionalized linker was synthesized by click chemistry and grafted to the lysine residues of bovine serum albumin (BSA) or human serum albumin (HSA) via diethyl squarate and adipate-based strategy. The binding of hemagglutinin (HA) and neuraminidase (NA) on the virion surface by the synthetic neoglycoproteins were evaluated by hemagglutination and neuraminidase inhibition assay, respectively. The results demonstrated that these synthetic glycoproteins have significantly higher affinity with NA than HA. The interactions between these neoglycoproteins and intact influenza viruses were further investigated by Dynamic Light Scattering (DLS) technique. The pronounced agglutination indicated that these glycoconjugates can be used as adsorbents to prevent virus from invading host cells as well as the release of newly synthesized viral particles, which are crucial in the life cycle of the influenza virus. With the high binding affinity to intact influenza viruses, these neoglycoproteins can also be used as probe to elucidate the molecular mechanism of the sialic acid-influenza recognition and biosensors for influenza detection.
  • Chengxiang Shang, Chao Cai, Cuixia Zhao, Yuguo Du
    中国化学快报. 2018, 29(01): 81-83. https://doi.org/10.1016/j.cclet.2017.06.010
    摘要 ( ) PDF全文 ( ) HTML 可视化 收藏
    A dermatan sulfate (DS) repeating disaccharide analog, α-L-idopyranosiduronate-(1→3)-2-amino-2-deoxy-4,6-di-O-sulfo-β-D-galactopyranoside, has been convergently synthesized and successfully applied to prepare the GAG-functionalized gold glyconanoparticle. This new material exhibited good anti-inflammatory activity which was comparable to that of the drug ibuprofen incarrageenan-induced paw edema in a rat model.
  • Qian Zhao, Yong Chen, Yu Liu
    中国化学快报. 2018, 29(01): 84-86. https://doi.org/10.1016/j.cclet.2017.07.024
    摘要 ( ) PDF全文 ( ) HTML 可视化 收藏
    A luminescent and injectable supramolecular hydrogel was successfully constructed through the noncovalent cross-linking of polymers mediated by tetraphenylethylene-bridged cyclodextrin oligomers, presenting the strong blue fluorescence, the reversible gelation behavior responsive to various external stimuli and the good mechanical property of shear thinning.
  • Jigao Yi, Wenting Liang, Xueqin Wei, Jiabin Yao, Zhiqiang Yan, Dan Su, Zhihui Zhong, Guowei Gao, Wanhua Wu, Cheng Yang
    中国化学快报. 2018, 29(01): 87-90. https://doi.org/10.1016/j.cclet.2017.05.004
    摘要 ( ) PDF全文 ( ) HTML 可视化 收藏
    A series of 6A,6X-diguanidio-γ-cyclodextrins (CDs) were used as chiral hosts for mediating the enantiodifferentiating[4 + 4] photocyclodimerization of 2-anthracenecarboxylic acid (AC). These γ-CD derivatives form stable 1:2 ternary complexes with AC in aqueous ammonia solutions and the head-tohead photodimers 3 and 4 were greatly enhanced in the presence of these diguanidio-γ-CDs. The enantioselectivity of chiral photodimers 2 and 3 is a critical function of the temperature and the ammonia contents, showing inverted product chirality by changing these external factors.
  • Guo-Bao Huang, Wei-Er Liu, Arto Valkonen, Huan Yao, Kari Rissanen, Wei Jiang
    中国化学快报. 2018, 29(01): 91-94. https://doi.org/10.1016/j.cclet.2017.07.005
    摘要 ( ) PDF全文 ( ) HTML 可视化 收藏
    Molecular recognition of aromatic hydrocarbons by four endo-functionalized molecular tubes has been studied by 1H NMR spectroscopy, computational methods, and single crystal X-ray crystallography. The binding selectivity is rationalized by invoking shape complementarity and dipole alignment. The noncovalent interactions are proved to predominantly be C/N-H…π interactions.
  • Wei Wu, Sen Song, Xiaowei Cui, Tao Sun, Jian-Xin Zhang, Xin-Long Ni
    中国化学快报. 2018, 29(01): 95-98. https://doi.org/10.1016/j.cclet.2017.08.049
    摘要 ( ) PDF全文 ( ) HTML 可视化 收藏
    The host-guest properties of cucurbit[7]uril (Q[7]) and bispyridinium ethylene derivatives have been studied by 1H NMR spectroscopy, UV-vis absorption spectra, and fluorescence emission analysis. The proton shifts associated with the guest encapsulated by the host suggested that the Q[7]-based[2] pseudorotaxane behaves like a fast molecular shuttle along the bispyridinium ethylene axle of the guest upon protonation and deprotonation of the terminal carboxylates. In particular, the distinct fluorescent response signals indicated that the bispyridinium ethylene moiety not only behaves as the axle component for the pseudorotaxane system, but also acts as an optical reporting unit during the host-guest complexation.
  • Bangshao Yin, Xu Liang, Weihua Zhu, Ling Xu, Mingbo Zhou, Jianxin Song
    中国化学快报. 2018, 29(01): 99-101. https://doi.org/10.1016/j.cclet.2017.05.003
    摘要 ( ) PDF全文 ( ) HTML 可视化 收藏
    6,6"-Terpyridylene bridged cyclic porphyrin dimer 2Ni, trimer 3Ni, tetramer 4Ni and pentamer 5Ni were obtained through Suzuki-Miyaura coupling reaction of β,β'-diboryl Ni(Ⅱ) porphyrin with 6,6"-dibromo-2,2':6',2"-terpyridine. Free base porphyrin nanorings 2H-5H were obtained by demetallation of 2Ni-5Ni with sulfuric acid in CHCl3 and then were converted into 2Zn-5Zn upon treatment with Zn(OAc)2 in quantitative yields, respectively. All of these newly synthesized porphyrin nanorings were characterized by high-resolution mass spectrometry and 1H NMR spectroscopy. The photophysical properties of porphyrin nanoring were examined by UV-vis and fluorescence spectra. The electrochemical properties of 2Ni-5Ni were investigated by cyclic voltammetry and differential pulse voltammetry. The UV-vis absorption spectra and fluorescence spectra of these cyclic porphyrin arrays indicate that there exist unique electronic interactions between the constituent porphyrin units in each ring. Electrochemical analysis shows that the trimer 3Ni exhibit different redox behavior, which indicate that the porphyrin units in 3Ni are presumably more coplanar than in other cyclic porphyrin arrays.
  • Hongzhi Zhao, Jiufeng Li, Xinli Ma, Wenqian Huo, Shunqing Xu, Zongwei Cai
    中国化学快报. 2018, 29(01): 102-106. https://doi.org/10.1016/j.cclet.2017.06.013
    摘要 ( ) PDF全文 ( ) HTML 可视化 收藏
    Bisphenols, benzophenones and parabens may alter one or more functions of endocrine system and consequently cause adverse health effects on human. A rapid and sensitive analytical method for the simultaneous determination of six bisphenols, five benzophenones and seven parabens in human urine by using ultra-high performance liquid chromatography coupled with triple quadrupole mass spectrometry was developed and applied for human urine sample analysis. The eighteen targeted compounds were separated within 11 min. Heated-electrospray ionization was operated with multiple reaction monitoring in negative-ion mode. The limit of detection ranged from 0.01 ng/mL to 0.5 ng/mL. Seven isotope-labeled internal standards were used in the quantitative analysis. After the method was validated for sensitivity, linearity, precision, accuracy and matrix effect, it was applied for the analysis of human urine samples to evaluate the profiles of human exposure. Eight of the targeted analytes were detected in more than 50% urine samples.
  • Shujun Xia, Jing Dong, Yiying Chen, Yiru Wang, Xi Chen
    中国化学快报. 2018, 29(01): 107-110. https://doi.org/10.1016/j.cclet.2017.10.008
    摘要 ( ) PDF全文 ( ) HTML 可视化 收藏
    In this work, three dimensional phytic acid-induced graphene coating was prepared by hydrothermal synthesis and fabricated on a stainless-steel wire using physical coating method as a solid phase microextraction (SPME) coating. The graphene coating revealed high specific surface area, extraordinary electrical conductivity and excellent chemical stability. Coupled with gas chromatography-flame ionization detector (GC-FID), the home-made phytic acid-induced graphene SPME fiber exhibited excellent extraction efficiency for the analysis of nerolidol in tea samples. Under the optimized conditions, the linear range of working curve was found to be 1-1000 ng/g, and the limit of detection of nerolidol was 0.18 ng/g. The coefficient variation of repeatability for each single fiber and reproducibility for fiber to fiber was less than 3.9% and 8.3%, respectively.
  • Wei-Jie Wang, Yan-Ling Cai, Bai-Chuan Li, Jun Zeng, Zhi-Yong Huang, Xiao-Mei Chen
    中国化学快报. 2018, 29(01): 111-114. https://doi.org/10.1016/j.cclet.2017.05.009
    摘要 ( ) PDF全文 ( ) HTML 可视化 收藏
    In this work, a simple, low cost and sensitive voltammetric sensor was developed for the simultaneous detection of lead (Pb2+), cadmium (Cd2+), and zinc (Zn2+) ions based on a disposable carbon fiber rod (CFR). The important factors to enhance the sensing property were creation of a clean surface by dealing with CFR at a high potential and electrochemical deposition of bismuth (Bi) film to improve the accumulation of heavy metal ions. The morphology and conductivity of such activated CFR was characterized by scanning electron microscopy and electrochemical impedance spectroscopy, respectively. In terms of application, differential pulse anodic stripping voltammetry (DPASV) was employed for the simultaneous detection of Pb2+, Cd2+, and Zn2+ on Bi film-coated activated CFR.
    Experimental parameters, such as the pH value of buffer solution, stirring speed and enrichment factors were optimized. Under optimal conditions, the DPASV peak currents showed good linear relationships with Pb2+, Cd2+ and Zn2+ concentrations in the range of 0.5-2.25 μg/L, 0.5-4.0 μg/L and 1.0-4.0 μg/L with detection limits of 0.1, 0.3 and 1.0 μg/L (S/N=3), respectively. Finally, the proposed analysis system was successfully utilized for the simultaneous detection of Pb2+, Cd2+, and Zn2+ contents in rice samples. This study indicated that Bi film-coated activated CFR based DPASV sensor can be a promising and reliable tool for rapid analysis of emergency pollution affairs of heavy metal ions in food.
  • Qing-Yun Cheng, Jun Xiong, Fang Wang, Bi-Feng Yuan, Yu-Qi Feng
    中国化学快报. 2018, 29(01): 115-118. https://doi.org/10.1016/j.cclet.2017.06.009
    摘要 ( ) PDF全文 ( ) HTML 可视化 收藏
    Ketone bodies are small lipid-derived molecules and the metabolism of ketone bodies interfaces with various physiological processes. 3-Hydroxybutyric acid (3HB) is the most stable ketone body and can be employed to supply energy source. 2-Hydroxybutyric acid (2HB), an isomer of 3HB, was demonstrated to be an early biomarker for both insulin resistance and impaired glucose regulation. Both 2HB and 3HB are chiral carboxylic acids and exist in two steric configurations (D/L-2HB and D/L-3HB). It is difficult for these enantiomers to be differentiated by routine analytical methods In the current study, we developed a strategy by chiral derivatization coupled with liquid chromatography/mass spectrometry (LC-ESI-MS) analysis for simultaneous determination of D-2HB, L-2HB, D-3HB and L-3HB enantiomers. (S)-(+)-1-(2-Pyrrolidinylmethyl)-pyrrolidine (PMP) was used for efficient labeling of HBs. Our results showed that the retention behavior of D/L-2HB and D/L-3HB enantiomers was greatly improved after labeling by PMP and the four derivatives can be distinctly separated on C18 reversed-phase column. Moreover, PMP chiral derivatization greatly enhanced the detection sensitivities of HBs up to 55.3 folds because of the introduction of easily ionizable tertiary amino group. Using this method, we simultaneously quantified D-2HB, L-2HB, D-3HB, and L-3HB enantiomers in human renal cell carcinoma (RCC) tissues and the tumor adjacent normal tissues. The result demonstrated that both D-3HB and L-3HB can be detected in human renal tissues, however, only L-2HB was detected in human renal tissues. In addition, the quantification results showed that the contents of D-3HB were approximate 10 folds higher than L-3HB. Taken together, the developed method offered an efficient approach for the sensitive analysis of D/L-2HB and D/L-3HB enantiomers, which may facilitate the in-depth study of the functions of HBs.
  • Ling-Jie Meng, Qing-Lan Guo, Cheng-Gen Zhu, Cheng-Bo Xu, Jian-Gong Shi
    中国化学快报. 2018, 29(01): 119-122. https://doi.org/10.1016/j.cclet.2017.05.019
    摘要 ( ) PDF全文 ( ) HTML 可视化 收藏
    A novel indole alkaloid glycoside with an unprecedented 2-(diphenylpropyl)indole skeleton, isatindigodiphindoside (1), was isolated from an aqueous extract of the roots of Isatis indigotica. The structure was determined by extensive spectroscopic studies, especially by 2D NMR data analysis combined with enzymatic hydrolysis and ECD calculations. Plausible biosynthetic pathways of compound 1 are also discussed.
  • Rui Zhang, Chunping Tang, Chang-Qiang Ke, Sheng Yao, Ge Lin, Yang Ye
    中国化学快报. 2018, 29(01): 123-126. https://doi.org/10.1016/j.cclet.2017.07.009
    摘要 ( ) PDF全文 ( ) HTML 可视化 收藏
    Two new dimeric diterpenes, birhodomolleins D (1) and E (2), were characterized from the fruits of Rhododendron pumilum. Their structures featured two grayanane diterpenes dimerized through an oxygen bridge locating at C-3 and C-2'. They are the first examples of dimeric grayanane diterpenes with a 3-O-2' linkage from the Ericaceae family. Their structures were elucidated on the basis of comprehensive analysis of spectroscopic data.
  • Yan-Jiao Wang, Da-Gui Zhou, Fang-Cheng He, Ji-Xiang Chen, Yong-Zhong Chen, Xiu-Hai Gan, De-Yu Hu, Bao-An Song
    中国化学快报. 2018, 29(01): 127-130. https://doi.org/10.1016/j.cclet.2017.07.006
    摘要 ( ) PDF全文 ( ) HTML 可视化 收藏
    A series of novel chalcone derivatives containing purine moiety was designed and synthesized, and their antiviral activities against cucumber mosaic virus (CMV) and tobacco mosaic virus (TMV) were evaluated in vivo. Bioactivity assays indicated that some compounds showed good antiviral activities against CMV and TMV. It is worth mentioning that compounds 3o, 3s, 3w, and 3x exhibited excellent curative activity against CMV, with EC50 values of 301.1 μg/mL, 315.7 μg/mL, 282.3 μg/mL, 230.5 μg/mL, respectively, which were better than that of Dufulin (373.7 μg/mL) and Ribavirin (726.3 μg/mL). In addition, the fluorescence spectroscopy experiment results showed that compound 3o showed strong combining capacity to tobacco mosaic virus coat protein.
  • Zhi-Hui Zhang, Yu Yan, An-Jun Deng, Hai-Jing Zhang, Zhi-Hong Li, Tian-Yi Yuan, Lian-Hua Fang, Lian-Qiu Wu, Guan-Hua Du, Hai-Lin Qin
    中国化学快报. 2018, 29(01): 131-135. https://doi.org/10.1016/j.cclet.2017.08.026
    摘要 ( ) PDF全文 ( ) HTML 可视化 收藏
    In this paper, quaternary 8-(1-acylethene-1-yl)-13-methylcoptisine chlorides targeting thioredoxin reductases (TrxRs) were designed to test the growth inhibitory activity against human cancer cell lines and the effect on viability of the normal intestinal epithelial cell-6 (IEC-6) in vitro and to evaluate structure-activity relationship (SAR). The introduced α, β-unsaturated ketone groups at C-8 consisting of n-alkanoyls possessing five to ten carbons or aroyls or cyclohexylcarbonyl increased the tested activity against the target cancer cell lines. By and large, this type of improvement was increasingly graced by the elongation of the aliphatic chain of the n-alkanoyls in the range of less than ten carbon atoms. The relatively more polar 1-acylethene-1-yls displayed no effect on improving the activity. All the explored aroyls showed significant effect on improving the activity of the target compounds against the tested cancer cell lines with no SAR being observed. The findings of this study suggested that oil/water partition coefficient of the test compounds was one of the key factors impacting the target activity against the tested cancer cell lines. At the concentration of 10 μmol/L, except for the compounds with n-alkanoyls possessing seven or more carbons or with α-naphthoyl, none of the other compounds displayed obvious cytotoxicity on normal IEC-6 cell when co-incubated. The survival rate of IEC-6 cell ranged from 75% to 100% for the noncytotoxic compounds.
  • Changbei Ma, Mingjian Chen, Haisheng Liu, Kefeng Wu, Hailun He, Kemin Wang
    中国化学快报. 2018, 29(01): 136-138. https://doi.org/10.1016/j.cclet.2017.09.012
    摘要 ( ) PDF全文 ( ) HTML 可视化 收藏
    This work described a new method for the detection of humic acid (HA) based on the poly(thymine) (poly T)-templated copper nanoparticles (CuNPs). Without the presence of HA, the formation of poly Ttemplated CuNPs could take place, resulting in strong fluorescence emission peaks at 610 nm (upon excitation at 340 nm). On the other hand, when HA was present, strong interaction between HA and Cu2+ took place, which then hampered the effective formation of fluorescent CuNPs, leading to the decrease in fluorescence intensity. Furthermore, under the optimal experimental conditions, the method exhibited a high specificity to HA with a detection limit of 0.4 mg/L. This work has demonstrated a low-cost and convenient method that could be accomplished within 10 min. The method could provide a simple, rapid, and sensitive fluorescent platform for the detection of HA.
  • Hongjuan Tong, Yajun Zhang, Shengnan Ma, Minghao Zhang, Na Wang, Rui Wang, Kaiyan Lou, Wei Wang
    中国化学快报. 2018, 29(01): 139-142. https://doi.org/10.1016/j.cclet.2017.07.007
    摘要 ( ) PDF全文 ( ) HTML 可视化 收藏
    Hypochlorous acid (HOCl) is one of highly reactive oxygen species (ROS). It is involved in both immune defense against invading microbes and the progression of many diseases including cardiovascular disease and neurodegeneration disorders. It is generated from hydrogen peroxide (H2O2) and chloride ions in the presence of myeloperoxidase in activated neutrophils. To illustrate HOCl's biological functions, fluorescent probes, particularly those fluorescence emissions are in the near-infrared range, are highly needed for in vivo applications. Herein, we reported the design of a pinacol boronate caged near-infrared (NIR) fluorescent probe 1 derived from an Aβ binding fluorophore NIAD-4 for fast and selective detection of HOCl/ClO- over other ROS. Upon exposure to HOCl/ClO-, the pinacol boronate caging group of the probe 1 was quickly converted to electron-donating hydroxyl group, which increased intramolecular charge transfer (ICT) in the excited state and resulted in the red-shift and intensity enhancement of fluorescence emission. The probe bears several unique features:(1) It could be used as either a ratiomatic or turn-on fluorescent probe; (2) Reaction of the caging group boronate with HOCl is very fast and finishes within seconds, which provides the selectivity over H2O2; (3) The NIAD-4 fluorophore provides additional selectivity for detection of HOCl over peroxynitrite. Moreover, the utility of the probe in imaging HOCl/ClO- was demonstrated in in vitro phantom imaging studies using mouse brain homogenate as biological relevant media.
  • Jilei Wang, Shang Li, Ruiqi Liang, Bing Wu, Yaning He
    中国化学快报. 2018, 29(01): 143-146. https://doi.org/10.1016/j.cclet.2017.07.008
    摘要 ( ) PDF全文 ( ) HTML 可视化 收藏
    Water-soluble PEG grafted lignin-based polymers (AL-azo-PEG) were efficiently synthesized by macromolecular azo coupling reaction between alkali lignin and PEG based macromolecular diazonium salts in alkaline water. This one-step PEGylation method showed many advantages such as high efficiency, controllable grafting radio, extremely mild conditions and without organic solvents. The prepared AL-azo-PEG polymers were well characterized by using various spectroscopic methods including UV-vis, FTIR and 1H NMR spectra. Experimental results showed that the synthesized polymers had good solubility both in water over a wide pH range (pH 2-12) and in the majority of organic solvents, which helped to easily fabricate self-assembly colloidal particles and nanofibers by vapor diffusion method and electrospinning method, respectively. The azobenzene linkages generated by the macromolecular azo coupling reaction also brought photo-responsive properties to the prepared polymers.
  • Guogang Yang, Hao Wu, Junying Wei, Jueting Zheng, Zhaobin Chen, Junyang Liu, Jia Shi, Yang Yang, Wenjing Hong
    中国化学快报. 2018, 29(01): 147-150. https://doi.org/10.1016/j.cclet.2017.06.015
    摘要 ( ) PDF全文 ( ) HTML 可视化 收藏
    The quantum interference effect in the charge transport through single-phenyl molecules received intensive interests from theory but remained as an experimental challenge. In this paper, we investigated the charge transport through single-molecule benzene dithiol (BDT) junction with different connectivities using mechanically controllable break junction (MCBJ) technique. By further improving the mechanical stability and the electronic measuring component of the MCBJ set-up, we obtained the conductance histograms of BDT molecules (BDTs) from the statistical analysis of conductance-distance traces without data selection. By tuning the connectivity, the conductance of BDTs is determined to be 10-1.2 G0, 10-2.2 G0 and 10-1.0 G0 for para, meta, and ortho connectivity, following the trend that ortho-BDT > para-BDT > meta-BDT. Furthermore, the displacements of the junctions followed the trend that para > meta > ortho, suggesting the charge transport through the molecules via the gold-thiol bond. The different trends between conductance and displacement for different connectivities suggests the presence of destructive quantum interference effect on meta-BDT, which provides the experimental evidence for the quantum interference effect through single-phenyl molecular junctions.
  • Zijie Zhang, Kiyoshi Morishita, Wei Ting David Lin, Po-Jung Jimmy Huang, Juewen Liu
    中国化学快报. 2018, 29(01): 151-156. https://doi.org/10.1016/j.cclet.2017.06.014
    摘要 ( ) PDF全文 ( ) HTML 可视化 收藏
    With their hydrolytic, optical and magnetic properties, lanthanide ions (Ln3+) are versatile probes for nucleic acids. In addition, nucleotide-coordinated Ln3+ ions form useful nanoparticles. However, the thermodynamic basis of their interaction is still lacking. In this work, isothermal titration calorimetry (ITC) is used to study the binding between nucleotides and 14 different Ln3+ ions. Ln3+ interacts mainly with the phosphate of cytidine and thymidine monophosphate (CMP and TMP), while the nucleobases in adenosine and guanosine monophosphate (AMP and GMP) are also involved. Phosphate binding is fully entropy driven since the reactions absorb heat. Nucleosides alone do not bind Ln3+ and the purines need the phosphate for chelation. With increasing atomic number of Ln3+, the binding reaction with GMP goes from exothermic to endothermic. The entropy contribution starts to increase from Gd3+, explaining the ‘gadolinium break’ observed in many Ln3+-mediated RNA cleavage reactions. This study provides fundamental insights into the Ln3+/nucleotide interactions, and it is useful for understanding related biosensors, nanomaterials, catalysts, and for lanthanide separation.
  • Li Wang, Yi Wang, Dong Chen, Wantai Yang
    中国化学快报. 2018, 29(01): 157-160. https://doi.org/10.1016/j.cclet.2017.08.001
    摘要 ( ) PDF全文 ( ) HTML 可视化 收藏
    High-tech applications often demand the surface modification of polymeric materials using chemoselective reactions that can proceed under mild conditions. In this paper, a feasible method for the surface modification of polymeric materials with low density polyethylene (LDPE) films as model substrates based on visible light-induced thione-ene cycloaddition reaction is proposed. This strategy includes three steps:3-((6-Hydroxyhexyl)oxy)-9H-xanthene-9-thione (HXT) containing visible light-reactive thiocarbonyl groups was firstly synthesized; Then thiocarbonyl groups were introduced onto LDPE films previously surface-grafted with poly(styrene-co-maleic anhydride) brushes by the reaction between the hydroxyl groups of HXT and anhydride groups; Functional alkenes were finally fixed onto the surface of LDPE films by thione-ene cycloaddition reaction conducted under visible light at room temperature (r.t.). By FTIR, UV-vis spectroscopy, water contact angle test and XPS, we found that four typical functional alkenes, poly(ethylene glycol) methyl ethermethacrylate, 2-(perflurooctyl)ethyl methacrylate, 2, 3-dibromopropyl acrylate, and diethyl vinylphosphonate, can be successfully ligated, which confirmed the effectiveness and versatility of the present method.
  • Huanmin Li, Xu-Ming Xie
    中国化学快报. 2018, 29(01): 161-165. https://doi.org/10.1016/j.cclet.2017.06.001
    摘要 ( ) PDF全文 ( ) HTML 可视化 收藏
    To prepare GO/Polyolefin nanocomposites with enhanced mechanical, electrical, or thermal properties is still a challenge due to the poor interfacial adhesion between GO and non-polar polyolefins. In this study, we report an effective strategy for the polyolefin-functionalized graphene oxide (fGO) using two-step methods GO was firstly modified by using glycidyl methacrylate (GMA) and styrene (St) dual monomers grafting method, thus GO-g-(GMA-co-St) with numerous epoxide groups is obtained. Then through the reaction between the epoxide group of GMA and anhydride group of maleic anhydrides (MAH) of the prepared HDPE-g-(MAH-co-St), GO-g-HDPE-g-(MAH-co-St) could be obtained. The successful preparation of the GO-g-HDPE-g-(MAH-co-St) was confirmed by AFM, TEM, FTIR, XRD, DSC, and TGA characterization. The results show the grafting ratios of the poly(GMA-co-St) and HDPE-g-(MAH-co-St) being up to 50.4 wt% and 70.4 wt%, respectively. The functionalized GO shows homogeneous dispersion in the nanocomposites with HDPE, and the stress at break and strain at break of the nanocomposite is increased by 28.7% and 130% respectively with only 0.2 wt% fGO loading. The approach of the polyolefinfunctionalized GO paves a new way to develop not only polyolefin/graphene nanocomposites but also excellent nanocomposites of polyolefin/engineering plastic blends with graphene.
  • Xiaoqiang Li, Jidong Wang, Zimu Hu, Mengjuan Li, Kenji Ogino
    中国化学快报. 2018, 29(01): 166-170. https://doi.org/10.1016/j.cclet.2017.05.020
    摘要 ( ) PDF全文 ( ) HTML 可视化 收藏
    In this study, nanofibrous polypyrrole-coated TiO2/SiO2 (PPy@TS) membranes were fabricated by a combination of sol-gel process, electrospinning, calcination, and in situ polymerization. Samples from the electrospinning, calcination, and in situ polymerization steps were characterized by scanning electron microscopy, transmission electron microscopy, X-ray diffraction, Fourier transform infrared spectroscopy, and thermogravimetry. The in situ polymerization of PPy is aimed to enhance the overall photocatalytic capability of TiO2 in the TiO2/SiO2 composite fibers. Results of the photocatalytic degradation tests demonstrated that the PPy@TS composites possess enhanced photocatalytic activity for the degradation of methyl orange.
  • Hang Bian, Xiaozhe Dong, Shanshan Chen, Dewen Dong, Ning Zhang
    中国化学快报. 2018, 29(01): 171-174. https://doi.org/10.1016/j.cclet.2017.05.011
    摘要 ( ) PDF全文 ( ) HTML 可视化 收藏
    We demonstrate a straightforward and efficient method for the creation of polymer brushes on hydrogen-terminated silicon substrates through the UV-induced photopolymerization. The surface grafting polymerization is applicable to a series of monomers, allowing the direct formation of homogeneous polymer coatings ranging from hydrophilic poly(2-isopropenyl-2-oxazoline) (PIPOx), amphiphilic poly(N-isopropyl acrylamide) (PNIPAM), to hydrophobic polystyrene (PS) and poly(4-(1H,1H,2H,2H-perfluorohexyl)oxymethylstyrene) (PPHMS) on Si(100) and Si(111) surfaces via stable Si-C bonds. Polymerization kinetic investigation indicates a linear increase of polymer layer thickness with the polymerization time. Moreover, the as-prepared polymer brushes exhibit superior stability against basic conditions in contrast to those that were formed on silicon substrates via conventional Si-O-C bond.
  • Li-Na Fu, Bing Leng, Yong-Sheng Li, Xi-Ke Gao
    中国化学快报. 2018, 29(01): 175-178. https://doi.org/10.1016/j.cclet.2017.05.014
    摘要 ( ) PDF全文 ( ) HTML 可视化 收藏
    Introducing photochromic molecules into the active layer of organic field-effect transistors (OFETs) is a direct way to implement a photoresponse nature in OFETs. However, active layer blended photoresponsive transistors based on n-type semiconductors are challenging and rarely studied, which are crucial for multifunctional organic-based logic applications. Herein, we fabricated n-channel photoresponsive OFETs based on a tri-component active layer spin-coated from the mixed solution of an n-type semiconductor (NDI2OD-DTYM2), spiropyran and polystyrene with a weight ratio of 1:1:1. The morphology of the blended films was improved by the introduction of the polymer matrix. Photochromic spiropyran molecules dispersed in the semiconductor layer could switch between the closed-ring state and ionic open-ring state flexibly under the irradiation of different wavelengths of light, and thus change the channel conductivity reversibly and modulate the OFET characteristics. Therefore, under the irradiation of alternate UV and vis light, both the device carrier mobility and current on and off ratio successfully realized a reversible switch.
  • Yifan Yang, Qing Zheng, Yuanyuan Yan, Yao Liu, Huibo Shao
    中国化学快报. 2018, 29(01): 179-182. https://doi.org/10.1016/j.cclet.2017.06.011
    摘要 ( ) PDF全文 ( ) HTML 可视化 收藏
    This work presents an electrochemical study of enhanced electronic communication based on intermolecular hydrogen-bonding in ferrocenemethanol (described as FcCH2OH) molecular clusters. The enhanced electronic communication in FcCH2OH clusters is confirmed and further investigated by differential-pulse voltammetry and cyclic voltammetry. A key finding is that this enhanced electronic communication increases the standard rate constant of the electron transfer process. These results will provide us with a further understanding of the electronic communication within the ferrocenyl derivatives which is based on the intermolecular hydrogen-bonding.
  • Liwei Liu, Wende Xiao, Jinhai Mao, Haigang Zhang, Yuhang Jiang, Haitao Zhou, Kai Yang, Hongjun Gao
    中国化学快报. 2018, 29(01): 183-186. https://doi.org/10.1016/j.cclet.2017.06.012
    摘要 ( ) PDF全文 ( ) HTML 可视化 收藏
    The formation of densely packed overlayer of iron phthalocyanine (FePc) molecules on single-layer graphene (SLG) epitaxially grown on Ru(0001) is studied by means of low temperature scanning tunneling microscopy. We show that the FePc molecules form single molecular arrays, ordered honeycomb lattice, Kagome lattice and square lattice with increasing molecular coverage. The densely packed square lattice of the molecular layer is modulated by the moiré pattern of SLG/Ru(0001). The superposition of the square lattice of the molecular layer on the hexagonal lattice of SLG moiré pattern leads to the formation of a larger strip moiré pattern. This coverage-dependent self-assembling behavior of FePc on SLG/Ru(0001) is mainly driven by the inhomogeneous electronic structure of graphene moiré pattern, due to spatial-dependent interfacial charge transfer between SLG and Ru(0001) substrate.
  • Yuanyuan Chen, Bingjie Wana, Tianyi Hou, Xudong Hu, Xin Li, Xiaohong Sun, Shu Cai, Huiming Ji, Chunming Zheng
    中国化学快报. 2018, 29(01): 187-190. https://doi.org/10.1016/j.cclet.2017.06.019
    摘要 ( ) PDF全文 ( ) HTML 可视化 收藏
    SnS nanoparticles/CNTs composite (SnS/CNTs composite) is synthesized by a facile one-pot solvothermal reaction. The structural characterizations reveal pure SnS nanoparticles with the size of less than 10 nm distribute on the surface of CNTs with the diameter of less than 20 nm. The SnS/CNTs composite electrode performs high reversible capacity and good cyclability (365 mAh/g at 50 mA/g after 50 cycles), which is superior to that of pure SnS electrode synthesized without the adding of CNTs (115.9 mAh/g at 50 mA/g after 50 mA/g cycles). Even increasing the current density to 500 mA/g, the SnS/CNTs composite electrode still delivers a reversible capacity up to 210 mAh/g after 100 cycles, nearly two times higher than that of the pure SnS electrode (108 mAh/g after 100 cycles). The rate performance of the SnS/CNTs composite electrode is also better than that of pure SnS electrode at different current densities from 50 mA/g to 800 mA/g. The enhanced electrochemical performance of SnS/CNTs composite can be attributed to the adding of CNTs as a flexible and conductive structure supporter and the formation of SnS nanoparticles with small size. The SnS nanoparticles/CNTs composite structure not only benefits for buffering the volume change during charge and discharge process, but also increases the surface area for sufficient electrode-electrolyte contacting, and shortens Na+ diffusion length, which improves the conductivity and stability of active material and finally provides desirable electrochemical performance.
  • Danni Zhou, Chunxia Wang, Mingliang Li, Zheng Long, Jingbo Lan
    中国化学快报. 2018, 29(01): 191-193. https://doi.org/10.1016/j.cclet.2017.06.007
    摘要 ( ) PDF全文 ( ) HTML 可视化 收藏
    The direct Pd-catalyzed β-C(sp3)-H activation and cyclization of aliphatic amides bearing a removable 2-pyridylmethyl directing group with gem-dibromoolefins is described for the first time to construct a variety of γ-lactams. The resulting products with Z-and E-configurations can be easily separated and purified after the reaction, demonstrating the effectiveness and applicability of the method herein developed.
  • Weipeng Qi, Xiaoqiang Xie, Tengjiang Zhong, Xingxian Zhang
    中国化学快报. 2018, 29(01): 194-196. https://doi.org/10.1016/j.cclet.2017.04.019
    摘要 ( ) PDF全文 ( ) HTML 可视化 收藏
    Direct aldol condensation of various aromatic, heteroaromatic, α,β-unsaturated aldehydes and aliphatic aldehydes with acyldiazomethane was realized using MgI2 etherate (MgI2 (Et2O)n) as a promoter in the presence of diisopropyl amine (DIPEA) in excellent yields in a short time under mild conditions with high chemoselectivity. Iodide counterion, and a non-coordinating less ploar reaction media (i.e., CH2Cl2) are among the critical factors for this unique reactivity.
  • Jia-Yu Zhang, Xi Huang, Qiao-Ying Shen, Jia-Yi Wang, Gong-Hua Song
    中国化学快报. 2018, 29(01): 197-200. https://doi.org/10.1016/j.cclet.2017.05.012
    摘要 ( ) PDF全文 ( ) HTML 可视化 收藏
    Copper ferrite (CuFe2O4) nanoparticles catalyzed room temperature multicomponent reaction of aliphatic amines, formaldehyde, arylboronic acids and alkynyl carboxylic acids was reported for the synthesis of diverse propargylamines with good to excellent yields. The catalyst can be magnetically recovered and reused at least five times without significant loss of activity.
  • Shi-Xuan Cao, Jia-Xi Wang, Zheng-Jie He
    中国化学快报. 2018, 29(01): 201-204. https://doi.org/10.1016/j.cclet.2017.06.022
    摘要 ( ) PDF全文 ( ) HTML 可视化 收藏
    Magnetic nanoparticles Fe3O4@SiO2 supported cinchona alkaloids (quinine and quinidine) were successfully synthesized as magnetically recoverable organocatalysts and characterized by FT-IR, XPS, SEM measurements, and elemental analysis. Their catalytic activity and stereoselectivity were preliminarily evaluated in the asymmetric Michael addition reaction of 1,3-dicarbonyls and maleimides. The supported quinine catalyst exhibited good catalytic efficiency and modest to high enantioselectivity. The magnetic recoverability and recyclability of the catalyst were also examined.
  • Shi-Qiang Gong, Zhen-Jie Xue, Shu-Teng Liao, Ya-Bo Wu, Yan Liu
    中国化学快报. 2018, 29(01): 205-208. https://doi.org/10.1016/j.cclet.2017.08.036
    摘要 ( ) PDF全文 ( ) HTML 可视化 收藏
    Enzymatic degradation of demineralized collagen matrix seriously impairs durable resin-dentin bonding. In this study, we evaluated the effect of nordihydroguaiaretic acid (NDGA)-modified etchant on the resistance to enzymatic degradation and mechanical properties of demineralized collagen matrix. Dentin beams were randomly demineralized by following solutions:1) 10% phosphoric acid (PhA) solution, 2) 10% dimethyl sulfoxide (DMSO)-PhA solution, 3) NDGA-modified etchant, and 4) proanthocyanidins (PA)-modified etchant. The demineralized dentin collagen was then digested by type I collagenase solution. The collagenase degradation resistance was evaluated by measuring loss of dry mass, hydroxyproline release, and elastic modulus change. The degradation rate and hydroxyproline release of dentin collagen treated with NDGA-modified etchant were significantly lower than those in the other groups (P < 0.001). The elastic modulus of dentin beams treated with NDGA-modified etchant did not increase significantly. However, after 48 h of collagenase degradation, the loss of elastic modulus of dentin beams treated with NDGA-modified etchant was significantly lower than that of the control group (P < 0.001). The NDGA-modified etchant could improve the resistance to enzymatic degradation of type I collagenase degradation, and the stability of the mechanical properties of dentin collagen. This proof-of-concept study validates the etch-and-crosslink technique that improves durability of dentin bonding through simultaneous dentin etching and collagen crosslinking.
  • Hui-Ying Liu, Ye-Fen Li, Qing-Gang Gao, Zhen-Dong Liu, Hong-Bing Fu
    中国化学快报. 2018, 29(01): 209-212. https://doi.org/10.1016/j.cclet.2017.06.002
    摘要 ( ) PDF全文 ( ) HTML 可视化 收藏
    The excited-state intramolecular proton transfer molecules based on chalcone (E)-3-(4'-dimethylaminophenyl)-1-(4'-fluoro-2'-hydroxyphenyl)-2-propen-1-one (DMF-HPPO) have been synthesized under microwave irradiation. One-dimensional (1D) microwires and 2D microdisks of DMF-HPPO have been selectively prepared by controlling the solution polarity. XRD results revealed the two microcrystals exhibit distinct diffraction patterns, which indicates that they have belonged to different crystalline nature. The microcrystals demonstrate shape-dependent amplified spontaneous emissions (ASE) that the emission of 1D microwire is central around 618 nm and the 2D microdisk emits fluorescence at 650 nm. This result reveals the controlled synthesis of two microcrystals and their consequent multicolor amplified spontaneous emission, providing considerable promise for the development and application of new opto-electronic devices.
  • Guangping Wan, Hongjun Xia, Jun Wang, Jiawei Liu, Botao Song, Ying Yang, Quan Bai
    中国化学快报. 2018, 29(01): 213-216. https://doi.org/10.1016/j.cclet.2017.06.004
    摘要 ( ) PDF全文 ( ) HTML 可视化 收藏
    Superficially porous core-shell silica microspheres (CSSMs) have been a great success for the fast separation of small molecules and proteins in recent years. In this paper, the CSSMs were synthesized by an improved polymerization-induced colloid aggregation (PICA) method using urea-formaldehyde polymers as the templates. The agglomeration of the functionalized silica core was avoided by the surface modification through reflux with ureidopropyltrimethoxysilane in the neutral ethanol solution at 80℃, and the secondary nucleation of the silica nanoparticles during the preparation process could also be inhibited via the optimization of the reaction conditions, such as pH, temperature, colloidal silica sol concentration and the reaction time. The controllable shell thickness and pore size of the synthesized monodisperse CSSMs were successfully obtained by adjusting the weight ratio of silica core/colloidal silica sol and the particle size of colloidal silica sol, respectively. The C18-modified CSSMs with different pore sizes were used to separate small solutes and proteins. The higher efficient separation and relatively low back pressure of the synthesized core-shell column demonstrate that the CSSMs have a great potential application for fast HPLC.