本期目录

2024年, 第35卷, 第09期 刊出日期:2024-09-22
  

  • 全选
    |
  • Xinghui Yao, Zhouyu Wang, Da-Gang Yu
    中国化学快报. 2024, 35(09): 109916. https://doi.org/10.1016/j.cclet.2024.109916
    摘要 ( ) PDF全文 ( ) HTML 可视化 收藏
  • Yu-Yu Tan, Lin-Heng He, Wei-Min He
    中国化学快报. 2024, 35(09): 109986. https://doi.org/10.1016/j.cclet.2024.109986
    摘要 ( ) PDF全文 ( ) HTML 可视化 收藏
  • Qin Yu, Haisheng He, Jianping Qi, Yi Lu, Wei Wu
    中国化学快报. 2024, 35(09): 109888. https://doi.org/10.1016/j.cclet.2024.109888
    摘要 ( ) PDF全文 ( ) HTML 可视化 收藏
  • 评论
  • Shehla Khalid, Muhammad Bilal, Nasir Rasool, Muhammad Imran
    中国化学快报. 2024, 35(09): 109498. https://doi.org/10.1016/j.cclet.2024.109498
    摘要 ( ) PDF全文 ( ) HTML 可视化 收藏
    In the quest for new agrochemicals and pharmaceuticals, chemists seek access to reliable and mild synthetic techniques to allow for the systematic modification of chemical structures, exploration of unexplored chemical space, and facilitation of practical synthesis in their search for novel agrochemicals and pharmaceuticals. In this regard, photocatalytic reactions enabled the synthesis of intricate and more functionalized compounds. This review overviews the developed synthetic methodologies and their utility in the chemical synthesis of pharmaceuticals. This review also offers in-depth insights into contemporary photoredox reactions such as allylic additions, cyclization, reductive cross-coupling, C-H activation, ring opening, oxidative cross-coupling, dehydrogenation, desulphonation, and decarboxylation. It provides a positive outlook for the promising future of this field.
  • Xiao-Ya Yuan, Cong-Cong Wang, Bing Yu
    中国化学快报. 2024, 35(09): 109517. https://doi.org/10.1016/j.cclet.2024.109517
    摘要 ( ) PDF全文 ( ) HTML 可视化 收藏
    In recent years, FeCl3-photocatalyzed direct C-H/Si-H bond functionalization reactions have attracted huge attention. In those transformations, chlorine radical (Cl·) could be generated from FeCl3 via a ligand-to-metal charge transfer (LMCT)/homolysis process under light irradiation. The resulting chlorine radical subsequently acts as a hydrogen atom transfer (HAT) agent to abstract the hydrogen atom of aliphatic C-H, O-H, or Si-H bonds to give the corresponding C/Si/O-centered radicals for various organic transformations. In this review, we summarized the recent advances in the application of FeCl3 as a HAT photocatalyst for the C/Si-H functionalization to construct C-C, C-N, C-Si, C-S, C-B, and C-P bonds.
  • Zixu Xie, Pengfei Zhang, Ziyao Zhang, Chen Chen, Xing Wang
    中国化学快报. 2024, 35(09): 109768. https://doi.org/10.1016/j.cclet.2024.109768
    摘要 ( ) PDF全文 ( ) HTML 可视化 收藏
    Owing to the spread of COVID-19, it is difficult to ignore the existence and importance of antimicrobial polymers (AMPs) because most protective appliances are made of polymers. Generally, bacteria prefer hydrophilic compounds, while fungi prefer hydrophobic ones. In recent decades, AMPs have made significant strides due to the versatile design of the functional groups or units for hydrophilic, hydrophobic, or amphiphilic performances. This review summarizes the advances of AMPs itself from the perspective of their wettability. Moreover, this study aims to clarify how the functional groups determine the interaction between the polymer and microorganisms directly affects the antimicrobial efficacy of the designed polymers. Based on the advances, the challenges and outlooks of AMPs from the perspective of wettability are systematically discussed to build a bridge between the structural design of AMPs and the requirements of practical applications.
  • Jia Fu, Shilong Zhang, Lirong Liang, Chunyu Du, Zhenqiang Ye, Guangming Chen
    中国化学快报. 2024, 35(09): 109804. https://doi.org/10.1016/j.cclet.2024.109804
    摘要 ( ) PDF全文 ( ) HTML 可视化 收藏
    Thermoelectric (TE) materials enable effective and direct energy conversions between heat and electricity, displaying wide applications including waste/low-grade heat harvesting, local cooling, sensing and wearable electronics. Among the recently-developed organic and composite TE materials, poly(3,4-ethylenedioxythiophene) (PEDOT) is perhaps the most successful and frequently reported type. Herein, we aim to review the recent advances of the synthesis, mechanism and applications of PEDOT-based TE composites. First, the research background and the history of TE materials are briefly introduced. Next, the synthesis and TE performance of PEDOT-based composites are summarized according to the sequence of films, hydrogels/aerogels and fibers/yarns. Then, the mechanism, structure and property are elucidated. After that, the recent development and its applications of power generation and sensing are highlighted. Finally, we provide an outlook on the prospects and the challenges of PEDOT-based TE composites.
  • Fengjie Liu, Fansu Meng, Zhenjiang Yang, Huan Wang, Yuehong Ren, Yu Cai, Xingwang Zhang
    中国化学快报. 2024, 35(09): 109335. https://doi.org/10.1016/j.cclet.2023.109335
    摘要 ( ) PDF全文 ( ) HTML 可视化 收藏
    Exosomes as authigenous nanovesicles secreted by living cells represent a significant class of biomaterials. By virtue of their unique roles in intercellular communication, exosomes can mediate intercellular information/cargoes exchange as messenger and facilitate drug delivery as smart vehicles. Oral medication is the most clinically relied upon route of administration and can achieve both topical and systemic therapeutic effects after absorption. Exosomes and exosome-derived vectors have shown to be of high value in oral drug delivery, since they enable efficient oral delivery of therapeutic molecules by targeting intestinal epithelial cells. In recent years, exosome-biomimetic nanocarriers have emerged as an important catalyzer in innovating oral drug delivery systems. In this work, we roundly reviewed the biogenesis and functions of exosomes, their extraction and characterization methods, resources available for exosomes harvest, and design philosophy of exosome-derived vehicles, particularly highlighting the oral delivery application of exosome-biomimetic nanocarriers for diverse medicines. Accumulating evidence suggests that exosome-biomimetic nanocarriers hold great promise for oral delivery of intractable drugs with potential biopharmaceutic issues.
  • Bohan Chen, Liming Gong, Jing Feng, Mingji Jin, Liqing Chen, Zhonggao Gao, Wei Huang
    中国化学快报. 2024, 35(09): 109432. https://doi.org/10.1016/j.cclet.2023.109432
    摘要 ( ) PDF全文 ( ) HTML 可视化 收藏
    As one of the most promising adoptive T-cell therapies, chimeric antigen receptor T-cell (CAR-T) therapy has acquired Food and Drug Administration (FDA) approval for a variety of products and has been used successfully in the treatment of malignant hematological tumors. CAR-T therapy, on the other hand, faces a number of obstacles in the field of solid tumor therapy that limit its widespread clinical implementation. Significant advances in nanoparticle research in cancer therapy and immunotherapy have been made in recent years, providing novel strategies to address the challenges encountered by CAR-T therapy in the treatment of solid tumors. This review commences with a comprehensive explanation of the basic framework of CAR-T therapy as well as the challenges it faces in the treatment of solid tumors. Subsequently, we encapsulate a summary of the developmental research combining nanoparticles with CAR-T cells for the treatment of solid tumors, which includes gene transfection, cell activation and expansion, targeted infiltration, immune escape inhibition, and combination with other therapies. Coupled with the overview of the research progress, a discussion has been initiated on the challenges and perspectives of CAR-T based on nanoparticles.
  • Zeyu Jiang, Yadi Wang, Changwei Chen, Chi He
    中国化学快报. 2024, 35(09): 109400. https://doi.org/10.1016/j.cclet.2023.109400
    摘要 ( ) PDF全文 ( ) HTML 可视化 收藏
    The catalytic oxidation of volatile organic compounds (VOCs) is of considerable significance for the sustainable development of the chemical industry; thus, considerable efforts have been devoted to the exploration of efficient catalysts for use in this reaction. In this regard, the development and utilization of single-atom catalysts (SACs) in VOCs decomposition is a rapidly expanding research area. SACs can be employed as potential catalysts for oxidizing VOC molecules due to their optimal utilization efficiency, unique atomic bonding structures, and unsaturated orbits. Progress has been achieved, while the challenges surrounding precise regulation of the microstructures of SACs for improving their low-temperature efficiency, stability, and product selectivity under practical conditions are remaining. Therefore, elucidating structure-performance relationships and establishing intrinsic modulating mechanisms are urgently required for guiding researchers on how to synthesize effective and stable functional SACs proactively. Herein, recent advances in the design and synthesis of functional SACs for application in the catalytic oxidation of VOCs are summarized. The experimental and theoretical studies revealing higher efficiency, stability, and selectivity of as-prepared functional SACs are being highlighted. Accordingly, the future perspectives in terms of promising catalysts with multi-sized composite active sites and the illustration of intrinsic mechanism are proposed. The rapid intelligent screening of applicable SACs and their industrial applications are also discussed.
  • Zhao Li, Huimin Yang, Wenjing Cheng, Lin Tian
    中国化学快报. 2024, 35(09): 109237. https://doi.org/10.1016/j.cclet.2023.109237
    摘要 ( ) PDF全文 ( ) HTML 可视化 收藏
    Catalysts can significantly promote the reaction dynamics and are therefore considered crucial components for achieving high electrochemical energy conversion efficiency. However, the active sites of the catalysts, particularly for nano-level and atomic-level catalysts commonly undergo reconstruction under practical applications. Therefore, obtaining an in-depth and systematic understanding on the real active sites through in situ/operando characterization techniques is a prerequisite for establishing the structure-performance relationship and guiding the future design of more efficient electrocatalysts. Herein, we summarize the recent progress of in situ/operando characterization techniques for identifying the nature of active sites of electrocatalysts when used in electrocatalytic energy conversion reaction. Specifically, our focus lies in the fundamental principles of various in situ/operando characterization techniques, with particular emphasis on their applications for electrocatalytic reactions. Beyond that, the challenges and perspective insights are also added in the final section to highlight the future direction of this important field.
  • Xiuwen Xu, Quan Zhou, Yacong Wang, Yunjie He, Qiang Wang, Yuan Wang, Bing Chen
    中国化学快报. 2024, 35(09): 109272. https://doi.org/10.1016/j.cclet.2023.109272
    摘要 ( ) PDF全文 ( ) HTML 可视化 收藏
    X-ray detection plays a crucial role across various aspects of our daily lives, encompassing medical diagnoses, security screenings, and non-destructive examinations in industrial settings. Given the wide array of application contexts, a wealth of opportunities is entailed with the practical utilization of both organic and inorganic X-ray detection materials. A novel and promising contender in this realm is the emergence of metal-free organic halide perovskites (O-PVSKs), offering great opportunities and tremendous potential in X-ray detection. This potential can be attributed to the distinct crystalline configuration of O-PVSKs, where organic constituents are structured into an ABX3 perovskite arrangement. Consequently, O-PVSKs exhibit captivating characteristics reminiscent of organic materials, such as lightweight nature and modifiability, all while retaining the distinctive traits associated with halide perovskites ranging from diverse structures to tunable optoelectronic properties. This review article delves into the intrinsic attributes of O-PVSKs and critically examines the viability of O-PVSKs in X-ray detection, through which key features that distinguish O-PVSKs from traditional organic semiconductors and perovskites are outlined. This is followed by a perspective given on their future avenues for exploration.
  • Ce Liang, Qiuhui Sun, Adel Al-Salihy, Mengxin Chen, Ping Xu
    中国化学快报. 2024, 35(09): 109306. https://doi.org/10.1016/j.cclet.2023.109306
    摘要 ( ) PDF全文 ( ) HTML 可视化 收藏
    Surface-enhanced Raman scattering (SERS) spectroscopy has emerged as a powerful analytical technique for detecting and identifying trace chemical and biological molecules. In this review, we present an in-depth discussion of recent advances in the field of crystal phase manipulation to achieve exceptional SERS performance. Focusing on transition metal dichalcogenides, (hydr)oxides, and carbides as exemplary materials, we illustrate the pivotal role of crystal phase regulation in enhancing SERS signals. By exploring the correlation between crystal phases and SERS responses, we uncover the underlying principles behind these strategies, thereby shedding light on their potential for future SERS applications. By addressing the current challenges and limitations, we also propose the prospects of the crystal phase strategy to facilitate the development of cutting-edge SERS-based sensing technologies.
  • Chang Liu, Tao Wu, Lijiao Deng, Xuzi Li, Xin Fu, Shuzhen Liao, Wenjie Ma, Guoqiang Zou, Hai Yang
    中国化学快报. 2024, 35(09): 109307. https://doi.org/10.1016/j.cclet.2023.109307
    摘要 ( ) PDF全文 ( ) HTML 可视化 收藏
    Nowadays, due to excellent biological and polymeric characteristics, DNA has been widely noted as an emerging building block to construct diverse materials for biosensing, in vivo imaging, drug delivery, and disease therapy. Particularly, relying on programmability, predictability, and stability of DNA, DNA walkers have opened new and exciting opportunities in modern life sciences for target detection and biological analysis, which are constructed by self-assembly of DNA or combining DNA with other nanomaterials (e.g., quantum dots, gold nanoparticles, magnetic nanoparticles, polymers). Compared with conventional nanomaterials (lanthanide-doped upconversion nanoparticles, magnetic nanomaterials, carbon dots, silicon dots, and so on), DNA walkers showed convenient modification, lower biotoxicity, excellent biocompatibility and high biostability, improving the biological application. Meanwhile, with high-speed operating efficiency and sustainable operation, DNA walkers powered by strand displacement reaction or protein enzyme/DNAzyme reaction, have highly sensitive detection and signal amplification abilities, which are applied in biosensing, material assembly and synthesis, and early cancer diagnosis. Worthily, DNA walkers could be regarded as signal amplifiers, which enhanced the signal transduction and amplified biosensor sensing signals. Herein, we systematically and comprehensively summarized the operating principles of various DNA walkers, categorized rational design of the DNA walker, and outlined the application of DNA walker in biosensors. Furthermore, the challenges and future trends of DNA walkers were discussed.
  • 通信
  • Yuemin Chen, Yunqi Wu, Guoao Wang, Feihu Cui, Haitao Tang, Yingming Pan
    中国化学快报. 2024, 35(09): 109445. https://doi.org/10.1016/j.cclet.2023.109445
    摘要 ( ) PDF全文 ( ) HTML 可视化 收藏
    An efficient and scalable electrochemical asymmetric protocol with metal-free catalysts and even without additional oxidants for the cross-dehydrogenative coupling reaction (CDC) of two C(sp3)-H bonds is reported. A series of aldehydes including natural products and various substrates containing C(sp3)-H bonds including xanthenes, acridines, cycloheptatrienes and even diarylmethane have been shown to undergo asymmetric CDC to afford a series of carbon-carbon bond coupling products with up to 94% yield and 98% ee. Mechanistic studies such as radical clock experiment suggest that the reaction proceeds via nucleophilic attack by enamine under electrochemical conditions.
  • Wenyu Gao, Liming Zhang, Chuang Zhao, Lixiang Liu, Xingran Yang, Jinbo Zhao
    中国化学快报. 2024, 35(09): 109447. https://doi.org/10.1016/j.cclet.2023.109447
    摘要 ( ) PDF全文 ( ) HTML 可视化 收藏
    We describe a versatile electrophile addition/SPR sequence of readily available cyclopropyl carbinols that affords multi-substituted carbonylated cyclopropanes with high stereo-fidelity. This approach tolerates various heteroatom electrophiles, migration of carbon moiety of all possible hybridization states, facile ring reorganization and natural compound valorization. The examples represent an unprecedented version of SPR wherein migration to a non-benzylic bulky tertiary carbo-cation is realized with promising enantiocontrol.
  • Jing Wang, Zenghui Li, Xiaoyang Liu, Bochao Su, Honghong Gong, Chao Feng, Guoping Li, Gang He, Bin Rao
    中国化学快报. 2024, 35(09): 109473. https://doi.org/10.1016/j.cclet.2023.109473
    摘要 ( ) PDF全文 ( ) HTML 可视化 收藏
    In this study, a series of arylene-bridged bis(benzimidazolium)triflates 1-62+·2[OTf-] were synthesized by grafting different π-linkers with benzimidazolium scaffolds. Among them, compound 12+·2[OTf-] with anthracene as the linker exhibited remarkable electron transfer capabilities across four distinct redox states. The inclusion of an anthracene unit as the π-linker contributes to its exceptional redox and optoelectronic characteristics. Consequently, 12+·2[OTf-] was successfully utilized as both an electrochromic molecule in an ECD under applied voltage for the first time, and a highly efficient photocatalyst for the formation of carbon-phosphorus bonds via visible-light-induced cross-dehydrogenative coupling reactions.
  • Qiuyun Li, Yannan Zhu, Yining Wang, Gang Qi, Wen-Juan Hao, Kelu Yan, Bo Jiang
    中国化学快报. 2024, 35(09): 109494. https://doi.org/10.1016/j.cclet.2024.109494
    摘要 ( ) PDF全文 ( ) HTML 可视化 收藏
    Catalytic C-H activation-initiated annulation reactions have emerged as a versatile strategy for the efficient construction of diverse ring structural units and complex cyclic molecules in synthetic chemistry. Herein, we describe a new Rh(III)-catalyzed C-H activation-initiated transdiannulation reaction of N,N-dimethyl enaminones with gem-difluorocyclopropenes in the presence of H2O, enabling a facile and oxygen transfer access to ring-fluorinated tricyclic γ-lactones with a 6-5 ring-junction tetrasubstituted stereocenter. This approach features bond-forming/annulation efficiency, good functional group tolerance and complete regioselectivity, which may include a complex process consisting of Rh(III)-catalyzed C(sp2)-H activation, cyclic alkene insertion, defluorinated ring-opening of gem-difluorocyclopropane, intramolecular oxygen transfer, intramolecular cyclization and oxidative hydration.
  • Kun Tang, Fen Su, Shijie Pan, Fengfei Lu, Zhongfu Luo, Fengrui Che, Xingxing Wu, Yonggui Robin Chi
    中国化学快报. 2024, 35(09): 109495. https://doi.org/10.1016/j.cclet.2024.109495
    摘要 ( ) PDF全文 ( ) HTML 可视化 收藏
    Enones are widely explored in synthetic chemistry as fundamental building blocks for a wide range of reactions and exhibit intriguing biological activities that are pivotal for drug discovery. The development of synthetic strategies for highly efficient preparation of enones thereby receives intense attention, in particular through the transition metal-catalyzed coupling reactions. Here, we describe a carbene-catalyzed cross dehydrogenative coupling (CDC) reaction that enables effective assembly of simple aldehydes and alkenes to afford a diverse set of enone derivatives. Mechanistically, the in situ generated aryl radical is pivotal to “activate” the alkene by forming an allyl radical through intermolecular hydrogen atom transfer (HAT) pathway and thus forging the carbon-carbon bond formation with aldehyde as the acyl synthon. Notably, our method represents the first example on the enone synthesis through coupling of “non-functionalized” aldehydes and alkenes as coupling partners, and offers a distinct organocatalytic pathway to the transition metal-catalyzed coupling transformations.
  • Boqiang Wang, Yongzhuo Xu, Jiajia Wang, Muyang Yang, Guo-Jun Deng, Wen Shao
    中国化学快报. 2024, 35(09): 109502. https://doi.org/10.1016/j.cclet.2024.109502
    摘要 ( ) PDF全文 ( ) HTML 可视化 收藏
    A highly site-selective intermolecular trifluoromethylimination of activated and unactivated olefins was reported under transition-metal- and photosensitizer-free conditions. This newly developed strategy provides straightforward and efficient access to diverse value-added vicinal trifluoromethyl amines without resorting to the pre-functionalized reagents. Mechanistic experiments demonstrate that the approach proceeded through CF3 and iminyl two-radicals process, which were generated directly from commercially available benzophenone imine in a novel electron-donor mode via a SET process activated by the bifunctional hypervalent iodine reagents. The synthetic potential of the protocols was further showcased via the condensation/amination sequential cascade, and transformations to access β-CF3 primary amines.
  • Yi-Fan Wang, Hao-Yun Yu, Hao Xu, Ya-Jie Wang, Xiaodi Yang, Yu-Hui Wang, Ping Tian, Guo-Qiang Lin
    中国化学快报. 2024, 35(09): 109520. https://doi.org/10.1016/j.cclet.2024.109520
    摘要 ( ) PDF全文 ( ) HTML 可视化 收藏
    A rhodium(III)-catalyzed hydrosilylation/cyclization reaction of cyclohexadienone-tethered α,β-unsaturated aldehydes (1,6-dienes) with triethylsilane is described, providing a series of cis-hydrobenzofurans, cis-hydroindoles, and cis-hydroindenes bearing silyl enol ether in good to excellent yields and excellent stereoselectivities. Additionally, the versatility of this method was demonstrated through a gram-scale experiment and various downstream transformations, highlighting its utility.
  • Jindong Hao, Yufen Lv, Shuyue Tian, Chao Ma, Wenxiu Cui, Huilan Yue, Wei Wei, Dong Yi
    中国化学快报. 2024, 35(09): 109513. https://doi.org/10.1016/j.cclet.2024.109513
    摘要 ( ) PDF全文 ( ) HTML 可视化 收藏
    A simple and additive-free protocol has been developed for the preparation of β-keto phosphorodithioates through the three-component reaction of easily available sulfoxonium ylides, P4S10, and alcohols. The present geminal hydro-phosphorodithiolation reaction was performed at room temperature to construct a series of β-keto phosphorodithioates in the absence of any metal reagents, bases, or additives.
  • Chaochao Jin, Kai Li, Jiongpei Zhang, Zhihua Wang, Jiajing Tan
    中国化学快报. 2024, 35(09): 109532. https://doi.org/10.1016/j.cclet.2024.109532
    摘要 ( ) PDF全文 ( ) HTML 可视化 收藏
    An array of pyridine-ester enolate based organoboron complexes has been designed and synthesized via a one-pot cascade of Pd-catalyzed α-arylation and BF2 complexation. The rapid structure-activity relationship (SAR) studies indicated that unsymmetrical N,O-chelated BF2 complexes were highly fluorescent in solid state, and exhibited large Stokes shifts, excellent photostability, along with insensitivity to pH. The α-aryl group could not only modulate the electronic effect but also inhibit the intermolecular π-π stacking to promote the aggregation-induced emission (AIE) effect. DFT calculations and experiments identified that the intramolecular charge transfer properties of these N,O-chelates could be switched by the modification of substituents, resulting tunable fluorescence wavelengths. Furthermore, post-complexation modification was accomplished, including Suzuki-Miyaura cross-coupling, Buchwald-Hartwig amination, oxidative cleavage, along with a unique triple substitution reaction involving propargyl Grignard reagents. The exemplificative application of dimethylamine substituted boron complex as a reversible acidic vapor sensor was also demonstrated.
  • Dan Luo, Jinya Tian, Jianqiao Zhou, Xiaodong Chi
    中国化学快报. 2024, 35(09): 109444. https://doi.org/10.1016/j.cclet.2023.109444
    摘要 ( ) PDF全文 ( ) HTML 可视化 收藏
    Tryptophan (Trp) is an essential amino acid that plays a critical role in human physiology. The increasing demand for Trp has created a highly promising market, underscoring the urgent necessity for the development of efficient strategies for the simultaneous detection and uptake of tryptophan. Herein, we report an expanded “Texas-sized” molecular box (An-TxSB), which incorporates luminescent anthracene bridging subunits and molecular recognition motifs. This luminescent molecular box demonstrates exceptional sensitivity to Trp in water, permitting its precise quantification with a notably low limit of detection (LOD) of 0.42 μmol/L. Moreover, An-TxSB facilitates the proficient uptake of Trp from simulated water samples, thereby revealing an impressive Trp adsorption capacity of up to 226.0 μmol/g.
  • Lei Zhou, Youjun Zhou, Lizhen Fang, Yiqiao Bai, Yujia Meng, Liang Li, Jie Yang, Yong Yao
    中国化学快报. 2024, 35(09): 109509. https://doi.org/10.1016/j.cclet.2024.109509
    摘要 ( ) PDF全文 ( ) HTML 可视化 收藏
    Photosynthesis is the process through which living plants utilize photosynthetic pigments, such as chlorophyll, to convert CO2 and water into organic compounds and release O2 under visible light. In this study, we have successfully constructed a fluorescent supramolecular polymer (P5Py2/Zn/Gen)n by employing orthogonal pillar[5]arene-based molecular recognition and metal ion coordination. Within the supramolecular polymer, the guest molecule Gen unit acts as a light-harvesting moiety, as the ACQ effect is inhibited by host-guest interactions, while the (Py)2/Zn center serves as a catalytic site. By employing this orthogonal self-assembly strategy, we have enhanced the stability of both the donor and acceptor in catalyzing the reduction of p-nitrophenol to p-aminophenol. Moreover, this photocatalyst can be reused at least 5 times without significant conversion loss. These findings provide a pathway for constructing a recyclable artificial LHS that mimics the entire photosynthesis process.
  • Zhixue Liu, Haiqi Chen, Lijuan Guo, Xinyao Sun, Zhi-Yuan Zhang, Junyi Chen, Ming Dong, Chunju Li
    中国化学快报. 2024, 35(09): 109666. https://doi.org/10.1016/j.cclet.2024.109666
    摘要 ( ) PDF全文 ( ) HTML 可视化 收藏
    Multicharged supramolecular assemblies based on luminescent macrocycle play an important role in extending their optical properties and functions. Herein, we reported macrocyclic supramolecular assemblies based on luminescent terphen[3]arene sulfate (TP[3]AS) and tetraphenylethylene pyridinium (TPE-4Py) through electrostatic interactions, host-guest encapsulation and π-π stacking interactions. Förster resonance energy transfer (FRET) process from TP[3]AS to TPE-4Py was achieved with the energy transfer efficiency of 99.9%, accompanied by TPE-4Py fluorescence emission bathochromic shifted of 15nm and enhanced by 1.68 times in PBS solution. In contrast, other non-luminescent sulfato-β-cyclodextrin and sulfobutylether-β-cyclodextrin only can enhance the fluorescence intensity of TPE-4Py without bathochromic shift. Due to the strong fluorescence and good stability of TPE-4Py@TP[3]AS, it can be used for optical imaging in living cells, which provided an effective approach for the construction of assembling-confined luminescent biomaterials.
  • Ying Hou, Zhen Liu, Xiaoyan Liu, Zhiwei Sun, Zenan Wang, Hong Liu, Weijia Zhou
    中国化学快报. 2024, 35(09): 109634. https://doi.org/10.1016/j.cclet.2024.109634
    摘要 ( ) PDF全文 ( ) HTML 可视化 收藏
    Semiconductor-molecule surface-enhanced Raman scattering (SERS), especially the stronger interfacial charge transfer process (ICTP), represents a frontier in the field of SERS with spectral reproducibility and unparalleled selectivity. Herein, through a laser microfabrication method in situ, the free-standing, super hydrophilic and vacancy-rich TiO2-x/Ti is successfully synthesized. Using blue TiOx/Ti (B-TiOx/Ti) as pre-concentrated substrate, a nanomolar-level limit of detection of 12nmol/L at 1385 cm-1, is confirmed using crystal violet (CV) bacteriostat as a model under 532nm excitation. Furthermore, the results demonstrate that the SERS enhancement mechanism is via the moderate adulteration of oxygen vacancy, which leads to a narrow value of band gap and increases the ICTP of substrate to molecules. Using a hand-held extractor assembled with B-TiOx/Ti microfiber, the operando analysis of mixtures distributed information excited in different parts of Asian carp is facilely achieved. This work guides the controlled synthesis of vacancy-rich TiO2-x/Ti nanostructure and its application in ultrasensitive extraction-SERS detection. It also provides the direction for the rapid and operando transmission of biological information with temporal and spatial concentration distribution in human tissues by highly sensitized materials.
  • Jaeyong Ahn, Zhenping Li, Zhiwei Wang, Ke Gao, Huagui Zhuo, Wanuk Choi, Gang Chang, Xiaobo Shang, Joon Hak Oh
    中国化学快报. 2024, 35(09): 109777. https://doi.org/10.1016/j.cclet.2024.109777
    摘要 ( ) PDF全文 ( ) HTML 可视化 收藏
    Compared to organic thin films, organic single crystals offer significant potential in organic phototransistors (OPTs) due to their enhanced charge transport, large surface area, and defect-free nature. However, the development of n-type semiconductors has lagged behind p-type semiconductors. To enhance semiconductor device performance, a doping process can be employed, which typically involves the introduction of charged impurities into the crystalline semiconducting material. Its aim is to reduce the Ohmic losses, increase carrier density, improve transport capabilities, and facilitate effective carrier injection, ultimately enhancing the electrical properties of the material. Traditional doping processes, however, often pose a risk of damaging the structure of single crystals. In this study, we have synthesized novel cyano-substituted chiral perylene diimides, which self-assemble into two-dimensional single crystals that can be used for n-type semiconductor devices. We have employed a surface doping strategy using diethylamine vapor without disrupting the crystal structure. The fabricated devices exhibit significantly higher charge transport properties after doping, achieving a maximum electron mobility of 0.14cm2 V-1 s-1, representing an improvement of over threefold. Furthermore, the optoelectronic performance of the doped devices has significantly improved, with the external quantum efficiency increased by over 9 times and the significantly improved response time. These results suggest that our surface doping technology is a promising way for enhancing the performance of 2D organic single-crystal OPTs.
  • Yu He, Hao Jiang, Shaoxuan Yuan, Jiayi Lu, Qiang Sun
    中国化学快报. 2024, 35(09): 109807. https://doi.org/10.1016/j.cclet.2024.109807
    摘要 ( ) PDF全文 ( ) HTML 可视化 收藏
    On-surface Ullmann-type reaction, or the dehalogenated coupling, is arguably the most pivotal reaction in on-surface synthesis for the fabrications of carbon nanostructures. Hitherto, the vast majority of works rely on activating the C-Br bond of aryl bromide which has a moderate bond dissociation energy. The C-Cl bond of aryl chloride has a higher dissociation energy and requires much higher thermal energy to break the bond. In this study, we have explored the on-surface photo-induced dechlorination and achieved the activation of three distinct aryl chlorines on the Au(111) surface with mild temperatures. This work enriches our understanding of on-surface photo-induced reactions and highlights the potential of photochemistry in realizing unconventional reactions.
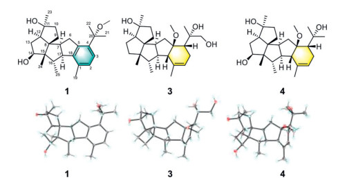
  • Aimin Fu, Chunmei Chen, Qin Li, Nanjin Ding, Jiaxin Dong, Yu Chen, Mengsha Wei, Weiguang Sun, Hucheng Zhu, Yonghui Zhang
    中国化学快报. 2024, 35(09): 109100. https://doi.org/10.1016/j.cclet.2023.109100
    摘要 ( ) PDF全文 ( ) HTML 可视化 收藏
    Niduenes A-F (1-6), six novel sesterterpenoids with unprecedented 5/5/5/5/6 pentacyclic ring skeleton were isolated from endophytic fungus Aspergillus nidulans. Compounds 1 and 2 represent the first examples of aromatic pentacyclic sesterterpenoids. Their structures and configurations were elucidated by spectroscopic data and single-crystal X-ray diffraction analyses. Compound 4 demonstrated potent resensitization of SW620/AD300 cells to paclitaxel (PTX). Rhodamine 123 accumulation assay and docking analysis further support that 4 inhibitory the efflux function of P-glycoprotein (P-gp).
  • Hong Zhang, Cui-Ping Li, Li-Li Wang, Zhuo-Da Zhou, Wen-Sen Li, Ling-Yi Kong, Ming-Hua Yang
    中国化学快报. 2024, 35(09): 109351. https://doi.org/10.1016/j.cclet.2023.109351
    摘要 ( ) PDF全文 ( ) HTML 可视化 收藏
    Two novel fungal metabolites, asperochones A and B, were obtained from an Aspergillus sp. Their structures were determined by 1D/2D nuclear magnetic resonance (NMR) spectroscopy, high resolution electrospray ionization mass spectroscopy (HRESIMS), and single-crystal X-ray diffraction analysis. Asperochone A possesses an intriguing skeleton bearing 5/6/6/6/7/5/5/5 octacyclic ring system, and asperochone B also exhibits an unusual carbon skeleton with five stereochiral centers. Their structures were proposed as heterotrimeric and heterodimeric products of aromatic polyketides. In addition, asperochone A exhibited a potential anti-tuberculosis effect since it showed a moderate potency against Mycobacterium smegmatis.
  • Qi Tan, Run-Zhu Fan, Wencong Yang, Ge Zou, Tao Chen, Jianying Wu, Bo Wang, Sheng Yin, Zhigang She
    中国化学快报. 2024, 35(09): 109390. https://doi.org/10.1016/j.cclet.2023.109390
    摘要 ( ) PDF全文 ( ) HTML 可视化 收藏
    (±)-Mycosphatide A (1a/1b), a pair of highly oxidized enantiomeric polyketides featuring a unique 5/5/6/5-fused tetracyclic ring system, were isolated from the mangrove endophytic fungus Mycosphaerella sp. SYSU-DZG01. Their structures were established by extensive spectroscopic analyses, single crystal X-ray diffraction, and experimental electronic circular dichroism (ECD) spectra comparison. The plausible biosynthetic pathway of 1 was proposed, which involved the generation of a key spiro[4.5]decane scaffold. Compounds (+)-1a and (-)-1b exhibited significant lipid-lowering activity in 3T3-L1 adipocytes model, with EC50 values of 7.85±1.56 and 8.87±0.80μmol/L, respectively.
  • Menglu Guo, Ying-Qi Song, Junfei Cheng, Guoqiang Dong, Xun Sun, Chunquan Sheng
    中国化学快报. 2024, 35(09): 109392. https://doi.org/10.1016/j.cclet.2023.109392
    摘要 ( ) PDF全文 ( ) HTML 可视化 收藏
    Nicotinamide phosphoribosyl transferase (NAMPT) is considered as a promising target for cancer therapy to its crucial role in cancer metabolism. Despite the therapeutic potential of NAMPT enzymatic inhibitors, their effectiveness is limited by dose-related toxicity and the inability to suppress nonenzymatic functions of extracellular NAMPT (eNAMPT). Herein, we designed and synthesized the first hydrophobic tagging NAMPT degraders. Among them, compound NH-11 selectively degraded NAMPT in leukemia cells through the ubiquitin-proteasome system. Compound NH-11 effectively induced apoptosis and showed low toxicity to normal cells, representing a promising anti-leukemia lead compound.
  • Yan Liu, Yang Wang, Jiayi Zhu, Xuxian Su, Xudong Lin, Liang Xu, Xiwen Xing
    中国化学快报. 2024, 35(09): 109427. https://doi.org/10.1016/j.cclet.2023.109427
    摘要 ( ) PDF全文 ( ) HTML 可视化 收藏
    The clustered regularly interspersed short palindromic repeats/CRISPR-associated protein 9 (CRISPR/Cas9) system is an RNA-guided platform for highly efficient and specific genome targeting in diverse organisms, which has been exploited for various applications in gene manipulation. Compared with the constantly active CRISPR/Cas9 function, conditional control of its activity can improve the performance of the system with reduced side effects and high spatiotemporal precision. The pH-responsive triplex RNA was successful used in CRISPR-derived RNA/trans-activating crRNA (crRNA/tracrRNA) of CRISPR/Cas9, thus affecting RNA/dead Cas9 (dCas9) complex to target DNA in vitro and in vivo. This design of triplex RNA opens a new window towards the broad involvement of eukaryotic cells for conditional control of CRISPR/Cas9 function.
  • Gongcheng Ma, Qihang Ding, Yuding Zhang, Yue Wang, Jingjing Xiang, Mingle Li, Qi Zhao, Saipeng Huang, Ping Gong, Jong Seung Kim
    中国化学快报. 2024, 35(09): 109293. https://doi.org/10.1016/j.cclet.2023.109293
    摘要 ( ) PDF全文 ( ) HTML 可视化 收藏
    Carbon monoxide (CO) is a vital intracellular gas messenger known for its cytoprotective and homeostatic properties. It plays a pivotal role in a myriad of biological processes. Therefore, the precise detection of CO is of paramount importance in unraveling the intricacies of pathological mechanisms and advancing the development of disease diagnosis. We herein introduce NFCOP, a state-of-the-art near-infrared (NIR) turn-on fluorescence (FL) probe that has been meticulously designed for highly sensitive, swift and selective imaging of CO. The NFCOP response occurred rapidly with CO, within just 10s, and the calculated detection limit for CO was determined to be 0.32 μmol/L. Further investigations conducted at the cellular level and in vivo demonstrated that NFCOP possesses high sensitivity and selectivity for imaging CO.
  • Jun-Ting Mo, Zheng Wang
    中国化学快报. 2024, 35(09): 109360. https://doi.org/10.1016/j.cclet.2023.109360
    摘要 ( ) PDF全文 ( ) HTML 可视化 收藏
    The research of long persistent luminescence (LPL) materials has yield brilliant results in many fields. However, the efforts are still needed for the regulation of the LPL performance. In this work, a series of LPL metal organic halides with rich halogen-bond interactions, Py-CdX2 (X=Cl, Br, I) were synthesized through self-assembly by CdX2 and pyridine solvent. The steady-state emission redshifted and phosphorescence lifetime declined as the halogen atoms are aggravated. Three halides exhibit adjustable emission from blue to green and multiple phosphorescence from green to yellow at room temperature by changing the excitation wavelengths. Surprisingly, Py-CdX2 can emit the visible color-tunable LPL from green to yellow after removing different excitation sources at ambient conditions. Combing the results of theoretical calculation and experimental analysis, it is found that heavy atom effect and the rich intermolecular halogen bond help realize LPL and multiple triplet states originated from the pyridine ring and the halogens.
  • Yiqiao Chen, Ao Liu, Biwen Yang, Zhenzhen Li, Binggang Ye, Zhouyi Guo, Zhiming Liu, Haolin Chen
    中国化学快报. 2024, 35(09): 109295. https://doi.org/10.1016/j.cclet.2023.109295
    摘要 ( ) PDF全文 ( ) HTML 可视化 收藏
    Theranostic carbon dots (CDs) have attracted widespread attention recently due to their tunable optical properties and diverse bioactivities. Beyond fluorescent imaging application, the photothermal property endows CDs with the potential for microbial inactivation. However, realization of the effective conversion between fluorescence and heat in one CD system has rarely been reported. Herein, we provide a simple strategy for targeted microbial theranostics based on 4-carboxyphenylboronic acid-derived CDs (PCBA-CDs) which possess concentration-dependent photoluminescence/photothermal features. At lower concentrations, PCBA-CDs show bright and stable fluorescent signals ranging from blue to green. The fluorescence intensity gradually decreases with increasing concentration, while on the contrary, the photothermal effect of PCBA-CDs ascends progressively due to the rearrangement of electronic transitions in aggregated CDs. PCBA-CDs also demonstrate high affinity to the polysaccharide structures on the surface of microbe which allows rapid microbial fluorescence imaging as well as specific photothermal ablation of pathogens in skin wounds using PCBA-CDs at lower and higher concentrations, respectively. This study supplies a facile nanotheranostic strategy for just-in-time microbial management using bioactive CDs.
  • Bohan Zhang, Bingzhe Wang, Guichuan Xing, Zikang Tang, Songnan Qu
    中国化学快报. 2024, 35(09): 109358. https://doi.org/10.1016/j.cclet.2023.109358
    摘要 ( ) PDF全文 ( ) HTML 可视化 收藏
    Understanding the luminescence mechanisms and regulating the emission centers of carbon dots (CDs) are important for advancing their related applications. In this work, we systematically investigate the formation processes of multi-emission centers in CDs synthesized through a bottom-up approach by controlling the solvothermal reaction temperature. CDs synthesized at a lower temperature (140 ℃, 140-CDs) exhibit smaller particle sizes (3-4nm) with dominant green-yellow emission, while CDs synthesized at a higher temperature (180 ℃, 180-CDs) exhibit larger particle sizes (8-9nm) with enhanced red emission and emerging near-infrared (NIR) emission. The green-yellow emission and red emission originate from the core state and the surface-related state, respectively, and the emissions could be regulated by temperature-controlled dehydration and carbonization processes. The clear NIR emission center in 180-CDs is attributable to the increased content of radical defects in the cores during the increased dehydration and carbonization processes during higher-temperature solvothermal treatment.
  • Ji Liu, Dongsheng He, Tianjiao Hao, Yumin Hu, Yan Zhao, Zhen Li, Chang Liu, Daquan Chen, Qiyue Wang, Xiaofei Xin, Yan Shen
    中国化学快报. 2024, 35(09): 109296. https://doi.org/10.1016/j.cclet.2023.109296
    摘要 ( ) PDF全文 ( ) HTML 可视化 收藏
    Lung cancer is one of the most common malignant tumors with the fastest increase in the incidence rate and mortality. Even after maximum tumor resection assistance with a radiotherapy and chemotherapy combination, the recurrence of non-small cell lung cancer is still inevitable. In addition, low targeting efficiency and poor permeability of drug delivery systems strongly affect the therapeutic efficiency of anti-cancer drugs on non-small cell lung cancer. Here we designed a gemcitabine (GEM) loaded arginine-glycine-aspartic acid-cysteine (RGDc)-modified gold mineralization “hybrid nanozyme bomb” (RGTG) to overcome those obstacles. RGDc modification improved the active targeting of liposomes to the tumor tissues with the second near-infrared (NIR-II)-triggered gold-shell disruption and GEM release. The collapsed gold-shell particles with a smaller size could penetrate the tumor solid barrier and act as photothermal therapy (PTT) agents to improve PTT therapy and starvation therapy via generating gluconic acid and reactive oxygen species (ROS). Moreover, the resting reversal effect of gold particles on tumor fibroblasts can achieve accelerating tumor penetration of gold particles and GEM. Compared to monotherapy, RGTG showed significant improvement in tumor inhibition, with a tumor volume reduction of 83% compared to the control group, which provides a promising tumor treatment platform for non-small cell lung cancer (NSCLC).
  • Neng Shi, Haonan Jia, Jixiang Zhang, Pengyu Lu, Chenglong Cai, Yixin Zhang, Liqiang Zhang, Nongyue He, Weiran Zhu, Yan Cai, Zhangqi Feng, Ting Wang
    中国化学快报. 2024, 35(09): 109302. https://doi.org/10.1016/j.cclet.2023.109302
    摘要 ( ) PDF全文 ( ) HTML 可视化 收藏
    The development of high-precision sensors using flexible piezoelectric materials has the advantages of high sensitivity, high stability, good durability, and lightweight. The main problem with sensing equipment is low sensitivity, which is due to the mismatch between materials and analysis methods, resulting in the inability to effectively eliminate noise. To address this issue, we developed the denoising analysis method to motion signals captured by a flexible piezoelectric sensor fabricated from poly(l-lactic acid) (PLLA) and polydimethylsiloxane (PDMS) materials. Experimental results demonstrate that this improved denoising method effectively removes noise components from neck muscle motion signals, thus obtaining high-quality, low-noise motion signal waveforms. Wavelet decomposition and reconstruction is a signal processing technique that involves decomposing a signal into different scales and frequency components using wavelets and then selectively reconstructing the signal to emphasize specific features or eliminate noise. The study employed the sym8 wavelet basis for wavelet decomposition and reconstruction. In the denoised signals, a high degree of stability and periodic peaks are distinctly manifested, while amplitude and frequency differences among different types of movements also become noticeably visible. As a result of this study, we are enabled to accurately analyze subtle variations in neck muscle motion signals, such as nodding, shaking the head, neck lateral flexion, and neck circles. Through temporal and frequency domain analysis of denoised motion signals, differentiation among various motion states can be achieved. Overall, this improved analytical approach holds broad application prospects across various types of piezoelectric sensors, such as healthcare monitoring, sports biomechanics.
  • Jingwen Zhao, Jianpu Tang, Zhen Cui, Limin Liu, Dayong Yang, Chi Yao
    中国化学快报. 2024, 35(09): 109303. https://doi.org/10.1016/j.cclet.2023.109303
    摘要 ( ) PDF全文 ( ) HTML 可视化 收藏
    Exosomes (EXOs) have showed great potential in regenerative medicine. The separation of EXOs from complex biological media is essential for the down-stream applications. Herein, we report a deoxyribonucleic acid (DNA)-based micro-complex (DMC) containing polyaptamers, which realized the specific separation of EXOs from cell culture media and the significant promotion of wound healing. The synthesis of DMCs was based on a biomineralization process via rolling circle amplification (RCA) under the catalysis of phi29 DNA polymerase. To endow DMCs with the ability to capture EXOs, the DNA template of RCA was integrated with complementary sequence of aptamer that specifically recognized the CD63 proteins on EXOs. The obtained DMCs contained polyaptamers that can specifically capture the EXOs in cell culture media. The EXOs-capturing DMCs were collected by centrifugation, achieving the separation of EXOs. Mesenchymal stem cell (MSC)-derived EXOs (MSC-EXOs) were separated by this DMC-based strategy, and the separated MSC-EXOs significantly enhanced the migration ability of cells. In particular, the significant therapeutic efficacy of the DMCs with MSC-EXOs was verified in full-thickness wound excision mouse models, in which the wounds completely healed in 10 days. We envision that this DMC-based separation strategy can be a promising route to promote the development of EXOs in biomedicine.
  • Yanqi Wu, Yuhong Guan, Peilin Huang, Hui Chen, Liping Bai, Zhihong Jiang
    中国化学快报. 2024, 35(09): 109308. https://doi.org/10.1016/j.cclet.2023.109308
    摘要 ( ) PDF全文 ( ) HTML 可视化 收藏
    Norovirus is an infectious disease that can cause non-bacterial gastroenteritis, which has a low infectious dose, rapid onset, and strong transmission ability; therefore, rapid and sensitive detection is essential to reduce the transmission of gastroenteritis. In the study, a norovirus GII loop-mediated isothermal amplification assay was developed and prepared into freeze-drying microspheres, and a closed-cassette-based, integrated, reagent-ambient storage, on-site instant detection platform for norovirus GII was constructed using a commercial, fully automated nucleic acid analyzer with integrated magnetic bearing based nuclear acid extraction and nucleic acid detection, with a sensitivity of 10 copies/μL, with no cross-reactivity with other 5 viruses. For 28 simulated samples, the integrated assay platform was consistent with the experimental results of reverse transcription-quantitative polymerase chain reaction (RT-qPCR) assays after conventional laboratory nucleic acid extraction. The entire process can be finished in about 1h, which is ideal for immediate rapid detection.
  • Ying Xu, Chengying Shen, Hailong Yuan, Wei Wu
    中国化学快报. 2024, 35(09): 109324. https://doi.org/10.1016/j.cclet.2023.109324
    摘要 ( ) PDF全文 ( ) HTML 可视化 收藏
    The microphases and miscibility in binary curcumin (Cur) solid dispersions (SDs) with amorphous polyvinylpyrrolidone K30 (PVP K30) and semi-crystalline poloxamer (P407) and poly(ethylene glycol) 6000 (PEG6000) as carriers were investigated by fluorescence contrasting utilizing confocal laser scanning microscopy. A super sensitive fluorophore P4 with typical aggregation-caused quenching properties was employed to stain the continuous polymer phases and contrasted with the autofluorescence of the model drug Cur. In addition, differential scanning calorimetry (DSC) and powder X-ray diffraction (PXRD) were utilized to assist in explanation of the fluorescence results. In all three SD systems, there is always a homogenous polymer phase stained by P4 and it is difficult to adulterate Cur crystals by P4. Cur-enriched rather than polymer-enriched domains could be detected. In the Cur-PVP K30 system, Cur exists in an amorphous form at a Cur loading level of 50% and below, while Cur crystallines phase out and continuously grow with the increase of Cur loading from 60% to 90%. The phase behaviors in the Cur-P407 and Cur-PEG 6000 systems are similar but with minor differences. In both systems, Cur phases out as clusters of drug-enriched domains at a loading level of 20% and below, which however cannot be correlated with crystallization, as evidenced by both DSC and PXRD. There is a transition from an amorphous to a crystalline state from 20% to 30% Cur loading, above which Cur crystallines can be detected. It is interesting that a co-mix phase of both Cur- and PEG 6000-enriched domains can be identified at Cur loading levels of 10% and less. Taking together, it is concluded that contrasting Cur autofluorescence with the signals of P4 proves to be a functional strategy to reveal multiple phases in the binary SD systems investigated.
  • Lishan Xiong, Xinyuan Li, Xiaojie Lu, Zhendong Zhang, Yan Zhang, Wen Wu, Chenhui Wang
    中国化学快报. 2024, 35(09): 109384. https://doi.org/10.1016/j.cclet.2023.109384
    摘要 ( ) PDF全文 ( ) HTML 可视化 收藏
    Dry powder inhalation represents a promising approach for the treatment of lung cancer, offering several advantages such as enhanced targeting, improved bioavailability, and reduced toxicity. However, traditional dry powder formulations suffer from limitations, notably low pulmonary delivery efficiency and inadequate penetration into tumor tissues, thereby limiting their therapeutic efficacy. In response to these challenges, we have developed an innovative trojan horse strategy, harnessing an inhalable nanoparticle-in-microsphere system characterized by tunable size, reversible charge, and mucus-penetrating capabilities. The inhalable nanoparticle-in-microsphere system exhibit stable structural properties, excellent environmental responsiveness and high biocompatibility. More importantly, the therapeutic effect of MTX@PAMAM@HA@Gel (MPHG) was demonstrated in vitro and in vivo. This system offers improved pulmonary delivery efficiency, enhanced drug retention within tumor tissues, and effective penetration, thus representing a promising strategy in lung cancer treatment.
  • Erzhuo Cheng, Yunyi Li, Wei Yuan, Wei Gong, Yanjun Cai, Yuan Gu, Yong Jiang, Yu Chen, Jingxi Zhang, Guangquan Mo, Bin Yang
    中国化学快报. 2024, 35(09): 109386. https://doi.org/10.1016/j.cclet.2023.109386
    摘要 ( ) PDF全文 ( ) HTML 可视化 收藏
    Recently, the composite of soft conductive substrates, such as carbon fiber (CF), with metal-organic frameworks (MOFs) has been employed in a myriad of applications. The composite material has demonstrated exceptional potential in the realm of electrochemical sensing platforms. However, the rapid growth of MOFs on the surface of CF remains a challenge. Herein, we propose a simple galvanostatic method as an effective strategy for rapidly growing zeolitic imidazolate frameworks (ZIFs) on CF, and obtain nano-caltrop-like ZIFs modified CF (NC-ZIFs/CF) glucose (Glu) sensor platform with distinctive morphology. The prepared NC-ZIFs/CF demonstrated significant electrocatalytic activity towards the oxidation of Glu in alkaline media, characterized by a pronounced augmentation in oxidation current density. At an applied potential of 0.4 V, NC-ZIFs/CF exhibited a remarkably broad detection range (3-30,000 μmol/L) and demonstrated outstanding selectivity, repeatability and reproducibility. Additionally, the NC-ZIFs/CF was efficaciously employed for the detection of blood Glu levels in the serum of both normoglycemic and hyperglycemic patients, obtaining highly reliable results. This work demonstrates the feasibility of using galvanostatic method assembly to induce the growth of MOFs on conductive substrates, providing new ideas for electrocatalysis sensors and other electrochemical applications.
  • Yanjing Li, Jiayin Li, Yuqi Chang, Yunfeng Lin, Lei Sui
    中国化学快报. 2024, 35(09): 109414. https://doi.org/10.1016/j.cclet.2023.109414
    摘要 ( ) PDF全文 ( ) HTML 可视化 收藏
    Diabetes mellitus considerably affects bone marrow mesenchymal stem cells (BMSCs), for example, by inhibiting their proliferation and differentiation potential, which enhances the difficulty in endogenous bone regeneration. Hence, effective strategies for enhancing the functions of BMSCs in diabetes have far-reaching consequences for bone healing and regeneration in diabetes patients. Tetrahedral framework nucleic acids (tFNAs) are nucleic acid nanomaterials that can autonomously enter cells and regulate their behaviors. In this study, we evaluated the effects of tFNAs on BMSCs from diabetic rats. We found that tFNAs could promote the proliferation, migration, and osteogenic differentiation of BMSCs from rats with type 2 diabetes mellitus, and inhibited cell senescence and apoptosis. Furthermore, tFNAs effectively scavenged the accumulated reactive oxygen species and activated the suppressed protein kinase B (Akt) signaling pathway. Overall, we show that tFNAs can recover the proliferation and osteogenic potential of diabetic BMSCs by alleviating oxidative stress and activating Akt signaling. The study provides a strategy for endogenous bone regeneration in diabetes and also paves the way for exploiting DNA-based nanomaterials in regenerative medicine.
  • Weijian Zhang, Xianyu Deng, Liying Wang, Jian Wang, Xiuting Guo, Lianggui Huang, Xinyi Wang, Jun Wu, Linjia Jiang
    中国化学快报. 2024, 35(09): 109422. https://doi.org/10.1016/j.cclet.2023.109422
    摘要 ( ) PDF全文 ( ) HTML 可视化 收藏
    Macrophages, as a subset of innate immune cells, play a pivotal role in the initiation, maintenance, and resolution of inflammatory responses during tissue damage repair, defense against infections, and tumor progression. However, the mechanisms by which macrophages regulate inflammation in acute myeloid leukemia (AML) and their involvement in the chemotherapeutic effect remain elusive. In this study, we have identified that AML cells stimulate macrophage expansion by activating the colony-stimulating factor 1 receptor (CSF1R) pathway. The expanded macrophages activate nuclear factor kappa-B (NFκB) to induce the expression of inflammatory factors, thereby maintaining leukemic cell quiescence and promoting cell survival following chemotherapy. Furthermore, we have successfully utilized a poly(ferulic acid) nanocarrier to selectively target macrophages for inhibiting the NFκB-mediated inflammation, ultimately enhancing chemotherapy efficacy against AML. Taken together, our findings highlight the crucial role of macrophage-induced inflammation in conferring chemoresistance to AML, and demonstrate the potential of a targeted nanocarrier specifically designed for inflammatory macrophages to improve the AML chemotherapeutic outcomes.
  • Jinyu Guo, Yandai Lin, Shaohua He, Yueqing Chen, Fenglu Li, Renjie Ruan, Gaoxing Pan, Hexin Nan, Jibin Song, Jin Zhang
    中国化学快报. 2024, 35(09): 109537. https://doi.org/10.1016/j.cclet.2024.109537
    摘要 ( ) PDF全文 ( ) HTML 可视化 收藏
    Stimuli-triggered release and alleviating resistance of iridium(III)-based drugs at tumor sites remains challengeable for clinical hepatoma therapy. Herein, a doxorubicin@iridium-transferrin (DOX@Ir-TF) nanovesicle was synthesized by carboxylated-transferrin (TF) and doxorubicin-loaded amphiphilic iridium-amino with quaternary ammonium (QA) groups and disulfide bonds. The QA groups enhanced photophysical properties and broadened production capacity of photoinduced-reactive oxygen species (ROS), while the disulfide-bridged bonds regulated oxidative stress levels through reacting with glutathione (GSH); simultaneously, modification of TF improved recognition and endocytosis of the nanovesicle for tumor cells. Based on in-vitro results, a controlled-release behavior of DOX upon a dual-responsiveness of GSH and near-infrared ray (NIR) irradiation was presented, along with high-efficiency generation of ROS. After an intravenous injection, the nanovesicle was targeted at tumor sites, realizing TF-navigated photoacoustic imaging guidance and synergistic chemotherapy-photodynamic therapy under NIR/GSH stimulations. Overall, newly-synthesized DOX@Ir-TF nanovesicle provided a potential in subcutaneous hepatocellular carcinoma therapy due to integrations of targeting delivery, dual-stimuli responsive release, synergistic therapy strategy, and real-time monitoring.
  • Jisheng Liu, Junli Chen, Xifeng Zhang, Yin Wu, Xin Qi, Jie Wang, Xiang Gao
    中国化学快报. 2024, 35(09): 109779. https://doi.org/10.1016/j.cclet.2024.109779
    摘要 ( ) PDF全文 ( ) HTML 可视化 收藏
    FMS-like tyrosine kinase 3 (FLT3) is a viable and important therapeutic target for acute myeloid leukemia (AML). FLT3 internal tandem duplication (FLT3-ITD) mutations have been identified in approximately 30% of AML patients, and are associated with unfavorable prognosis, higher risk of relapse, drug resistance, and poor clinical outcome. Even FLT3 inhibitors have demonstrated promising efficacy, they cannot cure AML or even significantly extend the lives of patients with FLT3-ITD mutations. This is partly because of poor water solubility, insufficient membrane penetration and short half-life of small molecule inhibitors. Besides, the presence of enzymes like CYP3A4 in bone marrow accelerate the elimination and metabolism of FLT3 inhibitors, resulting in low plasma concentrations and side effects. Here we report the erythrocyte membrane-camouflaged FLT3 inhibitor nanoparticles to enhance FLT3-ITD AML treatment. Briefly, we physically coextruded red blood cell (RBC) membrane vesicles with nanoparticles derived from FLT3 inhibitor F30 to obtain F30@RBC-M, which exhibited comparable potent FLT3-ITD inhibitory effects compared to free F30 in vitro, while displaying a higher potent antitumor efficacy in xenograft models due to the prolonged circulation properties. Furthermore, administration of F30@RBC-M significantly extended the survival of mice in a transplanted mouse model than F30 free drug. These findings suggest that RBC membrane-coated nanoparticles derived from FLT3 inhibitors hold promise as a tool to enhance the therapeutic efficacy to treat FLT3-ITD AML.
  • Weichen Zhu, Wei Zuo, Pu Wang, Wei Zhan, Jun Zhang, Lipin Li, Yu Tian, Hong Qi, Rui Huang
    中国化学快报. 2024, 35(09): 109341. https://doi.org/10.1016/j.cclet.2023.109341
    摘要 ( ) PDF全文 ( ) HTML 可视化 收藏
    Fe-N-C materials have received increasing attention, due to its distinctive catalytic activity. However, the Fe-N coordination number dependence of catalytic ability and mechanism for H2O2 activation remain elusive. Herein, a series of Fe-N-C heterogeneous Fenton-like catalysts with different Fe-N coordination number were prepared for tetracycline degradation. The results demonstrated that samples with Fe-N4 structure exhibited high activity. The excellent performance was mainly ascribed to the high adsorption capacity and the formation of superoxide radicals (·O2-) catalyzed by Fe linked to pyridinic nitrogen. The intermediates and degradation pathways of tetracycline degradation by Fe-N-C/H2O2 system were analyzed by liquid chromatography coupled to tandem mass spectrometry (LC-MS/MS). Furthermore, we applied our Fe-N-C catalysts to treat simulated pharmaceutical wastewater with high tetracycline degradation capacity despite high concentrations of organic matter such as oxalic acid and various ionic interferences. Our work reveals the dependence of the activation H2O2 on the Fe-N coordination environment and the degradation mechanism of these catalysts. It provides insights into the prospects for tuning the catalyst in practical applications.
  • Lingna Wang, Chenxin Tian, Ruobin Dai, Zhiwei Wang
    中国化学快报. 2024, 35(09): 109356. https://doi.org/10.1016/j.cclet.2023.109356
    摘要 ( ) PDF全文 ( ) HTML 可视化 收藏
    Membrane will inevitably reach the end of its lifespan due to the irrecoverable fouling accumulation in membrane bioreactors (MBRs) during long-term operation. Herein, we developed an eco-friendly membrane regeneration strategy with triethyl phosphate (TEP), which successfully prolonged the lifespan of end-of-life (EOL) polyvinylidene fluoride (PVDF) membranes in a large-scale MBR. The regenerated (Rg) membrane exhibited a water permeance of 534.8±45.7L m-2 h-1 bar-1, along with stable rejection rate, which was comparable with that of the new membrane. Furthermore, compared to the membrane subjected solely to preliminary cleaning, the Rg membrane presented a more hydrophilic surface due to the combination of preliminary cleaning and solvent-based processing. Besides, the Rg membrane presented less fouling propensity with the critical flux of 15.2L m-2 h-1, significantly higher than that of the EOL membrane (4.0L m-2 h-1). Importantly, the membrane regeneration strategy was capable of guaranteeing the effluent quality in MBR systems for treating real municipal wastewater. This study provides an eco-friendly membrane regeneration strategy for effectively removing the irrecoverable foulants, thereby promoting the advancement of sustainable membrane-based wastewater treatment technology.
  • Pengcheng Su, Shizheng Chen, Zhihong Yang, Ningning Zhong, Chenzi Jiang, Wanbin Li
    中国化学快报. 2024, 35(09): 109357. https://doi.org/10.1016/j.cclet.2023.109357
    摘要 ( ) PDF全文 ( ) HTML 可视化 收藏
    Hypercrosslinked polymers (HCPs) with large surface areas, high intrinsic porosities and low production costs may be available platforms for iodine capture. However, the lack of iodine-philicity binding sites limits their adsorption capacity. Here we use vapor-phase postsynthetic amination strategy to introduce electron-donating amino groups into the prefabricated HCPs for enhancing their iodine capture performance. Through simple vapor-phase exposure, the halogen-containing HCPs can be grafted by amines through nucleophilic substitution toward chloro groups. Combining with the abundant amino groups and high porosities, the amino-functionalized porous polymers show substantially increased iodine adsorption capacity, about 221% as that of original one, accompanied by excellent recyclability. Mechanism investigations reveal the key roles of the electron-donor amino groups and π-conjugated benzene rings along with structure characteristics of porous polymer frameworks in iodine capture. Moreover, this vapor-phase amination strategy shows good generality and can be extended to various amines, e.g., ethylenediamine, 1,3-diaminopropane and diethylenetriamine. Our work proves that this simple vapor-phase postsynthetic functionalization strategy may be applied in other porous polymers with wide application prospects in adsorption, separation and storage.
  • Jinjie Lu, Qikai Liu, Yuting Zhang, Yi Zhou, Yanbo Zhou
    中国化学快报. 2024, 35(09): 109406. https://doi.org/10.1016/j.cclet.2023.109406
    摘要 ( ) PDF全文 ( ) HTML 可视化 收藏
    Microbial contamination in water has emerged as a critical concern and thus developing biocide materials for controlling microbial contamination is crucial. Removing all pathogenic bacteria in water is difficult when using traditional water treatment technologies. Moreover, these bacteria can easily reproduce during pipeline distribution. In this work, a facile and effective chitosan derivative biocide denoted as PCC was developed by grafting with quaternary phosphonium salt (QPS). PCC became positively charged with a wide range of pH and demonstrated antibacterial activity up to 95% and 100% against Escherichia coli and Staphylococcus aureus as model pathogens, respectively. The grafting of QPS may disrupt the cell membrane and lead to bacterial inactivation, as demonstrated by the scanning electron microscopy image and the concentration of intracellular substance leakage. MTT assay results indicate that PCC achieved good biocompatibility with negligible in vitro cytotoxicity. These findings introduce a promising approach for bacterial decontamination due to its low cytotoxicity and high biocidal activity.
  • Ruonan Guo, Heng Zhang, Changsheng Guo, Ningqing Lv, Beidou Xi, Jian Xu
    中国化学快报. 2024, 35(09): 109413. https://doi.org/10.1016/j.cclet.2023.109413
    摘要 ( ) PDF全文 ( ) HTML 可视化 收藏
    The elimination of neonicotinoids (NEOs) from water has been a research priority due to their threats to human health and ecosystems. In this study, we established the heterogeneous peroxymonosulfate (PMS) activation system using manganese catalyst (Mn NC) and cobalt catalyst (Co NC) to trigger the nonradical oxidation and synergistic oxidation pathway, respectively to remove NEOs. The results showed that the nonradical oxidation system exhibited superior NEOs degradation capability. The composition of organic pollutants in wastewater significantly impacted subsequent degradation processes. The charge distribution and reaction sites of various NEOs were analyzed using density functional theory (DFT) calculations, and it demonstrated the electron distribution and activity of NEOs were significantly influenced by the type and number of substituents. Nitro group (-NO2) and cyanide group (-C≡N) were identified as strong electron-withdrawing groups and prone to be attacked by negatively charged radicals. The transformation of NEOs was analyzed, and result showed that the C and N sites adjacent to the nitro group and cyanide group were more susceptible to oxidation attacks. S and N atoms, which possess strong electronegativity and high electron cloud density, were identified as key active sites in the degradation pathway. The outcomes of this study provide valuable guidance for the oriented regulation of oxidation pathways towards efficient removal of NEOs in water.
  • Changzhu Huang, Wei Dai, Shimao Deng, Yixin Tian, Xiaolin Liu, Jia Lin, Hong Chen
    中国化学快报. 2024, 35(09): 109429. https://doi.org/10.1016/j.cclet.2023.109429
    摘要 ( ) PDF全文 ( ) HTML 可视化 收藏
    Formaldehyde (HCHO) as an indoor air pollutant released by new furniture and decorative materials is of great concern. Developing a self-cleaning device to remove HCHO is an ideal way to improve indoor air quality. In this study, a self-cleaning window with a multilayered structure constructed from fluorine-doped tin oxide/bismuth tungstate/resorcinol-formaldehyde resin (FTO/Bi2WO6/RF) has been fabricated, which is capable of degrading HCHO in natural indoor condition. The as-fabricated device could utilize the natural room light and promote the generation and transfer of the photocatalytic carriers in Bi2WO6, which subsequently delivers a good catalytic oxygen reduction efficiency in RF to produce hydrogen peroxide (H2O2). The as-synthesized H2O2 could further split into hydroxyl radicals (·OH), then oxide the HCHO molecules in the air. The present study demonstrates a novel and efficient strategy to fabricate a transparent multifunctional window for self-cleaning indoor gaseous pollutants, the concept is of great importance to be expanded in a broad range of indoor furniture for in-house air pollution control.
  • Dan-Ying Xing, Xiao-Dan Zhao, Chuan-Shu He, Bo Lai
    中国化学快报. 2024, 35(09): 109436. https://doi.org/10.1016/j.cclet.2023.109436
    摘要 ( ) PDF全文 ( ) HTML 可视化 收藏
    Water contamination by tetracycline (TC) has emerged as an environmental concern owing to its widespread use and antibiotic resistance. Application of peracetic acid (PAA) in the water and wastewater treatment has recently been proposed and demonstrated to be effective for TC abatement, yet the underlying reaction kinetics between the PAA and TC are not yet clear. To explore the reaction kinetics, the effect of solution pH on TC abatement by PAA is studied and the species-specific rate constants are calculated. The ability to donate and accept electrons for different species of TC and PAA is evaluated via density functional theory (DFT) calculations. The pH-dependent apparent second-order rate constants of TC abatement by PAA exhibits the parabolic shape with the maximum at pH 8.5 (9.75L mol-1 s-1). This phenomenon is closely related to the speciation of TC and PAA, in which the reaction between PAAH and TTC2- possesses the highest species-specific rate constants according to the kinetic simulation. Further DFT calculations suggest that the HOMO of TTCH+, TTC, TTC-, TTC2- and the LUMO of PAAH and PAA- are -6.40, -6.26, -5.10, -4.94eV and -0.24, 0.60eV, respectively. According to the DFT calculations, deprotonation of TC and PAA leads to an increase of the HOMO value of TC and the LUMO value of PAA. Furthermore, the HOMOTC-LUMOPAA values is in good agreement with the trend of species-specific rate constants, which can be used to evaluate the reactivity between PAA and TC with different species. This study provides the kinetic data and theoretical basis for the reaction of PAA and TC, which is critical for the application of PAA in the treatment of water and wastewater.
  • Yun-Xin Huang, Lin-Qian Yu, Ke-Yu Chen, Hao Wang, Shou-Yan Zhao, Bao-Cheng Huang, Ren-Cun Jin
    中国化学快报. 2024, 35(09): 109437. https://doi.org/10.1016/j.cclet.2023.109437
    摘要 ( ) PDF全文 ( ) HTML 可视化 收藏
    Environmental endocrine disruptors, represented by bisphenol A (BPA), have been widely detected in the environment, bringing potential health risks to human beings. Nitrogen-containing biocarbon catalyst can activate peroxymonosulfate (PMS) to degrade BPA in water, but its active sites remain opaque. Herein, in this work, nitrogen-containing biochar, i.e., C-Nedge, enriched with graphitic-N defects at the edges was prepared by one-pot co-pyrolysis of chitosan and potassium carbonate. The results showed that the C-Nedge/PMS system can effectively degrade 98% of BPA (50 mg/L). The electron transfer based non-radical oxidation mechanism was responsible for BPA degradation. Edge graphitic-N doping endows biochar with strong electron transfer ability. The catalyst had good recovery and reuse performance. This catalytic oxidation was also feasible for other refractory pollutants removal and worked well for treating practical wastewater. This work may provide valuable information in unraveling the N doping configuration-activity relationship during activating PMS by biochar.
  • Yuhao Ma, Yufei Zhou, Mingchuan Yu, Cheng Fang, Shaoxia Yang, Junfeng Niu
    中国化学快报. 2024, 35(09): 109453. https://doi.org/10.1016/j.cclet.2023.109453
    摘要 ( ) PDF全文 ( ) HTML 可视化 收藏
    Covalently bonded bridging between different semiconductors is a remarkable approach to improve the transfer of charge carriers at interfaces. In this study, we designed a ternary heterojunction (MBG) combining of molybdenum diselenide (MoSe2), black phosphorus nanosheets (Bpn) and graphitic carbon nitride (GCN). Among this MBG of MoSe2/Bpn/GCN, (i) the covalently bonded bridging effect between Bpn/GCN facilitates directional charge carrier transfer, meanwhile (ii) a Z-scheme heterojunction is formed between MoSe2/GCN to enhance the separation of photogenerated carriers. Furthermore, (iii) this composite exhibits an increased absorption for visible light. Using this MBG, photocatalytic degradation of over 98% of moxifloxacin is achieved within 20min, with O2·- confirmed as the primary photocatalytic active species. These findings provide novel insights into the construction of efficient heterojunction by covalently bonded bridging.
  • Qian-Qian Tang, Li-Fang Feng, Zhi-Peng Li, Shi-Hao Wu, Long-Shuai Zhang, Qing Sun, Mei-Feng Wu, Jian-Ping Zou
    中国化学快报. 2024, 35(09): 109454. https://doi.org/10.1016/j.cclet.2023.109454
    摘要 ( ) PDF全文 ( ) HTML 可视化 收藏
    Nitrogen-doped carbon loaded single-atom catalysts (SACs) are promising candidates for electrocatalytic conversion of CO2 into high-valuable chemicals, and the modification of catalysts by heteroatom-doping strategy is an effective approach to enhance the CO2 reduction performance. However, the large difference exists in atomic radius between nitrogen atoms and the doped heteroatoms may lead to the poor stability of active sites. In this study, we have synthesized a Ni single atom catalyst with S doping at the second-shell on the ultrathin carbon nanosheets support (Ni-N4-SC) by solid-phase pyrolysis. The S atom in the second-shell contributes to the higher efficiency of CO2 conversion at lower potentials while the Ni-N4-SC can be more stable. The experimental results and theoretical calculations indicate that the S atom in second-shell breaks the uniform charge distribution and reduces the free energy of hydrogenation, which can increase the adsorption of CO2, accelerate charge transfer, and reduce the reaction energy barrier. This work reveals the close relationship between the second-shell and the electrocatalytic activity of single atom sites, which also provides a new perspective to design efficient single atom catalysts.
  • Xingyan Liu, Chaogang Jia, Guangmei Jiang, Chenghua Zhang, Mingzuo Chen, Xiaofei Zhao, Xiaocheng Zhang, Min Fu, Siqi Li, Jie Wu, Yiming Jia, Youzhou He
    中国化学快报. 2024, 35(09): 109455. https://doi.org/10.1016/j.cclet.2023.109455
    摘要 ( ) PDF全文 ( ) HTML 可视化 收藏
    Single-atom catalysts were widely used to treat atmospheric pollution and alleviate energy crises through photocatalysis. However, how to prevent the aggregation of single atoms during the preparation and catalytic processes remained a great challenge. Herein, a novel ultrathin two-dimensional porphyrin-based single-atom photocatalyst Ti-MOF (abbreviated as TMPd) obtained through a simple hydrothermal synthesis strategy was used for photocatalytic hydrogen evolution and NO removal, in which the single-atom Pd tightly anchored in the center of porphyrin to ensure single-atom Pd stable existence. Compared with most reported MOFs-based photocatalysts, the TMPd showed an excellent hydrogen evolution rate (1.32mmol g-1 h-1) and the NO removal efficiency (62%) under visible light irradiation. Aberration-corrected high-angle annular dark-field scanning transmission electron microscope (HAADF-STEM) and synchrotron-radiation-based X-ray absorption fine-structure spectroscopy (XAFS) proved that pd in TMPd existed in an isolated state, and the atomic force microscope (AFM) proved the ultrathin morphology of TMPd. DFT calculations had demonstrated that single-atom Pd could serve as the active center and more effectively achieve electron transfer, indicating that single-atom Pd played a vital role in photocatalytic hydrogen evolution. In addition, a possible photocatalytic pathway of NO removal was proposed based on ESR and in-situ infrared spectra, in which the catalysts anchored with single-atom Pd could produce more active substances and more effectively oxidize NO to NO2- or NO3-. The results suggested that coordinating single-atom metal species as the active site in the center of porphyrin could be a feasible strategy to obtain various ultrathin porphyrin-based single-atom photocatalysts to acquire excellent photocatalytic performance further.
  • Yue Li, Minghao Fan, Conghui Wang, Yanxun Li, Xiang Yu, Jun Ding, Lei Yan, Lele Qiu, Yongcai Zhang, Longlu Wang
    中国化学快报. 2024, 35(09): 109764. https://doi.org/10.1016/j.cclet.2024.109764
    摘要 ( ) PDF全文 ( ) HTML 可视化 收藏
    Peroxymonosulfate (PMS) activation and photocatalysis are effective technologies to remove organic pollutants, but the adsorption effect of the catalyst is usually unheeded in degradation process. Herein, a bifunctional catalyst of amorphous MoSx (a-MoSx) with 3D layer-by-layer superstructure was synthesized by assembling basic active units [Mo3S13]2- of MoS2. The large interlayer spacing and high exposure of active sites render a-MoSx to have excellent synergy of adsorption and photo-assisted PMS activation for tetracycline (TC) degradation. Experiments and DFT calculation show that TC can be efficiently enriched on a-MoSx by pore filling, π-π interaction, hydrogen bonding and high adsorption energy. Subsequently, PMS can be quickly activated through electron transfer with a-MoSx, resulting in high TC degradation efficiency of 96.6% within 20min. In addition, the synergistic mechanism of adsorption and photo-assisted PMS activation was explored, and the degradation pathway of TC was expounded. This work is inspirational for constructing bifunctional catalysts with superior synergistic adsorption and catalytic capabilities to remove refractory organic pollutants in water.
  • Xuexia Lin, Yihui Zhou, Jiafu Hong, Xiaofeng Wei, Bin Liu, Chong-Chen Wang
    中国化学快报. 2024, 35(09): 109835. https://doi.org/10.1016/j.cclet.2024.109835
    摘要 ( ) PDF全文 ( ) HTML 可视化 收藏
    Biomass absorbing materials have received increasing attention for electromagnetic wave (EMW) absorption field absorbing materials due to its low density and high dielectric loss. However, the biomass EMW absorbing materials often suffer from the insufficient magnetic loss and impedance matching. In this work, a facile ZIF-8/ZIF-67-derived biomass composites (CoZnO@BPC) was prepared for high-performance EMW absorption based on multi-component micro, nano structures metal particles and xanthoce sorbifolia bunge shells-derived biomass porous carbon (BPC). The dielectric loss and/or magnetic loss abilities of CoZnO@BPC composites were adjusted by changing the mass ratio of Zn2+ to Co2+ ions. Under the filled amount of 20 wt%, CoZnO@BPC exhibited excellent EMW absorption with the minimum reflection loss (RL) at 15.84 GHz is -50.2 dB, and the matching thickness is only 1.7 mm. By adjusting the ZIFs mass ratio, the effective absorption bandwidth (EAB) can be up to 5.92 GHz (from 12.08 GHz to 18 GHz), and the matching thickness is only 1.9 mm. The results provide a new insight for the economical and efficient preparation of lightweight and advanced microwave absorbing materials.
  • Min Huang, Ru Cheng, Shuai Wen, Liangtong Li, Jie Gao, Xiaohui Zhao, Chunmei Li, Hongyan Zou, Jian Wang
    中国化学快报. 2024, 35(09): 109379. https://doi.org/10.1016/j.cclet.2023.109379
    摘要 ( ) PDF全文 ( ) HTML 可视化 收藏
    Natural enzymes, such as horseradish peroxidase (HRP), are a class of important biocatalysts with the high specificity, but their catalytic efficiency is usually unsatisfactory. Thus, the higher catalytic efficiency induced by the confinement effect is promising in optical sensing systems. In this work, a dark-field light scattering sensing platform was fabricated by the confinement effect of HRP from hybridization chain reaction (HCR) and then released to solution by the toehold-mediated strand displacement reaction (TSDR). Then, HRP catalyzed the 3,3',5,5'-tetramethylbenzidine (TMB) to TMB2+ with the assistance of hydrogen peroxide, which etched the gold nanorods (AuNRs) with the weakened light scattering. The single-particle assay was established based on the decreased light scattering intensity of AuNRs under dark-field microscope. The proposed assay revealed excellent analytical performance within a linear range from 25pmol/L to 600pmol/L, and a low limit of detection of 3.12pmol/L. Additionally, it also manifested satisfactory recovery of miRNA-21 in human serum samples. The high sensitivity, excellent specificity, and universal applicability make this sensing platform promising for disease diagnosis.
  • Jia Chen, Yun Liu, Zerong Long, Yan Li, Hongdeng Qiu
    中国化学快报. 2024, 35(09): 109463. https://doi.org/10.1016/j.cclet.2023.109463
    摘要 ( ) PDF全文 ( ) HTML 可视化 收藏
    In this work, we established an exceptionally facile method for the preparation of Ni-CeO2 nanorods in a kind of deep eutectic solvents (DESs) composed of l-proline and Ce(NO3)3·6H2O. First, Ni-CeO2 nanorods were successfully prepared by adding Ni(NO3)3·6H2O to DESs. Then, we found that Ni-CeO2 nanorods prepared in DESs have more prominent oxidase-like activity than pure CeO2. The outstanding catalytic activity of Ni-CeO2 could be ascribed to its high Ce3+/Ce4+ ratio. As a proof-of-concept application, the Ni-CeO2 nanorods were successfully acted as a colorimetric platform for the sensitive determination of ascorbic acid and α-glucosidase activity, which displays excellent analytical performance. Moreover, this sensing platform was applied for screening natural α-glucosidase inhibitors, such as terpenoids from natural products. The results indicated that ursolic acid and oleanolic acid had good inhibitory rates. This strategy not only provides a new way to construct more kinds of nanomaterials from DESs, but also offers a facile and effective tool to screen the α-glucosidase natural inhibitors as potential anti-diabetic drugs.
  • Deqi Fan, Yicheng Tang, Yemei Liao, Yan Mi, Yi Lu, Xiaofei Yang
    中国化学快报. 2024, 35(09): 109441. https://doi.org/10.1016/j.cclet.2023.109441
    摘要 ( ) PDF全文 ( ) HTML 可视化 收藏
    Maximizing solar energy utilization is a persistent challenge in photo catalysis, which determines sustainable solar-driven photocatalytic process. Photo thermal-coupled photo catalysis is considered as a promising solution to tackle the issues of sustainable energy scarcity and environmental pollution by harvesting the full-spectrum solar energy. Herein, a highly efficient photo thermal-accelerated photo catalysis system is elaborately established, in which the assembled carbonized stick/Nb2C MXene evaporator can heat water into vapor and the integrated g-C3N4 photocatalyst further enables high-efficiency photocatalytic hydrogen production. The designed hyperboloid wood-based architecture possesses a multiphase interface of water steam/catalyst/hydrogen to reduce the transport resistance of hydrogen gas in liquid and ultimately maximize the output of hydrogen energy. Consequently, this coupled photothermal-photocatalytic system achieves a stable solar evaporation rate of 2.16kg m-1h-1 under one sun irradiation and highly efficient hydrogen-evolving rate of 3096 μmol g-1h-1. This work paves a way to explore the improvement of photocatalytic hydrogen production by synergic photothermal effect for potential applications in renewable solar energy utilization and hydrogen production.
  • Wenhao Chen, Jian Du, Hanbin Zhang, Hancheng Wang, Kaicheng Xu, Zhujun Gao, Jiaming Tong, Jin Wang, Junjun Xue, Ting Zhi, Longlu Wang
    中国化学快报. 2024, 35(09): 109168. https://doi.org/10.1016/j.cclet.2023.109168
    摘要 ( ) PDF全文 ( ) HTML 可视化 收藏
    High-efficiency hydrogen production through photoelectrochemical (PEC) water splitting has emerged as a promising solution to address current global energy challenges. III-nitride semiconductor photoelectrodes with nanostructures have demonstrated great potential in the near future due to their high light absorption, tunable direct band gap, and strong physicochemical stability. However, several issues, including surface trapping centers, surface Fermi level pinning, and surface band bending, need to be addressed. In this work, enhanced photovoltaic properties have been achieved using gallium nitride (GaN) nanowires (NWs) photoelectrodes by adopting an alkaline solution surface treatment method to reduce the surface states. It was found that surface oxides on NWs can be removed by an alkaline solution treatment without changing the surface morphology through X-ray photoelectron spectroscopy (XPS), scanning electron microscopy (SEM) and other characterization methods. These findings provide new insights to the development of high-efficiency photoelectrodes for new energy source applications.
  • Lian Sun, Honglei Wang, Ming Ma, Tingting Cao, Leilei Zhang, Xingui Zhou
    中国化学快报. 2024, 35(09): 109188. https://doi.org/10.1016/j.cclet.2023.109188
    摘要 ( ) PDF全文 ( ) HTML 可视化 收藏
    Controlling the shape and composition of Pt-based nanocrystals is essential to improve electrocatalytic performance. In this work, we have carefully investigated the evolution process of morphology and composition for Pt and Pt3M (M=Ni, Co) nanocrystals by hydrochloric acid (HCl) etching. As a result, only Pt3Ni nanocrystals successfully formed unsaturated step-like atoms on the surface and then constructed high-index facets (HIFs), while Pt and Pt3Co preserved a good octahedron shape. Density functional theory (DFT) calculation suggests that Cl- ions can be tightly adsorbed on the surface of Pt3Ni rather than other nanocrystals, which hinders the deposition of newly-reduced atoms and thus regulating the surface morphology. Besides, the etching of surface transitional metals further accelerates the formation of HIFs. Boosted by the active sites on the surface, HCl-Pt-Ni exhibited a ~10.8 and ~11.3 times higher oxygen reduction reaction (ORR) mass and specific activities than commercial Pt/C catalyst, and possessed a good durability after 10,000 cycles test. This work gives a deep insight into the design of high-performance Pt-based ORR catalysts.
  • Haohao Sun, Wenxuan Wang, Yuli Xiong, Zelang Jian, Wen Chen
    中国化学快报. 2024, 35(09): 109213. https://doi.org/10.1016/j.cclet.2023.109213
    摘要 ( ) PDF全文 ( ) HTML 可视化 收藏
    Vanadium pentoxide (V2O5) with a layered structure is of great interest in the field of electrochromic (EC) due to its abundance of color variations. However, there are still a series of problems such as slow ion diffusion, poor electronic conductivity and cyclic stability in the reaction process. Herein, we successfully prepared a stable and fast multi-color electrochromic material V2O5-PEDOT by a simple “one-pot” method. The layer space of V2O5 could be tuned by 3,4-ethylenedioxythiophene (named V2O5-PEDOT) during the dissolution and recrystallization of vanadium oxide. The expanded layer spacing facilitates rapid ion insertion and extraction. PEDOT serves as an internal conductive pillar to improve the overall conductivity of the material. The obtained intercrossing structure of the nanobelts shortens the ion diffusion distance and ensures electrolyte penetration. The V2O5-PEDOT exhibits the fast response time (1.1s for coloration and 3.5s for bleaching at 422nm), high optical contrast (△T=45% at 422nm and △T=35.2% at 1000nm), great coloration efficiency (CE=97.1 cm2/C), and high cyclic stability (86% preserved after 3000 cycles). The electrochromic devices (ECD) were successfully assembled by using V2O5-PEDOT films as ion storage layers and electrochromic layers, demonstrating remarkable performance.
  • Ji Chen, Yifan Zhao, Shuwen Zhao, Hua Zhang, Youyu Long, Lingfeng Yang, Min Xi, Zitao Ni, Yao Zhou, Anran Chen
    中国化学快报. 2024, 35(09): 109268. https://doi.org/10.1016/j.cclet.2023.109268
    摘要 ( ) PDF全文 ( ) HTML 可视化 收藏
    Electrocatalytic water splitting is the most directly available route to generate renewable and sustainable hydrogen. Here, we report the design of a composite material in which arrays of square pillar-like NiMoO4 nanorods coated with N, P-doped carbon layers are uniformly contained in numerous nested nanoparticle structures. The catalysts have superior catalytic activity, requiring only 59mV and 187mV for HER and OER to attain a current density of 10mA/cm2, respectively. The assembled two-electrode electrolytic cell required a voltage of 1.48V to reach 10mA/cm2, along with excellent long-term stability. Theoretical calculations reveal that electrons aggregate and redistribute at the heterogeneous interface, with the d-band centers of the Ni and Fe atoms being positively shifted compared to the Fermi level, effectively optimizing the adsorption of intermediates and reducing the Gibbs free energy, thus accelerating the catalytic process. Meanwhile, an integrated solar-driven water-splitting system demonstrated a high and stable solar-to-hydrogen efficiency of 18.20%. This work provides new possibilities for developing non-precious metal-based bifunctional electrocatalysts for large-scale water splitting applications.
  • Yufeng Wu, Mingjun Jing, Juan Li, Wenhui Deng, Mingguang Yi, Zhanpeng Chen, Meixia Yang, Jinyang Wu, Xinkai Xu, Yanson Bai, Xiaoqing Zou, Tianjing Wu, Xianyou Wang
    中国化学快报. 2024, 35(09): 109269. https://doi.org/10.1016/j.cclet.2023.109269
    摘要 ( ) PDF全文 ( ) HTML 可视化 收藏
    Strategic active site organization is imperative for the advancement of effective and long-lasting catalysts of oxygen reduction reactions. However, the controllable multi-active site design is a highly intricate topic for catalyst synthesis. Employing pre-trapping and post-activation strategy, Fe-N bonding structure and S, Se functionalized heteroatom are integrated into a conductive porous carbon. In this process, the nitrogen-abundant polymer 1,3,5-triformylbenzene-tris(4-aminophenyl)benzene (Tf-TAPA) adsorbs Fe3+ under the intrinsically metal anchoring ability of N atoms and simultaneously in-situ assembles long-chain thiophene-S. Subsequently, the Fe3+ is transformed into Fe-Nx moieties with the conversion of the organic chain to incompletely graphitized carbon. Furthermore, the alteration of the electronic configuration achieved through the introduction of dual-atom S and Se leads to a pronounced enhancement in catalytic efficiency. Benefitting from the Fe-Nx bonding structure, dense structural defects, and conductive carbon networks, the resultant Fe-S,Se/NCNs possesses a positive half-wave potential of 0.86 V and a 90% current retention rate, outstripping the Pt/C benchmark. Moreover, the liquid and flexible ZAB driven by Fe-S,Se/NCNs achieves large power densities of 259.7 and 164.7 mW/cm2, respectively. This study provides a new comprehension in developing an efficient and stable M-N-C oxygen electrocatalyst.
  • Xinyi Cao, Yucheng Jin, Hailong Wang, Xu Ding, Xiaolin Liu, Baoqiu Yu, Xiaoning Zhan, Jianzhuang Jiang
    中国化学快报. 2024, 35(09): 109201. https://doi.org/10.1016/j.cclet.2023.109201
    摘要 ( ) PDF全文 ( ) HTML 可视化 收藏
    Dynamic covalent imine reactions between 2',3'-dimethoxy-[1,1':4',1″-terphenyl]-3,3″,5,5″-tetracarbaldehyde (DMTT) and cyclohexanediamine, p-phenylenediamine, and benzidine, respectively, generate a porous organic cage (DMPOC) and two covalent organic frameworks (COFs), USTB-29, and USTB-30. DMPOC shows a [3 + 6] topological cage-like structure according to single crystal X-ray diffraction result. In contrast, both microcrystalline USTB-29 and USTB-30 exhibit two-dimensional monoporous structures in an eclipsed AA stacking style based on powder X-ray diffraction and theoretical simulations. In addition, DMPOC is capable of efficiently absorbing the iodine vapor with an outstanding uptake of 5.10g/g, much higher than that of USTB-29 (3.07g/g) and USTB-30 (3.16g/g). Cage to COFs transformations have been realized from DMPOC to USTB-29 and USTB-30 via the imine bond exchange with slightly increased iodine vapor uptake. Mechanism investigations uncover that both nitrogen and oxygen atoms of POC and COFs contribute to iodine vapor capture due to the formation of charge transfer matter, and loose interaction introducing adaptive expanding voids of DMPOC is suggested to capture more iodine vapor than that of COFs with strong π-π interactions.
  • Xiaxia Xing, Xiaoyu Chen, Zhenxu Li, Xinhua Zhao, Yingying Tian, Xiaoyan Lang, Dachi Yang
    中国化学快报. 2024, 35(09): 109230. https://doi.org/10.1016/j.cclet.2023.109230
    摘要 ( ) PDF全文 ( ) HTML 可视化 收藏
    Highly selective and remotely communicable nitrogen dioxide (NO2) sensing may contribute to future Internet of Things in environmental monitoring. However, room-temperature NO2 sensing materials such as carbon materials is still less than satisfactory due to their insensitive interaction with target gas. Here, polyethylene imine functionalized three-dimensional (3D) carbon framework (PEI/C framework) has been developed for enhanced selective NO2 sensing, via combined template synthesis and subsequent doping. Typically, the 3D PEI/C framework is observed porous shape with irregular coating. Beneficially, the response of C framework to NO2 increases while those of interfering gases decrease after being functionalized with PEI. Remarkably, the sensor prototypes show a 100 ppb-concentration detection limit at room temperature. Theoretically, such excellent NO2 sensing is attributed to the large specific surface ratio of porous 3D PEI/C framework, in which PEI serves as an active layer for target NO2, while a passivated one for interfering gases. Practically, such PEI/C framework sensor prototype is simulated for NO2 sensing device and communicated with a smartphone, showing great potential in future intelligent environmental monitoring.
  • Xuying Yu, Jiarong Mi, Yulan Han, Cai Sun, Mingsheng Wang, Guocong Guo
    中国化学快报. 2024, 35(09): 109233. https://doi.org/10.1016/j.cclet.2023.109233
    摘要 ( ) PDF全文 ( ) HTML 可视化 收藏
    Direct X-ray detectors, which directly convert X-rays into electrical signals through semiconductors, have higher space solution than scintillator-mediated indirect X-ray ones and are high desirable for early cancer detection and other applications, but the mainstream commercial α-Se detector is still largely limited by high production costs, large leakage current and low stability. This article reports an easily prepared, stable radiochromic semiconductive metal-organic framework (MOF), (MV)[Cd3(tdc)4]·2H2O (RCS-1, H2tdc=2,5-thiophenedicarboxylic acid; MV2+=methyl viologen cation) with direct X-ray detecting ability. With a large bulk resistivity of 8.40×109 Ω cm, this material ensures minimal dark current and low noise for X-ray detection. Additionally, it exhibits higher sensitivity to W Kα X-rays (98.58 μC Gy-1 cm-2) than α-Se (~20 μC Gy-1 cm-2). Meanwhile, unlike most reported direct X-ray detecting semiconductors, compound RCS-1 shows remarkable color change upon X-ray irradiation owing to the presence of photochromism-active viologen cations. This feature offers an appealing visual detecting ability to direct X-ray detectors that provide only the electrical signals.
  • Pu Zhang, Xiang Mao, Xuehua Dong, Ling Huang, Liling Cao, Daojiang Gao, Guohong Zou
    中国化学快报. 2024, 35(09): 109235. https://doi.org/10.1016/j.cclet.2023.109235
    摘要 ( ) PDF全文 ( ) HTML 可视化 收藏
    Finding suitable strategies to effectively enhance the optical properties of materials are the goal being pursued by researchers. Herein, cation-anion synergetic interactions strategy was proposed to develop two novel organic-inorganic hybrid antimony-based optical materials, (C3H5N2)SbF2SO4 (I) and (C5H6N)SbF2SO4 (II), which were obtained by introducing Sb3+cation containing stereochemically active lone-pair (SCALP) and organic π-conjugated cations into sulphate system. The synergistic interactions of the organic π-conjugated cations, the inorganic [SbO2F2]3- seesaw anions and the [SO4]2- distorted tetrahedra anions make their ultraviolet (UV) absorption edges approach 297 and 283nm, respectively, and raise their birefringence up to 0.193@546nm and 0.179@546nm, respectively. Interestingly, although the two compounds have the same stoichiometric ratio and similar one-dimensional (1D) chain structure, they show opposite macroscopic symmetry, where the NCS compound (II) exhibits a large second-harmonic generation (SHG) response (1.6 times that of KH2PO4). The two reported compounds are found to be promising UV optical materials in the experimental tests.
  • Hui Gu, Mingyue Gao, Kuan Shen, Tianli Zhang, Junhao Zhang, Xiangjun Zheng, Xingmei Guo, Yuanjun Liu, Fu Cao, Hongxing Gu, Qinghong Kong, Shenglin Xiong
    中国化学快报. 2024, 35(09): 109273. https://doi.org/10.1016/j.cclet.2023.109273
    摘要 ( ) PDF全文 ( ) HTML 可视化 收藏
    To solve the volume expansion and poor electrical conductivity of germanium-based anode materials, Ge/rGO/CNTs nanocomposites with three-dimensional network structure are fabricated through the dispersion of polyethylene-polypropylene glycol (F127) and reduction of hydrogen. An interesting phenomenon is discovered that F127 can break GeO2 polycrystalline microparticles into 100nm nanoparticles by only physical interaction, which promotes the uniform dispersion of GeO2 in a carbon network structure composed of graphene (rGO) and carbon nanotubes (CNTs). As evaluated as anode material of Lithium-ion batteries, Ge/rGO/CNTs nanocomposites exhibit excellent lithium storage performance. The initial specific capacity is high to 1549.7 mAh/g at 0.2 A/g, and the reversible capacity still retains 972.4 mAh/g after 100 cycles. The improved lithium storage performance is attributed to that Ge nanoparticles can effectively slow down the volume expansion during charge and discharge processes, and three-dimensional carbon networks can improve electrical conductivity and accelerate lithium-ion transfer of anode materials.
  • Kunyao Peng, Xianbin Wang, Xingbin Yan
    中国化学快报. 2024, 35(09): 109274. https://doi.org/10.1016/j.cclet.2023.109274
    摘要 ( ) PDF全文 ( ) HTML 可视化 收藏
    With the increasing demand for high energy density energy storage device, Li metal has received intensive attention for its ultrahigh capacity and the lowest redox potential. LiNO3 is widely used as electrolyte additive for ether electrolyte, which can improve the cycle performance of Li metal anode. Compared to ethers, carbonates are more suitable for Li metal batteries with high voltage cathode because they have a wider electrochemical window. However, LiNO3 performs poor solubility in carbonate electrolyte, restricting its application in high voltage Li battery. Herein, we presented a facile method to introduce abundant LiNO3 additive to carbonate electrolyte system by introducing LiNO3-PAN es as the interlayer of the cell. LiNO3-PAN es is in sufficient contact with the electrolyte so that it can continuously releases LiNO3 to assist the formation of Li2N2O2-rich single nitrogenous component SEI layer on Li surface. With the help of LiNO3-PAN es, Li metal anode shows excellent cycle stability even at a high current density of 4mA/cm2, so that the cycle performance of the full cells was significantly improved, whether in the anode-free Cu||LFP cell or the Li||NCM622 cell.
  • Liangji Chen, Zhen Yuan, Fudong Feng, Xin Zhou, Zhile Xiong, Wuji Wei, Hao Zhang, Banglin Chen, Shengchang Xiang, Zhangjing Zhang
    中国化学快报. 2024, 35(09): 109344. https://doi.org/10.1016/j.cclet.2023.109344
    摘要 ( ) PDF全文 ( ) HTML 可视化 收藏
    Hydrogen-bonded organic frameworks (HOFs) are a promising candidate for optical sensing, but the lack of effective design strategies poses significant challenges to the construction of HOFs for organic acid sensing. In this work, the first HOF for organic acid sensing is reported by constructing a multiple-pyridine carbazole-based dense HOF, namely HOF-FJU-206, from a tripyridine-carbazole molecular 3,6-bis(pyridin-4-yl)-9-(4-(pyridin-4-yl)phenyl)-9H-carbazole (CPPY) with carbazole center for luminescence, pyridyl sites for its responsive of hydrogen proton, and narrow channels in the dense framework for the diffusion of hydrogen protons. HOF-FJU-206 exhibits differential responsively fluorescence sensing and recovery properties to formic, acetic, and propionic acids with different molecular sizes and pKa value (acid dissociation constant). The dissociation degree of various acids can be determined by analyzing the slope of changes in both peak wavelength and intensity of in-situ fluorescence, which easily enables the dual-corrective recognition of different acids. The varying degree of protonation at pyridine sites is proved to be the reason for differential sensing of various acids, as demonstrated by 1H NMR spectra, X-ray photoelectron spectroscopy (XPS) characterization, and modeling studies.
  • Jie Ren, Hao Zong, Yaqun Han, Tianyi Liu, Shufen Zhang, Qiang Xu, Suli Wu
    中国化学快报. 2024, 35(09): 109350. https://doi.org/10.1016/j.cclet.2023.109350
    摘要 ( ) PDF全文 ( ) HTML 可视化 收藏
    Structural colors originated from Mie scattering of dielectric spheres can be regulated by the coupling effect between them and substrates. Here a rapid visual identification method of silver ornaments was proposed by the coupling effect of ZnO spheres with them. Both simulation and experimental results proved that, by coupling with different metal substrates, the Mie resonance scattering peaks of ZnO spheres with dimeter of 700nm showed different degrees of redshift, which lead to different structural color appeared when ZnO spheres deposited on different metal surfaces with a similar appearance. A red structural color was displayed on the surface of the real silver ornament and a yellow-green structural color was shown on the surface of the cupronickel ornament. This method is quite simple and low-cost because it only needs to spray the dispersion of ZnO spheres on the ornament surface. Due to the mild chemical properties of the ZnO, covering and erasing ZnO spheres on the surface of silver would not corrode the silver ornament. Finally, an atomizer method was used for portable and daily testing. This work opens new perspectives on the visual identification of silver.
  • Guangchang Yang, Shenglong Yang, Jinlian Yu, Yishun Xie, Chunlei Tan, Feiyan Lai, Qianqian Jin, Hongqiang Wang, Xiaohui Zhang
    中国化学快报. 2024, 35(09): 109722. https://doi.org/10.1016/j.cclet.2024.109722
    摘要 ( ) PDF全文 ( ) HTML 可视化 收藏
    The O3-Na0.85Ni0.2Fe0.4Mn0.4O2 layered oxide cathode material possesses the advantages of high specific capacity, low cost, and simple synthesis. However, sluggish kinetics and complicated phase transition caused by the large size difference between Na+ and tetrahedral gaps lead to poor rate and cycling performance. Therefore, a scalable and feasible strategy was proposed to modulate local chemical environment by introducing Mg2+ and B3+ into O3-Na0.85Ni0.2Fe0.4Mn0.4O2, which can distinctly improve kinetic transport rate as well as electrochemical performance. The capacity retention of O3-(Na0.82Mg0.04)(Ni0.2Fe0.4Mn0.4)B0.02O2 (NFMB) increases from 43.3% and 12.4% to 89.5% and 89.0% at 1 C and 3 C after 200 cycles, respectively. Moreover, the electrode still delivers high rate capacity of 93.9 mAh/g when current density increases to 10 C. Mg2+ ions riveted on Na layer act as a “pillar” to stabilize crystal structure and inhibit structural change during the desodiumization process. B3+ ions entering tetrahedral interstice of the TM layer strengthen the TM-O bond, lower Na+ diffusion energy barrier and inhibits the slip of TM layer. Furthermore, the assembled full batteries with the modified cathode material deliver a high energy density of 278.2Wh/kg with commercial hard carbon as anode. This work provides a strategy for the modification of high-performance SIB layered oxide materials to develop the next-generation cost-effective energy storage grid systems.
  • Sinong Wang, Shanshan Jin, Xue Yang, Yanyan Huang, Peng Liu, Yi Tang, Yuliang Yang
    中国化学快报. 2024, 35(09): 109890. https://doi.org/10.1016/j.cclet.2024.109890
    摘要 ( ) PDF全文 ( ) HTML 可视化 收藏
    Acidification of paper-based relics is a common problem, leading to their degradation and eventual loss. Paper deacidification is highly dependent on a limited variety of alkaline materials, and the development of new materials that are safe, efficient and easy-to-prepare is highly demanded to ensure a high level of safety and effective protection of paper-based relic. This study proposes the introduction of layered double hydroxide (LDH) and its calcined product, mixed metal oxide (layered double oxide (LDO)), as innovative protective materials for the deacidification of paper with varying levels of acidity. The results demonstrate that treatment with Mg-Al LDH/LDO can effectively modify the pH of acidic paper (e.g., pH ~ 4.0-6.4) to a neutral or weakly basic state, maintaining this desirable pH range even under long-term accelerated aging condition. Remarkably, LDH proves to be well-suited for the protection of slightly acidified paper (e.g., pH > 5.5), while LDO serves as an especially option for the deacidification of severely acidified paper (e.g., pH ≤ 5.5). During aqueous deacidification, due to the memory effect of the LDH-based materials, LDO is converted to rehydrated LDH, which creates a mild and appropriate alkaline retention in the paper, avoiding damage caused by strong alkalinity such as cellulose degradation and pigment fading during subsequent long-term natural preservation of the paper. Furthermore, Mg-Al LDH/LDO materials also exhibit flame-retardant and bacteriostatic properties. This opens up opportunities for the safe, efficient and multifunctional protection of acidified paper-based relics.
  • Ying Li, Yanjun Xu, Xingqi Han, Di Han, Xuesong Wu, Xinlong Wang, Zhongmin Su
    中国化学快报. 2024, 35(09): 109189. https://doi.org/10.1016/j.cclet.2023.109189
    摘要 ( ) PDF全文 ( ) HTML 可视化 收藏
    The composite polymer electrolyte has been obtained via incorporating LiCUST-701 (a new metal-organic rotaxane framework modified by Li+) into poly(ethylene oxide) (PEO) matrix and give a high ionic conductivity of 4.02×10-4 S/cm at 60℃. DFT calculations were used to visualize the possible diffusion pathway of Li+. The all-solid-state cell assembled with LiFePO4, composite polymer electrolyte and lithium metal foil delivered with excellent cycling capability and stability even under high current densities.
  • Miaomiao Li, Mengwei Yuan, Xingzi Zheng, Kunyu Han, Genban Sun, Fujun Li, Huifeng Li
    中国化学快报. 2024, 35(09): 109265. https://doi.org/10.1016/j.cclet.2023.109265
    摘要 ( ) PDF全文 ( ) HTML 可视化 收藏
    In order to advance the commercialization of rechargeable Li-air batteries, it is of importance to explore cathode catalyst with efficient catalytic activity. Transition metal oxides have poor electrical conductivity, while cobalt phosphide has excellent electrical conductivity and large specific surface area. Nevertheless, its application in organic Li-air batteries has been much less studied, and the electrocatalytic activity desires to be further elevated. Here, CoP/Co2P heterojunction composite with higher polarity was fabricated. The discharge product of high-polarity CoP/Co2P had a new porous box-like morphology, which was easy to be decomposed and exposed more active sites. The highly polar CoP/Co2P heterostructure composite had homogeneous pores, the synergistic effect existed between CoP and Co2P, and the discharge product was porous box mixed with Li2O2 and LiOH, which made CoP/Co2P achieve high specific capacity of 14632 mAh/g and cycle stably 161 times when used as air electrode cathode catalyst. This work furnished a thought for the construction of cathode catalysts with efficient catalytic activity for Li-air batteries.
  • Jiayu Bai, Songjie Hu, Lirong Feng, Xinhui Jin, Dong Wang, Kai Zhang, Xiaohui Guo
    中国化学快报. 2024, 35(09): 109326. https://doi.org/10.1016/j.cclet.2023.109326
    摘要 ( ) PDF全文 ( ) HTML 可视化 收藏
    The development of clean renewable energy and energy storage devices is of great significance under the present energy crisis and environmental pollution background. Aqueous zinc-ion battery (ZIB) has become one of the most promising energy storage devices due to its high capacity, safety and low cost. However, the application of ZIB cathode is usually limited by low capacity and poor stability. Herein, we propose a novel heterostructure MnO/MnV2O4 composite material composed of MOF derivatives and spinel with dual active components as cathode for ZIBs. Benefited from substantial framework of MOF derivatives and the synergistic effect of heterostructures, MnO/MnV2O4 exhibits excellent rate performance (342 mAh/g at 0.1 A/g, 261 mAh/g at 15 A/g) and cycling performance (198.9 mAh/g at 10 A/g after 2000 cycles) in 3mol/L Zn(CF3SO3)2 electrolytes. This work extends the range of developing high-performance cathodes for ZIBs under high current density and is expected to enlighten the optimization of commercial energy storage devices.
  • Ningning Zhao, Yuyan Liang, Wenjie Huo, Xinyan Zhu, Zhangxing He, Zekun Zhang, Youtuo Zhang, Xianwen Wu, Lei Dai, Jing Zhu, Ling Wang, Qiaobao Zhang
    中国化学快报. 2024, 35(09): 109332. https://doi.org/10.1016/j.cclet.2023.109332
    摘要 ( ) PDF全文 ( ) HTML 可视化 收藏
    Aqueous zinc ion batteries (AZIBs) are promising energy storage devices. However, the formation of dendrites, hydrogen evolution, and corrosion reaction seriously affect their electrochemical performance. Herein, the synergistic effect of ion-migration regulation and interfacial engineering has been confirmed as the potential strategy by kaolin functionalized glass fiber separator (KL-GF) to alleviate these problems. The rapid and orderly Zn2+ migration was achieved to improve the transfer kinetics and induced uniform zinc deposition by more zinc-philic sites of KL-GF. Based on the interfacial engineering, the side reactions were effectively mitigated and crystal planes were regulated through KL-GF. The hydrophilicity of KL alleviated the corrosion and hydrogen evolution. Importantly, a preferential orientation of Zn (002) crystal plane by KL-GF was induced to further realize dendrite-free deposition by density functional theory (DFT) and X-ray diffraction (XRD) characterization. Hence, the Zn|KL-GF|MnO2 cell maintained a high discharge capacity of 96.8 mAh/g at 2 A/g after 1000 cycles. This work can provide guidance enabling high-performance zinc anode for AZIBs.
  • Jun Guo, Zhenbang Zhuang, Wanqiang Liu, Gang Huang
    中国化学快报. 2024, 35(09): 109803. https://doi.org/10.1016/j.cclet.2024.109803
    摘要 ( ) PDF全文 ( ) HTML 可视化 收藏
    Organic electrode materials (OEMs) have attracted substantial attention for aqueous zinc-ion batteries (AZIBs) due to their advantages in relieving resource and environmental anxiety. However, the potential of OEMs is plagued by their low achievable capacity and high solubility. Here, we have proposed a new concept of “co-coordination force” and designed a rigid-flexible coupling crystalline polymer that can overcome the abovementioned limitations. The obtained crystalline polymer (BQSPNs) with multiredox centres makes the BQSPNs exist intermolecular hydrogen bonds (HB) among -C=O, -C=N, and -NH and consequently exhibits transverse two-dimensional arrays and longitudinal π-π stacking structure. Additionally, in-situ FTIR, Raman, variable temperature FTIR spectra, and 2D nuclear overhauser effect spectroscopy (NOESY) well capture the existence and evolution process of HB during the electrochemistry reaction process of BQSPNs, uncovering the effect of HB in stabilizing the structure and promoting the reaction kinetics. As a result, the BQSPNs with rationally designed “co-coordination force” deliver a high capacity of 459.6 mAh/g and a stable cycling lifetime for more than 100,000 cycles at 10 A/g in AZIBs. Our results disclose the HB effect and provide a brand-new strategy for high-performance OEMs design.
  • Shengyu Zhao, Xuan Yu, Yufeng Zhao
    中国化学快报. 2024, 35(09): 109933. https://doi.org/10.1016/j.cclet.2024.109933
    摘要 ( ) PDF全文 ( ) HTML 可视化 收藏
    The Na-deficient P3-type layered oxide cathode material usually experience complex in-plane Na+/vacancy ordering rearrangement and undesirable P3-O3 phase transitions in the high-voltage region, leading to inferior cycling performance. Additionally, they exhibit unsatisfactory stability when exposed to water for extended periods. To address these challenges, we propose a Cu/Ti co-doped P3-type cathode material (Na0.67Ni0.3Cu0.03Mn0.6Ti0.07O2), which effectively mitigates Na+/vacancy ordering and suppresses P3-O3 phase transitions at high voltages. As a result, the as-prepared sample exhibited outstanding cyclic performance, with 81.9% retention after 500 cycles within 2.5-4.15V, and 75.7% retention after 300 cycles within 2.5-4.25V. Meanwhile, it demonstrates enhanced Na+ transport kinetics during desodiation/sodiation and reduced growth of charge transfer impedance (Rct) after various cycles. Furthermore, the sample showed superb stability against water, exhibiting no discernible degradation in structure, morphology, or electrochemical performance. This co-doping strategy provides new insights for innovative and prospective cathode materials.
  • Lili Wang, Ya Yan, Rulin Li, Xujie Han, Jiahui Li, Ting Ran, Jialu Li, Baichuan Xiong, Xiaorong Song, Zhaohui Yin, Hong Wang, Qingjun Zhu, Bowen Cheng, Zhen Yin
    中国化学快报. 2024, 35(09): 110011. https://doi.org/10.1016/j.cclet.2024.110011
    摘要 ( ) PDF全文 ( ) HTML 可视化 收藏
    The electrochemical oxidation of 5-hydroxymethylfurfural (HMF) to valuable chemicals is an efficient way to upgrade biomass molecules and replace traditional catalytic synthesis. It is crucial to develop efficient and low-cost earth-abundant electrocatalysts to enhance catalytic performance of HMF oxidation. Herein, a new type of two-dimensional (2D) hybrid arrays consisting of NiFe layered double hydroxides (LDH) nanosheets and bimetallic sulfide (NiFeS) is constructed via interface engineering for efficient electrocatalytic oxidation of HMF to 2,5-furandicarboxylic acid (FDCA). The preparation process of 2D NiFe LDH/NiFeS with ultrathin heterostructure involves in anchoring a Co-based metal-organic framework (Co MOF) as template onto the carbon cloth (CC) via in-situ growth, formation of NiFe LDH on the surface of Co MOF and subsequent partial sulfidation. The electrocatalyst of NiFe LDH/NiFeS exhibits outstanding performance towards HMF oxidation, about 98.5% yield for FDCA and 97.2% Faraday efficiency (FE) in the alkaline electrolyte with 10mmol/L HMF, as well as excellent stability retaining 90.1% FE for FDCA after six cycles test. Moreover, even at an HMF concentration of 100mmol/L, the yield and FE for FDCA remain high at 83.6% and 93.6%, respectively. These findings highlight that 2D heterostructure containing abundant interfaces between NiFe LDH nanosheets and NiFeS can enhance the intrinsic activity of LDH and thus promote the oxidation reaction kinetics. Additionally, the synergistic effect of the bimetallic NiFe compounds also improved the selectivity of HMF conversion to FDCA. Our present work demonstrates that constructing 2D ultrathin heterostructure of NiFe LDH/NiFeS is a facile strategy via interface engineering to enhance the intrinsic activity of LDH electrocatalysts, which would open new avenues toward low-cost and advanced 2D nanocatalysts for sustainable energy conversion and electrochemical valorization of biomass derivatives.