本期目录

2022年, 第33卷, 第01期 刊出日期:2022-01-22
  

  • 全选
    |
    评论
  • Dongli Guo, Shijie You, Fang Li, Yanbiao Liu
    中国化学快报. 2022, 33(01): 1-10. https://doi.org/10.1016/j.cclet.2021.06.027
    摘要 ( ) PDF全文 ( ) HTML 可视化 收藏
    The engineering of carbon nanocatalysts for the persulfate activated elimination of emerging organic contaminants (EOCs) demonstrates promising potential compared with metal-based counterparts due to their unique advantage of high stability and low toxicity. The early reviews introduced the theoretical background of persulfate activation together with a detailed summary of different mechanisms responsible for degradation of EOCs. To further unify the state of knowledge, identify the research gaps, and prompt new research in this area, we present a thorough review on current trends in research on metal-free carbon nanocatalysts (e.g., 0D nanodiamond, 1D carbon nanotubes and carbon nanofibers, 2D graphene and graphitic carbon nitride, and 3D carbon nanocatalysts), with emphasis on their applications in persulfate activation and EOCs decontamination. We also discuss the current challenges and future perspectives in practically relevant applications. Last, we highlight that the development of sustainable carbon nanocatalysts/persulfate systems lies at the interface of multiple disciplines, which calls for future in-depth interdisciplinary collaborations.
  • Binfen Zhao, Liyan Jiang, Qiong Jia
    中国化学快报. 2022, 33(01): 11-21. https://doi.org/10.1016/j.cclet.2021.06.031
    摘要 ( ) PDF全文 ( ) HTML 可视化 收藏
    Over the past few decades, supramolecular chemistry has entered the field of scientific research and attracted extensive attention. Among supramolecular macrocycles, cyclodextrins (CDs) are widely applied in the field of adsorption due to their unique structure and properties. This review focuses on the important role of cyclodextrin polymers (CDPs) as adsorbents in the adsorption of different substances. It covers the category of CDPs adsorbents (including crosslinked CDPs, grafted CDPs, CD-based polyrotaxanes/pseudo-polyrotaxanes, and imprinted CDPs), their adsorption mechanism and applications in the adsorption of inorganic metal ions, organic pollutants, and biomacromolecules. Finally, the challenges and future perspectives in relative research fields are discussed.
  • Qiu-Yang Xu, Zheng Tan, Xue-Wei Liao, Chen Wang
    中国化学快报. 2022, 33(01): 22-32. https://doi.org/10.1016/j.cclet.2021.06.015
    摘要 ( ) PDF全文 ( ) HTML 可视化 收藏
    Early and precise diagnosis are propitious to timely treatment and simultaneously increase the chance of successful treatments. It is of critical importance to develop rapid, sensitive, and reliable sensing techniques of physiological biomarkers for disease diagnosis. Due to the advantages of structural designability and property tunability, nanoscale metal-organic frameworks (nMOFs) have been widely applied in the field of biomedicine in recent years. Particularly, enhanced stability, more modification sites and improved distribution make nMOFs more suitable as biosensors for detection of biomarkers. This review article will summarize the recent advancements of nMOFs-based biosensors for detection of biomarkers, classified into four sections via different sensing modes: fluorescent sensing, colorimetric sensing, electrochemical sensing and surface-enhanced Raman scattering (SERS) sensing within the latest years. Except introducing and comparing the role of nMOFs in different sensing modes, designing strategies of nMOFs-based biosensors are involved as well. At last, a brief conclusion and outlook for further applications are provided, which is helpful for exploring multi-functional biologic nano-platforms with nMOFs. We expect that this review can inspire the interest on this promising research area of nMOFs-based biosensors for detection of biomarker and early diagnosis.
  • Yuheng Zhang, Kang Ren, Lu Wang, Lin Wang, Zhuangjun Fan
    中国化学快报. 2022, 33(01): 33-60. https://doi.org/10.1016/j.cclet.2021.06.013
    摘要 ( ) PDF全文 ( ) HTML 可视化 收藏
    In recent years, porphyrins with a similar structure to chlorophyll are often used as photosensitizers or reaction centers to improve the light absorption capacity or catalytic selectivity of existing photocatalytic systems. However, photocatalytic reactions include photoelectric conversion, photocarrier transport, and surface reaction, which requires the overall design of porphyrin-based photocatalysts. In this paper, the research work of porphyrin molecular design in heterogeneous photocatalysis in recent years is reviewed. Besides, the application of interface control and spatial confinement effect in porphyrin-based hybrid photocatalyst is introduced. Finally, the future development direction of porphyrin-based photocatalysts is prospected and the main challenges in the research of porphyrin-based photocatalysts are given.
  • Xiaoxu Peng, Zheng Wang
    中国化学快报. 2022, 33(01): 61-70. https://doi.org/10.1016/j.cclet.2021.06.017
    摘要 ( ) PDF全文 ( ) HTML 可视化 收藏
    As a kind of microplasma sustained in air, solution electrode glow discharge (SEGD) ignited between the liquid electrode and metal electrode is attractive to the fields of optical emission spectrometry and mass spectrometry due to its unique advantages, such as low power consumption and low carrier gas consumption. Moreover, the complex and efficient reactions in the liquid phase and plasma phase of SEGD make it considerable research potential in the fields of biology and medicine, material synthesis, electrochemistry. Considering the close relationship between the various fields on SEGD, here we are devoted to provide an overview of the development of SEGD in various fields. More importantly, a systematic discussion on the discharge mechanism is conducted based on the research process in various fields for getting deeper insight into the SEGD.
  • Ning Li, Jin Jiang, Yanbin Xu, Hanping Pan, Xiaonan Luo, Yingbin Hu, Jie Cao
    中国化学快报. 2022, 33(01): 71-79. https://doi.org/10.1016/j.cclet.2021.06.064
    摘要 ( ) PDF全文 ( ) HTML 可视化 收藏
    Carbonaceous materials can accelerate extracellular electron transfer for the biotransformation of many recalcitrant, redox-sensitive contaminants and have received considerable attention in fields related to anaerobic bioremediation. As important electron shuttles (ESs), carbonaceous materials effectively participate in redox biotransformation processes, especially microbially-driven Fe reduction or oxidation coupled with pollutions transformation and anaerobic fermentation for energy and by-product recovery. The related bioprocesses are reviewed here to show that carbonaceous ESs can facilitate electron transfer between microbes and extracellular substrates. The classification and characteristics of carbon-containing ESs are summarized, with an emphasis on activated carbon, graphene, carbon nanotubes and carbon-based immobilized mediators. The influencing factors, including carbon material properties (redox potential, electron transfer capability and solubility) and environmental factors (temperature, pH, substrate concentration and microbial species), on pollution catalytic efficiency are discussed. Furthermore, we briefly describe the prospects of carbonaceous ESs in the field of microbial-driven environmental remediation.
  • Hongfei Jiang, Wujun Chen, Jie Wang, Renshuai Zhang
    中国化学快报. 2022, 33(01): 80-88. https://doi.org/10.1016/j.cclet.2021.06.011
    摘要 ( ) PDF全文 ( ) HTML 可视化 收藏
    Numerous strategies for linking desired chemical probes with target peptides and proteins have been developed and applied in the field of biological chemistry. Approaches for site-specific modification of native amino acid residues in test tubes and biological contexts represent novel biological tools for understanding the role of peptides and proteins. Selective N-terminal modification strategies have been broadly studied especially in the last 10 years, as N-terminal positions are typically solvent exposed and provide chemically distinct sites for many peptide and protein targets, making N terminus distinct from other functional groups. A growing number of chemical and enzymatic techniques have been developed to modify N-terminal amino acids, and those techniques have the potential in the fields of medicine, basic research and applied materials science. This review focuses on appraising modification methodologies with the potential for biological applications from the past 10 years.
  • Kaiya Wang, Xueqi Tian, Jacobs H. Jordan, Krishnasamy Velmurugan, Leyong Wang, Xiao-Yu Hu
    中国化学快报. 2022, 33(01): 89-96. https://doi.org/10.1016/j.cclet.2021.06.026
    摘要 ( ) PDF全文 ( ) HTML 可视化 收藏
    Over the last decade, numerous research efforts have been devoted to pillar [n]arenes since their debut. The popularity of pillararenes is a reflection of current research trend in supramolecular and macrocyclic chemistry in general. Among the vast applications (such as chemosensors, drug delivery, transmembrance channels, and separation) of pillararenes, their utilization in catalysis is a relatively less explored area. However, soaring attention has been paid by researchers in recent years and this field has seen gradual increasing publications. Therefore, in this review we will discuss progress in the emerging applications of pillararene architectures in catalysis based on various reaction genre including reduction, oxidation, coupling, decomposition and others. Furthermore, this review not only focuses on the pillararenes based current progress in catalysis, but also provides the signs for future development in this research field.
  • Yufen Lv, Huanhuan Cui, Na Meng, Huilan Yue, Wei Wei
    中国化学快报. 2022, 33(01): 97-114. https://doi.org/10.1016/j.cclet.2021.06.068
    摘要 ( ) PDF全文 ( ) HTML 可视化 收藏
    Sulfur-containing organic compounds display wide applications in the field of materials science, synthetic chemistry, and pharmaceutical industry. Thus, numerous synthetic strategies have been developed for the synthesis of sulfur-containing compounds in synthetic chemistry. In recent years, the utilization of sulfinic acids as versatile synthons has emerged as attractive and powerful approach to access various organosulfur compounds through sulfonylation, sulfinylation or sulfenylation reactions. In this review, we summarized the recent progress in the construction of various sulfur-containing compounds from sulfininc acids. Selected examples of substrates and the related reaction mechanisms are described here. This review intends to provide readers a comprehensive understanding on the synthesis of sulfur-containing molecules from sulfinic acids and provide help for future synthetic research.
  • Yanyan Wang, Dongxiang Zhang, Kangming Xiong, Rong Shang, Xin-Dong Jiang
    中国化学快报. 2022, 33(01): 115-122. https://doi.org/10.1016/j.cclet.2021.06.083
    摘要 ( ) PDF全文 ( ) HTML 可视化 收藏
    The typical aza-BODIPYs in the dye family are known for bright fluorescence, excellent stability, and tunable absorption wavelengths. Hence, these dyes are attracting the increasing attention. Aza-BODIPYs having the maxima absorption in the near-infrared (NIR) region (650-900 nm) are very favorable for bioimaging in vivo due to the less photo-damage, deeper tissue penetration, and less interference from background auto-fluorescence by biomolecules in the living systems. Many strategies have been employed to modify the structures of the aza-BODIPY core to provide the NIR absorbing dyes. Among these, the most effective method is the fusion of the aromatic rings in aza-BODIPY system. This review allsidedly summarizes the recent development of ring-fused aza-BODIPY dyes (λabs > 700 nm) focusing on the design, synthesis, and potential applications in the NIR region since 2002.
  • Wanru Xu, Yilin Chang, Xiangwei Zhu, Zhenhua Wei, Xiaoli Zhang, Xiangnan Sun, Kun Lu, Zhixiang Wei
    中国化学快报. 2022, 33(01): 123-132. https://doi.org/10.1016/j.cclet.2021.07.028
    摘要 ( ) PDF全文 ( ) HTML 可视化 收藏
    Small molecule donor/polymer acceptor (SD/PA)-type organic solar cells (OSCs) have attracted widespread attention in recent years due to the continuing power conversion efficiency (PCE) growth, near 10%, and the excellent thermal stability for the practical applications. However, the development of SD/PA-type OSCs lags far behind that of polymer donor/small molecule acceptor (PD/SA)-type OSCs, which are also based on the combination of small molecule and polymer, with the PCEs exceeding 18%. The reasons accounting for this great gap are well worth exploring. In this review, we have analyzed the key factors affecting the photovoltaic performances of SD/PA-type OSCs, systematically summarized the research progress of SD/PA type OSCs in recent years, and put forward our own views on the future development of SD/PA type OSCs.
  • Ning Wang, Yumeng Hao, Xiaowei Feng, Haidan Zhu, Dazhi Zhang, Ting Wang, Xiaoyan Cui
    中国化学快报. 2022, 33(01): 133-140. https://doi.org/10.1016/j.cclet.2021.06.075
    摘要 ( ) PDF全文 ( ) HTML 可视化 收藏
    As an essential part in the toolbox of super-resolution microscopy, stimulated emission depletion (STED) nanoscopy has been widely explored in revealing the substructure and bioactivities in fluorescence imaging. Among the applied STED fluorophores, silicon-substituted rhodamines (SiRs) belong to one of the most extensively employed fluorophores. The carboxy-SiR was favored in STED bioimaging with many advantages, including reliable photostability, cell permeability, tunable fluorogenicity, feasible structural decoration and so on. We reviewed the research of carboxy-SiR in the STED nanoscopy and hopefully this can inspire more efforts in the design and application of STED fluorophores.
  • Hongyang Chen, Manxian Li, Chuanping Li, Xuan Li, Yaling Wu, Xiaochuan Chen, Junxiong Wu, Xiaoyan Li, Yuming Chen
    中国化学快报. 2022, 33(01): 141-152. https://doi.org/10.1016/j.cclet.2021.08.097
    摘要 ( ) PDF全文 ( ) HTML 可视化 收藏
    Li metal anodes (LMAs) has attracted extensive research interest because of its extremely high theoretical capacity (3860 mAh/g) at low redox potential (-3.04 V vs. standard hydrogen electrode). However, the extremely high chemical reactivity and the intrinsic "hostless" nature of LMAs bring about serious dendritic growth and dramatic volume change during the plating/strapping process, thus resulting in poor Coulombic efficiency, short lifespan, and severe safety concerns. Of various strategies, the construction of three-dimensional carbonaceous scaffolds for LMAs can substantially reduce the local current density, inhibit Li dendrite growth, and accommodate volume variation. Electrospinning is a simple yet effective strategy to fabricate carbon nanofibers (CNFs), which have been regarded as promising skeletons for LMAs, owing to their large surface areas, good electrical conductivity, and high porosity. In this Mini Review, we briefly introduce the fabrication of CNFs using electrospinning and the modification of CNFs. We highlight the recent advances in electrospun CNF skeletons for LMAs, including pure CNF and CNF-based composite scaffolds. Finally, we discuss the remaining challenges of electrospun CNF scaffolds for LMAs and provide possible solutions to push forward the advancement in this field.
  • Yangwu Wu, Lu Wang, Huimin Li, Qizhi Dong, Song Liu
    中国化学快报. 2022, 33(01): 153-162. https://doi.org/10.1016/j.cclet.2021.07.001
    摘要 ( ) PDF全文 ( ) HTML 可视化 收藏
    Two-dimensional (2D) materials have received extensive attention in the fields of electronics, optoelectronics, and magnetic devices attributed to their unique electronic structures and physical properties. The application of strain is a simple and effective strategy to change the lattice structure of 2D materials thus modulating their physical properties, which further facilitate their applications in carrier mobility transistor, magnetic sensor, single-photon emitter etc. In this short review, we focus on the strain applied via substrate engineering. Firstly, the relationship between the strain and physical properties has been summarized. Secondly, the methods for achieving substrate engineering-induced strain have been demonstrated. Finally, the latest applications of strained 2D materials have been introduced. In addition, the future challenges and development prospects of strain-modulated 2D materials have also been proposed.
  • Haoxin Huang, Jiajia Zha, Shisheng Li, Chaoliang Tan
    中国化学快报. 2022, 33(01): 163-176. https://doi.org/10.1016/j.cclet.2021.06.004
    摘要 ( ) PDF全文 ( ) HTML 可视化 收藏
    Two-dimensional (2D) transition metal dichalcogenide (TMD) nanosheets have attracted considerable attention owing to their diverse properties and great potential in a wide range of applications. In order to further tune their properties and then broaden their application domain, large efforts have been devoted into engineering the structures of 2D TMD nanosheets at atomic scale, especially the alloying technology. Alloying different 2D TMD nanosheets into 2D alloys not only offers the opportunities to fine-tune their physical/chemical properties, but also opens up some unique properties, which are highly desirable for wide applications including electronics, optoelectronics and catalysis. This review summarizes the recent progress in the preparation, characterization and applications of 2D alloyed TMD nanosheets.
  • Junqiang Yang, Xiaochi Liu, Qianli Dong, Yaqi Shen, Yuchuan Pan, Zhongwang Wang, Kui Tang, Xianfu Dai, Rongqi Wu, Yuanyuan Jin, Wei Zhou, Song Liu, Jian Sun
    中国化学快报. 2022, 33(01): 177-185. https://doi.org/10.1016/j.cclet.2021.06.078
    摘要 ( ) PDF全文 ( ) HTML 可视化 收藏
    Since the discovery of graphene, two-dimensional (2D) semiconductors have been attracted intensive interest due to their unique properties. They have exhibited potential applications in next generation electronic and optoelectronic devices. However, most of the 2D semiconductor are known to suffer from the ambient oxidation which degrade the materials and therefore hinder us from the intrinsic materials' properties and the optimized performance of devices. In this review, we summarize the recent progress on both fundamentals and applications of the oxidations of 2D semiconductors. We begin with the oxidation mechanisms in black phosphorus, transition metal dichalcogenides and transition metal monochalcogenides considering the factors such as oxygen, water, and light. Then we show the commonly employed passivation techniques. In the end, the emerging applications utilizing controlled oxidations will be introduced.
  • Yamei Lin, Jie Yu, Xing Zhang, Jingkun Fang, Guo-Ping Lu, He Huang
    中国化学快报. 2022, 33(01): 186-196. https://doi.org/10.1016/j.cclet.2021.06.045
    摘要 ( ) PDF全文 ( ) HTML 可视化 收藏
    Porous carbon materials have attracted much attention in the field of organic synthesis in recent years, due to their tunable properties, excellent catalytic activity and stability. Biomass-based carbohydrates emerge as an ideal precursor for the generation of these materials owing to their renewability, low cost, non-toxicity and high content of functional groups. Thus, carbon materials prepared from carbohydrates is of considerable importance for the sustainable development of organic chemistry. The present review not only summarizes recent examples of carbohydrate-derived porous carbon material-catalyzed organic reactions including the oxidation, hydrogenation, cross-coupling, esterification and condensation reactions, but also introduces the preparation and functionalization strategies of these materials. Furthermore, the challenges and opportunities of organic synthesis over these sustainable materials have also been addressed. This review will stimulate further research on exploring novel carbohydrate-derived porous carbon materials and new sustainable organic synthetic processes over these materials.
  • 通信
  • Wei Tian, Bowen Li, Duanshuai Tian, Wenjun Tang
    中国化学快报. 2022, 33(01): 197-200. https://doi.org/10.1016/j.cclet.2021.06.091
    摘要 ( ) PDF全文 ( ) HTML 可视化 收藏
    A palladium-catalyzed 2-alkylation of indoles with α-bromo esters is developed by employing a P,P=O ligand. The method features excellent regioselectivities, mild reaction conditions, and good functional group compatibility. The employment of the P,P=O ligand as well as 4 Å molecular sieves were crucial for the success of the transformation. Mechanistic studies indicate the reaction proceed through a radical pathway.
  • Mengyang Bai, Guanyu Tao, Zhenxing Liu, Lili Wang, Zheng Duan
    中国化学快报. 2022, 33(01): 201-204. https://doi.org/10.1016/j.cclet.2021.05.062
    摘要 ( ) PDF全文 ( ) HTML 可视化 收藏
    A facile access to mono-C-alkynyl-o-carboranes from o-carboranes and arylsulfonylacetylenes was developed. This facile process tolerates a wide variety of functional groups, occurs at mild conditions in one-pot procedure with short reaction time. The obtained mono-C-alkynyl-o-carboranes can be easily derivatized to synthesize 1,2-difunctionalized o-carboranes. This work provides a useful tool for the functionalization of o-carboranes.
  • Mingxuan Liu, Xiaoling Zhang, Sainan Chu, Yanyu Ge, Tao Huang, Yonghong Liu, Lei Yu
    中国化学快报. 2022, 33(01): 205-208. https://doi.org/10.1016/j.cclet.2021.05.061
    摘要 ( ) PDF全文 ( ) HTML 可视化 收藏
    Selenization reaction with the in situ prepared NaHSe has been successfully developed to occur in aqueous solution. The technique affords a method to upload the bioactive Se element on cotton products in semi-industrial scale. The antibacterial tests revealed that the selenized cotton possessed a potent and prolonged antimicrobial effect against both Gram-positive S. aureus and Gram-negative E. coli bacteria. This work discloses a practical method for preparing the selenium-containing antibacterial materials concisely and directly with industrial application potential.
  • Yamin Liu, Siyang Jiang, Weipeng Mao, Pintao Li, Fang Zhou, Da Ma
    中国化学快报. 2022, 33(01): 209-212. https://doi.org/10.1016/j.cclet.2021.07.024
    摘要 ( ) PDF全文 ( ) HTML 可视化 收藏
    Glutathione thiol-reactive pillar [6]arene (TWP6) is designed and synthesized as the first example of reducing agent-reactive host molecule. TWP6 shows high affinity binding towards suitable anti-tumor drugs and guests. Doxorubicin-based acid-labile prodrugs and TWP6 are used to construct supramolecular vesicles, which are also loaded with camptothecin. The supramolecular vesicles loaded with two drugs demonstrate glutathione- and acid-responsive drug release as well as sequential release to both stimuli types. Supramolecular vesicles show combination therapeutic effect towards tumor cells in vitro.
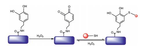
  • Ling Feng, Ping Wang, Yi Feng, Jie Zhang, Qingxin Chen, Yusheng Xie, Jingdong Luo, Jiang Xia, Shao Q. Yao, Hongyan Sun
    中国化学快报. 2022, 33(01): 213-216. https://doi.org/10.1016/j.cclet.2021.06.056
    摘要 ( ) PDF全文 ( ) HTML 可视化 收藏
    Microarray technology has been widely applied in biomedical research. The key to microarray study is to develop efficient immobilization method. In this study, we designed a new reversible microarray immobilization method based on thiol-quinone reaction. A quinone-functionalized slide was fabricated through H2O2 treatment of dopamine-coated slides. Various thiol-containing molecules can be anchored onto the quinone-functionalized slides via thioether linker, which could be cleaved under H2O2 treatment to regenerate quinone groups on the surface. The highly versatile approach can be widely used for immobilization of various thiol-containing molecules.
  • Chao Guo, Linan Su, Dawei Yang, Baomin Wang, Jingping Qu
    中国化学快报. 2022, 33(01): 217-220. https://doi.org/10.1016/j.cclet.2021.06.070
    摘要 ( ) PDF全文 ( ) HTML 可视化 收藏
    Thiolate-bridged hetero-bimetallic complexes [Cp*M(MeCN)N2S2FeCl] [PF6] (2, M = Ru; 3, M = Co, Cp* = η5-C5Me5, N2S2 = N,N'-dimethyl-3,6-diazanonane-1,8-dithiolate) were prepared by self-assembly of dimer [N2S2Fe]2 with mononuclear precursor [Cp*Ru(MeCN)3] [PF6] or [Cp*Co(MeCN)3] [PF6]2 in the presence of CHCl3 as a chloride donor. Complexes 2 and 3 exhibit obviously different redox behaviors investigated by cyclic voltammetry and spin density distributions supported by DFT calculations. Notably, iron-cobalt complex 3 possesses versatile reactivities that cannot be achieved for complex 2. In the presence of CoCp2, complex 3 can undergo one-electron reduction to generate a stable formally CoIIFeII complex [Cp*CoN2S2FeCl] (4). Besides, the terminal chloride on the iron center in 3 can be removed by dehalogenation agent AgPF6 or exchanged with azide to afford the corresponding complexes [Cp*Co(MeCN)N2S2Fe(MeCN)] [PF6]2 (5) and [Cp*Co(MeCN)N2S2Fe(N3)] [PF6] (6). In addition, complexes 2, 3 and 4 show distinct catalytic reactivity toward the disproportionation of hydrazine into ammonia. These results may be helpful to understand the vital role of the heterometal in some catalytic transformations promoted by heteromultinuclear complexes.
  • Han Wang, Yongbin Xie, Yicheng Zhou, Nannan Cen, Wenbo Chen
    中国化学快报. 2022, 33(01): 221-224. https://doi.org/10.1016/j.cclet.2021.06.008
    摘要 ( ) PDF全文 ( ) HTML 可视化 收藏
    A new electrochemical strategy for trifluoromethylation/cyclization using TfNHNHBoc as a CF3 source was established. This approach was realized by the direct electrolysis of TfNHNHBoc under external oxidant-free and catalyst-free conditions, and afforded various trifluoromethylated oxindoles with good functional group compatibility and broad substrate scope. Preliminary mechanistic studies show that the reaction proceeds by a radical process.
  • Zhuomin Chi, Yuzhen Gao, Lei Yang, Chunlin Zhou, Meng Zhang, Peiming Cheng, Gang Li
    中国化学快报. 2022, 33(01): 225-228. https://doi.org/10.1016/j.cclet.2021.06.001
    摘要 ( ) PDF全文 ( ) HTML 可视化 收藏
    A visible-light-induced spirocyclizative hydroarylation via reductive dearomatization of a series of non-activated arenes including 2-phenyl indoles and naphthalene derivatives under mild conditions is described. An intriguing chemoselective dearomative hydroarylation of 2-phenyl indoles is presented. This dearomative hydroarylation protocol rapidly delivers valuable spirocycles with carbon-carbon double bonds from readily accessible aromatic precursors in a single step.
  • Lingyun Zhu, Wei Zeng, Menghua Li, Meijin Lin
    中国化学快报. 2022, 33(01): 229-233. https://doi.org/10.1016/j.cclet.2021.06.003
    摘要 ( ) PDF全文 ( ) HTML 可视化 收藏
    The synthesis, structure, and properties of pyrene-based conformationally adaptive macrocycles are described. This new type of conformationally adaptive macrocycle was constructed through Perkin reaction, followed by imidization. By changing the condensation partner as the linking unit, a family of conjugated macrocycles with different sizes of the cavity was synthesized, which provide a simple and modular synthetic strategy towards the conformationally adaptive macrocycles. Furthermore, the macrocycles provide two well-defined conformations through flipping pyrene subunit, which were unambiguously determined by single-crystal X-ray diffraction analysis. The conformational interconversion barrier was determined by density functional theory (DFT) calculations. This new macrocycle also demonstrated unique properties, such as vapochromic behavior and aggregation emission enhancement effect. Furthermore, we have also investigated the effect of the linker on the shape and photophysical properties of the resulting macrocyclic products.
  • Pengyu Wu, Chun Cai
    中国化学快报. 2022, 33(01): 234-238. https://doi.org/10.1016/j.cclet.2021.05.059
    摘要 ( ) PDF全文 ( ) HTML 可视化 收藏
    Catalytic hydrodeoxygenation (HDO) is one of the most effective methods to upgrade the oxygen-containing compounds derived from coal tar to valuable hydrocarbons. Herein, an efficient bimetallic catalyst Pt1Ni4/MgO was prepared and applied in the HDO of dibenzofuran (DBF). High yield (95%) of the desired product bicyclohexane (BCH) was achieved at 240 °C and 1.2 MPa of H2. Superior catalytic performance could be ascribed to the "relay catalysis" of Pt sites and Ni sites, and the reaction pathway is proposed as well. Scale-up experiment and recyclability test were also performed, which demonstrated the recyclability and promising potential application of Pt1Ni4/MgO.
  • Shuangyan Liu, Taishan Yan, Qiuxia Wu, Zheng Xu, Jie Han
    中国化学快报. 2022, 33(01): 239-242. https://doi.org/10.1016/j.cclet.2021.07.023
    摘要 ( ) PDF全文 ( ) HTML 可视化 收藏
    A new micro-spherical conjugated macrocycle polymer (P [5]-TFB-CMP) was prepared by the condensation reaction between dihydrazide functionalized pillar [5]arene and 1,3,5-triformylbenzene under ambient conditions. P [5]-TFB-CMP exhibits large surface area with excellent thermal stability and has been used as additive to prepare composite PMMA film of photochromic naphthopyrans. The results showed that the addition of P [5]-TFB-CMP could dramatically accelerate the thermal fading rate of the photochromic composite film by up to 12 times. This is a new strategy to overcome the drawback of the matrix effect.
  • Ru Liang, Lijun Huo, Ao Yu, Jinjing Wang, Chunman Jia, Jianwei Li
    中国化学快报. 2022, 33(01): 243-246. https://doi.org/10.1016/j.cclet.2021.05.046
    摘要 ( ) PDF全文 ( ) HTML 可视化 收藏
    Room temperature phosphorescent (RTP) materials have a variety of applications ranging from bio-imaging, optoelectronic devices to information security protection. However, the preparation procedures for these materials are always tedious and time-consuming. Here, we report a micro-wave approach to prepare RTP carbon dots (CDs) in only 8 min. The micro-wave promoted the carbon and boron bond formation using natural compounds glucose and boric acids. This result has been confirmed using TEM, FTIR, XPS and XRD measurements. The C-B hetero atomized material presented a long afterglow property. With the irradiation with UV light, we observed an eight-second RTP by naked eyes after the lamp was turned off, and the phosphorescence lifetime was 487 ms. This excellent performance was mainly due to the formation of B-C bonds that promoted the intersystem crossings (ISC) and non-radiation transition of triplet states. Moreover, the glass state of the materials also helped to stabilize the triplet states of B-CDs and made its non-irradiation inactivated, which resulted in the characteristics of yellow green RTP. These results have demonstrated that micro-wave is a convenient and effective strategy to make hetero atomized RTP material, providing new possibilities for their industrial productions.
  • Jun Xu, Jinsheng Zhang, Daobin Yang, Kuibao Yu, Dandan Li, Zihao Xia, Ziyi Ge
    中国化学快报. 2022, 33(01): 247-251. https://doi.org/10.1016/j.cclet.2021.06.023
    摘要 ( ) PDF全文 ( ) HTML 可视化 收藏
    Star-shaped small molecules have attracted great attention for organic solar cells (OSCs) because they have three-dimensional charge-transport characteristics, strong light absorption capacities and easily tunable energy levels. Herein, three- and four-armed star-shaped small molecule donors, namely BDT-3Th and BDT-4Th, respectively, have been successfully designed and synthesized, which used benzodithiophene (BDT) as the central unit. The two star-shaped intermediates (2a and 2b) could be simultaneously obtained by one-step of Suzuki coupling, and 1,2-dimethoxyethane played a key role in the Suzuki coupling. Both of them have excellent thermal stability, good solubility and broad absorption. Four-armed BDT-4Th shows a slightly higher extinction coefficient, a deeper HOMO energy level and an obviously better phase separation morphology when blended with Y6 than three-armed BDT-3Th. As a result, increased power conversion efficiency (PCE) of 5.83% is obtained in the BDT-4Th:Y6-based OSC devices, which is obviously higher than that of the BDT-3Th:Y6-based devices (PCE = 3.78%). To the best of our knowledge, this is the highest PCE among the BDT-based star-shaped donors-based OSCs. This result provides an effective strategy to obtain star-shaped small molecule donor materials for high efficient organic solar cells.
  • Na Wang, Hang Yao, Qi Tao, Jing Sun, Hao Ma, Yang Wang, ChengCheng Zhou, Hongying Fan, Hongxia Shao, Aijian Qin, Dawei Su, Chenyin Wang, Hui Chong
    中国化学快报. 2022, 33(01): 252-256. https://doi.org/10.1016/j.cclet.2021.06.092
    摘要 ( ) PDF全文 ( ) HTML 可视化 收藏
    Two amphiphilic TPE E/Z isomers with aggregation induced emission (AIE) property have been synthesized and characterized. The logarithmic fluorescent intensity of the two molecules was in positive relationship with logarithmic viscosity of liquid. To note, the Z-TPE isomer exhibited more sensitivity in the viscosity of liquid sensing in comparison with the corresponding E-TPE counterpart (around 1.80 folds). Furthermore, two molecules could be used as fluorescent sensors for mechanical properties (viscosity and storage modulus) of hydrogel as well. In addition, two sensors displayed low cytotoxicity in normal tissue cell line (L929) within the concentration range of 2-10 μmol/L. These results potentially promised their applications as fluorescent sensors for mechanical properties in the fields of biological and biomedical.
  • Xue-Yi Sun, Yulong Zhong, Yao-Hua Li, Daniel P. Miller, Sagar Buttan, Xiang-Xiang Wu, Yukun Zhang, Quan Tang, Hong-Wei Tan, Jin Zhu, Rui Liu, Eva Zurek, Zhong-Lin Lu, Bing Gong
    中国化学快报. 2022, 33(01): 257-261. https://doi.org/10.1016/j.cclet.2021.06.019
    摘要 ( ) PDF全文 ( ) HTML 可视化 收藏
    Five hybrid tetrapeptides, each consisting a central dipeptide segment of α-amino acid residues flanked by two aromatic γ-amino acid residues, are found to fold into well-defined β-hairpin conformations as shown by NMR, computational study, and X-ray structures. The turn loop of this β-hairpin motif accommodates different two-residue α-amino acid sequences from the highly flexible Gly-Gly, to the more restricted d-Pro-Gly. The presence of α-amino acid side chains enhances the stabilities of the β-hairpins with the exception of d-Pro-Gly-which results in destabilization. Based on this hairpin/turn motif, a variety of different dipeptide sequences of α-amino acids which rarely occur in β-turns can be introduced and presented as two-residue loops.
  • Can Huang, Jiahao Liu, Hai-Hua Huang, Xianfang Xu, Zhuofeng Ke
    中国化学快报. 2022, 33(01): 262-265. https://doi.org/10.1016/j.cclet.2021.06.046
    摘要 ( ) PDF全文 ( ) HTML 可视化 收藏
    Electronic tuning by para substitutions was explored to achieve a highly active manganese N-heterocyclic carbene pincer complex for the selective electrocatalytic reduction of CO2 to CO. [MnCNCOMe]BF4 (L2-Mn) bearing an electron-donating group (-OMe) showed high activity with 63×catalytic current enhancement, average Faradaic efficiency of 104%, and a TOFmax value of 26,127 s-1, which is 127 times higher than that of unsubstituted [MnCNCH]Br (L1-Mn) reported previously. In contrast, the electron-withdrawing group (-COOMe) in [MnCNCCOOMe]PF6 (L3-Mn) inhibited the electrocatalytic activity. Ambient Brønstic acid, however, suppressed the activity of L2-Mn probably due to the protonation of the -OMe group. These findings indicate a potential electronic tuning strategy to improved manganese N-heterocyclic carbene catalysts for CO2 reduction.
  • Guanxin Zhu, Zheng-Chao Duan, Haiyan Zhu, Dongdong Ye, Dawei Wang
    中国化学快报. 2022, 33(01): 266-270. https://doi.org/10.1016/j.cclet.2021.06.060
    摘要 ( ) PDF全文 ( ) HTML 可视化 收藏
    Earth abundant metals are much less expensive, promising, valuable metals and could be served as catalysts for the borrowing hydrogen reaction, dehydrogenation and heterocycles synthesis, instead of noble metals. The uniformly dispersed zinc composites were designed, synthesized and carefully characterized by means of XPS, EDS, TEM and XRD. The resulting zinc composite showed good catalytic activity for the N-alkylation of amines with amines, ketones with alcohols in water under base-free conditions, while unsaturated carbonyl compounds could also be synthesized by tuning the reaction conditions. Importantly, it was the first time to realize the synthesis of 2-aryl-1H-benzo [d]imidazole derivatives by using this zinc composite under green conditions. Meanwhile, this zinc catalyst could be easily recovered and reused for at least five times.
  • Zhichao Wang, Qianli Ma, Xuan Huang, Tian Zhang, Jiawei Shao, Xinglin Zhang, Qian Shen, Xiaochen Wang, Jinjun Shao
    中国化学快报. 2022, 33(01): 271-275. https://doi.org/10.1016/j.cclet.2021.06.072
    摘要 ( ) PDF全文 ( ) HTML 可视化 收藏
    Acenapththylene-imide (AnI), similar to naphthalene diimide (NDI), is an outstanding building block for organic functional materials and has gained a lot of research attention. Herein, Sulphur and Selenium-embedded AnI-containing polycyclic aromatic hydrocarbon molecules, AnI-SQ and AnI-SeQ, with [1,2,5]thiadiazolo [3,4-g]quinoxaline (SQ) and [1,2,5]selenadiazolo [3,4-g]quinoxaline (SeQ) are designed and synthesized with low-lying LUMO energy levels. The absorption and emission of AnI-SQ and AnI-SeQ displayed a bathochromic shift upon protonation of the C = N bond. Besides, theoretical calculation indicates remarkable rigid planar backbones for both AnI-SQ and AnI-SeQ. Through self-assembly with polymeric Pluronic® F-127, corresponding hydrophilic nanoparticles (NPs) were prepared with low cytotoxicity. And AnI-SQ NPs could be applied for in vitro two-photon fluorescence imaging.
  • Shengxian Zhai, Shuxian Qiu, Shuai Yang, Bingyan Hua, Yongsheng Niu, Chuchu Han, Youzhu Yu, Yuchao Li, Hongbin Zhai
    中国化学快报. 2022, 33(01): 276-279. https://doi.org/10.1016/j.cclet.2021.06.081
    摘要 ( ) PDF全文 ( ) HTML 可视化 收藏
    We have developed a metal-free radical cascade reaction of N-substituted 2-aryl indoles with readily available sulfonyl hydrazides for the rapid construction of arylsulfonyl-substituted indolo [2,1-a]isoquinolin-6(5H)-one derivatives. With the TBAI-TBHP catalytic system, a broad series of structurally diverse indolo [2,1-a]isoquinolin-6(5H)-one derivatives were obtained in moderate to excellent yields. The reaction features mild reaction conditions, operationally easiness, scaled-up feasibility, and high functional-group-tolerance.
  • Zhibo Yin, Luoyi Fan, Chaojun Lin, Haonan Shi, Bangyuan Xiong, Jiajian Gu, Yanpeng Zhu, Jiaobing Wang
    中国化学快报. 2022, 33(01): 280-282. https://doi.org/10.1016/j.cclet.2021.06.057
    摘要 ( ) PDF全文 ( ) HTML 可视化 收藏
    We describe a janusarene derivative PyJ, which forms micrometer-scale one-dimensional metallo-supramolecular polymer through coordination driven self-assembly. PyJ is a well-preorganized dodecatopic pyridyl ligand built on a hexaphenylbenzene platform. The two-face structural feature of PyJ allows for a delicate control over multiple Py-Ag+-Py coordination interactions, leading to assembled structure of PyJ-Ag+, which was characterized by dynamic light scattering, atomic force microscopy, and transmission electron microscopy.
  • Yaqi Wang, Ling Ding, Hui Yu, Feng Liang
    中国化学快报. 2022, 33(01): 283-287. https://doi.org/10.1016/j.cclet.2021.06.044
    摘要 ( ) PDF全文 ( ) HTML 可视化 收藏
    Based on the host-guest molecular recognition capability of cucurbit [6]uril (CB [6]) modified on the gold surface, sensitive spectrophotometric and electrochemical methods for the detection of metformin (MET) have been developed. The molecular recognition between cucurbit [7]uril (CB [7]) or CB [6] and MET is initially demonstrated and the related recognition mechanism is further deliberated. First, CB [6]-modified gold nanoparticles (AuNPs/CB [6]) were synthesized and then characterized by ultraviolet visible light spectrum (UV-vis) and transmission electron microscopy (TEM). The aggregation of AuNPs/CB [6] prompted by MET triggered changes of color and the absorption spectrum, that explored for the visual identification and spectrophotometric determination of MET. Under the optimized detection conditions, the UV-vis spectrometry had a good linear relationship in the range of 6-700 μmol/L, and the detection limit was 2 μmol/L. In addition, a single-layer CB [6]-modified gold electrode (GE-CB [6]) detection system for MET was constructed. As the concentration of MET in the solution continues to increase, the charge transfer resistance (Rct) in the Nyquist diagram of the electrochemical impedance method (EIS) continues to increase. In the concentration range from 10 pmol/L to 20 nmol/L, the logarithm of the MET concentration has a good linear relationship with Rct, and the detection limit of this method is 1.35 pmol/L. Both methods have good concentration sensitivity to MET in different concentration ranges, providing a powerful tool for the detection of MET.
  • Jing Fang, Ting Li, Xiang Ma, Jiuchang Sun, Lei Cai, Qi Chen, Zhiwen Liao, Lingkui Meng, Jing Zeng, Qian Wan
    中国化学快报. 2022, 33(01): 288-292. https://doi.org/10.1016/j.cclet.2021.06.069
    摘要 ( ) PDF全文 ( ) HTML 可视化 收藏
    A sulfonium ylide participated alkylation and arylation under transition-metal free conditions is described. The disparate reaction pattern allowed the separate activation of non-ylidic S-alkyl and S-aryl bond. Under acidic conditions, sulfonium ylides serve as alkyl cation precursors which facilitate the alkylations. While under alkaline conditions, cleavage of non-ylidic S-aryl bond produces O-arylated compounds efficiently. The robustness of the protocols were established by the excellent compatibility of wide variety of substrates including carbohydrates.
  • Min Xie, Chaobo Huang, Yongqi Liang, Shuang Li, Liping Sheng, Yi Cao
    中国化学快报. 2022, 33(01): 293-297. https://doi.org/10.1016/j.cclet.2021.06.049
    摘要 ( ) PDF全文 ( ) HTML 可视化 收藏
    MoS2 nanosheets (NSs) are novel 2D nanomaterials (NMs) with potential uses in many areas, and therefore oral exposure route to MoS2 NSs is plausible. Currently, MoS2 NSs are considered as biocompatible NMs, but there is lacking of systemic investigations to study the interactions of MoS2 NSs with intestinal cells. In this study, we exposed the 3D Caco-2 spheroids to MoS2 NSs or MoS2 powders (denoted as MoS2-bulk), and investigated the potential adverse effects of MoS2-materials based on transcriptomics and lipidomics analysis. As expected, both MoS2 NSs and MoS2-bulk were dose-dependently internalized into 3D Caco-2 spheroids but did not induce cytotoxicity, membrane disruption or decrease of thiols. However, the Gene Ontology (GO) and Kyoto Encyclopedia of Gene and Genomes (KEGG) analysis indicated that nutrient absorption and metabolism was decreased. One of the most significantly decreased KEGG pathways is fat digestion and absorption (map04975), and Western blotting analysis further showed that fatty acid binding protein 1 and apolipoprotein A1, key proteins involved in fat digestion and absorption, were down-regulated by MoS2 NSs or MoS2-bulk. In addition, BODIPY 493/503 staining suggested that exposure to MoS2 NSs and MoS2-bulk decreased lipid levels in the spheroids. However, lipidomics data indicated that MoS2 materials only decreased 8 lipid classes, including lysophosphatidylcholine, lysodimethylphosphatidylethanolamine, N-acylethanolamine, ceramide phosphoethanolamines, gangliosides, lysosphingomyelin and sulfatide, whereas most of the lipid classes were indeed increased. In addition, MoS2 NSs was more potent to decrease the lipid classes compared with MoS2-bulk. Combined, the results from this study showed that MoS2 NSs and bulk materials were non-cytotoxic but altered lipid profiles in 3D Caco-2 spheroids.
  • Wenying Mi, Na Shao
    中国化学快报. 2022, 33(01): 298-303. https://doi.org/10.1016/j.cclet.2021.06.039
    摘要 ( ) PDF全文 ( ) HTML 可视化 收藏
    White-light-emitting diodes (WLEDs) possess many merits, such as high efficiency and stability. Developing cost-effective, environmentally friendly, high-performance luminophores to achieve high-quality, full-spectrum, white lighting is of great importance to the construction and progress of WLEDs. In this work, solid-state, highly luminescent orange-emitting nanoclusters (MgCl2-Lys-Ag/Au NCs) were prepared via the salt-induced precipitation of Lys-Ag/Au NCs from solution, which showed a high absolute quantum yield of 44.5%. A cyan-emitting metal-organic framework (MOF)-like nanomaterial (named Fe@TAOH) was also prepared by the self-assembly of the coordination compound of Fe3+ and TAOH acted upon by H3PO4 via H-bonding and π-π stacking interactions, which showed an emission peak at 485 nm and an absolute quantum yield of 21.7%. The potential application of the two facile-synthesis, low toxicity, and highly luminescent materials in WLEDs was investigated. The WLEDs was constructed by coating powdered Fe@TAOH and MgCl2-Lys-Ag/Au NCs samples on commercial GaN LED chip with 365 nm emissions, and it exhibited acceptable white light characteristics with a CIE color coordinates and a color rendering index (CRI) of (0.28, 0.34) and 79.6, respectively, implying good prospects in the field of WLEDs.
  • Chang Liu, Rui Cheng, Jiazhuang Guo, Ge Li, He Li, Hong-Gang Ye, Zhi-Bin Liang, Cai-Feng Wang, Su Chen
    中国化学快报. 2022, 33(01): 304-307. https://doi.org/10.1016/j.cclet.2021.06.073
    摘要 ( ) PDF全文 ( ) HTML 可视化 收藏
    Valuable application prospects and large-scale production technologies are powerful driving forces for the development of materials science. Carbon dots (CDs) are a kind of promising carbon-based fluorescent nanomaterials, which possess wide application prospects based and even beyond the fluorescence properties. Herein, we report the fast and high-yield synthesis of CDs and the large-scale preparation of fluorescent nanofiber films with enhanced mechanical properties. CDs were prepared from magnetic hyperthermia treatment of citric acid and carbamide, with the output of 25.37 g in a single batch. The as-prepared CDs exhibit a high absolute photoluminescence (PL) quantum yield (QY) of 67% and wonderful dispersibility in polar solvents. Then, solution blow spinning of CDs and polymer matrixes of alcohol soluble polyurethane (APU) and polyacrylonitrile (PAN) led to large-area fluorescent CDs-embedded nanofiber films, APU/CDs (size: 120 cm×18 cm) and PAN/CDs (size: 120 cm×22 cm), respectively. The resultant large-area APU/CDs and PAN/CDs nanofiber films have dramatically enhanced mechanical properties, to show integrated improvement of tensile strength and elongation.
  • Feiyue Hu, Bo Song, Xiaohan Wang, Shen Bao, Siyang Shang, Shupei Lv, Bingbing Fan, Rui Zhang, Jingguo Li
    中国化学快报. 2022, 33(01): 308-313. https://doi.org/10.1016/j.cclet.2021.07.018
    摘要 ( ) PDF全文 ( ) HTML 可视化 收藏
    Semiconductor-noble metal composite has become a research focus due to its superior performance compared with its respective component. Although various methods have been developed to synthesize semiconductor-noble metal heterostructures, most of them are relatively complex multistep and use toxic reactants of high cost and risk. In this work, a series of Cu2O/Ag heterojunctions were quickly prepared in one step via simple microwave-assisted green route. XRD, SEM, TEM, EDS, XPS, etc. were used to characterize obtained products, and the results indicate a Cu2O/Ag metal-semiconductor heterojunction in micro-nano size was fabricated successfully. In addition, antibacterial behavior of Cu2O/Ag heterojunctions against E. coli and S. aureus were investigated. Owing to the synergistic effect of Cu2O and Ag, the heterojunction exhibits much better antibacterial performance than the pristine Cu2O does. This work provides new insights into the green design and fabrication of surface-modified Cu2O hybrid multifunctional materials for antibacterial applications.
  • Lin Yang, Shuaidong Zhu, Zhimei He, Xiangli Li, Jiangning Chen, Sai Bi, Jun-Jie Zhu
    中国化学快报. 2022, 33(01): 314-319. https://doi.org/10.1016/j.cclet.2021.07.007
    摘要 ( ) PDF全文 ( ) HTML 可视化 收藏
    Herein, the nanoscaled ATP-responsive upconversion metal-organic frameworks (UCMOFs) are aqueous-phase synthesized for co-delivery of therapeutic protein cytochrome c (Cyt c) and chemodrugs doxorubicin (DOX), achieving targeted combinational therapy of human cervical cancer. The UCMOFs are rationally fabricated by growing ZIF-90 on mesoporous silica-coated upconversion nanoparticles (UCNPs), in which the ZIF-90 layer attenuates the upconversion luminescence (UCL) and the rigid frameworks increase the stability of encapsulated proteins. Once the UCMOF@DOX/Cyt c are internalized into HeLa cells via specific recognition of sgc8 aptamers, the intracellular ATP triggers the dissolution of ZIF-90 into Zn2+, which facilitates not only the release of Cyt c and DOX but also the restoration of UCL for real-time monitoring of drug release. It has been demonstrated that the therapeutic efficacy is greatly improved by the combination of caspase-mediated apoptosis activated by Cyt c (protein therapeutics), DNA fragmentation induced by DOX (chemotherapy), and Zn2+-promoted generation of reactive oxygen species (ROS) (oxidative stress). Overall, our proposed multifunctional UCMOFs provide an effective platform for targeted combinational cancer therapy and in situ imaging, which hold great promise in biomedical and clinical applications.
  • Qiulian Hao, Huan Peng, Ruichen Zhao, Jianze Wang, Zhiguo Lu, Jingwen Wang, Jie Shen, Yunwei Niu, Zuobing Xiao, Guiying Liu, Jifu Hao, Xin Zhang
    中国化学快报. 2022, 33(01): 320-323. https://doi.org/10.1016/j.cclet.2021.06.085
    摘要 ( ) PDF全文 ( ) HTML 可视化 收藏
    Essential oils are a volatile and aromatic substance with a variety of active biological activities. However, the excessive volatility and inconvenience of the use of essential oils limit their applications. In this study, we developed a reactive mesoporous silica nanoparticle (rMSNs) based on cyanuric chloride modification for essential oil encapsulation and commodity adhesion. The large pore volume and specific surface area of rMSNs facilitate the nanoparticles adhering to a large amount of essential oil and achieve the sustained release of essential oil, thus prolonging the fragrance retention time of essential oils. The reactive nano-essential oils can form covalent bonds with the wallpaper, thereby remarkably improving the adhesion of the reactive nano-essential oils on the wallpaper and preventing the reactive nano-essential oil from de-adhering from the wallpaper. The active nano essential oil simultaneously overcomes the intense volatility of the essential oil and inconvenience in use, has a simple preparation process and low cost, and has great application potential.
  • Yang Wang, Qing Li, Mengsheng Deng, Kuijun Chen, Jianmin Wang
    中国化学快报. 2022, 33(01): 324-327. https://doi.org/10.1016/j.cclet.2021.06.080
    摘要 ( ) PDF全文 ( ) HTML 可视化 收藏
    Metal-organic frameworks (MOFs) have recently allured a variety of concern in the fields of nanotechnology. However, exploring their biomedical applications is still a relatively new field. In this work, zeolite imidazole skeleton-8 (ZIF-8) was reported for the first time as a drug carrier for the treatment of lung injury. Uniform ZIF-8 nanoparticles encapsulating plumbagin (PLB) are achieved by a facile physical adsorption process. Scanning electron microscopy (SEM), powder X-ray diffraction (PXRD) and UV-vis absorption spectrum were conducted to investigate the physical properties of ZIF-8 and PLB@ZIF-8. In animal model, the collagen fibers deposition produced by severe lung injury is significantly decreased. The secretion of inflammatory factor TGF-β and IL-6 were efficiently dropped by the combination of plumbagin and ZIF-8. At the same time, the expressions of collagen I, α-SMA and TNF-α were also suppressed. This strategy puts forth a promising blueprint in the application of MOF materials, especially in biomedical fields.
  • Xinxin Liu, Cuixia Zheng, Yueyue Kong, Hao Wang, Lei Wang
    中国化学快报. 2022, 33(01): 328-333. https://doi.org/10.1016/j.cclet.2021.07.025
    摘要 ( ) PDF全文 ( ) HTML 可视化 收藏
    Photothermal therapy (PTT)-induced immune response has attracted much attention, however, which cannot work at full capacity. In this study, the simvastatin (SV) adjuvant is loaded into gold nanocages (AuNCs) to develop a simple drug delivery system, which can efficiently utilize the tumor-associated antigens (TAAs) for improving immune responses. AuNCs/SV-mediated PTT treatment enhances tumor cells damage and promotes the release of TAAs which are immediately captured by AuNCs/SV to form AuNCs/SV/TAAs recombinant nanoparticle. Impressively, AuNCs/SV/TAAs can accumulate in lymph nodes effectively due to the suitable size of ~55 nm and hyperthermia-induced vasodilative effect. And the co-delivery of antigen and adjuvant is beneficial to stimulating the maturation of dendritic cells for further activating T cells. In a word, the recombinant strategy could make full use of TAAs to produce an individual powerful immunotherapy.
  • Wei Zhang, Liquan Liu, Yangwei Liao, Wan Shu, Xiaofeng Tang, Kejun Dong, Zhihao Ming, Xianjin Xiao, Hongbo Wang
    中国化学快报. 2022, 33(01): 334-338. https://doi.org/10.1016/j.cclet.2021.06.067
    摘要 ( ) PDF全文 ( ) HTML 可视化 收藏
    Detection of point mutations in driver genes is of great significance for the early diagnosis, treatment, and prognostic evaluation of cancer. However, current detection methods do not offer versatility, specificity, and rapid performance simultaneously. Thus, multiple mutation detection processes are necessary, which results in long processing times and high costs. In this study, we developed a thermodynamics-guided two-way interlocking DNA cascade system for universal multiplexed mutation detection (TTI-CS). This strategy is based on the DNA probe, which changes the thermodynamic balance of the DNA cascade by the designed bubble structure, thereby achieving a good distinction between mutant and wild-type DNA. The designed method greatly shortens the detection time through two-way intrusion. In addition, this method only changes two inexpensive trigger and bridge sequences, which replace the specific and expensive nucleic acid probes used in analyses based on traditional DNA probe methods, thereby enabling multiple detections. We performed the detection of synthetic single-stranded DNA for the five mutation points and successfully detected in endometrial cancer specimens. The detection limit of this method is 0.1%, which better meets the needs of clinical low-abundance multiple mutation detection. Overall, TTI-CS is currently one of the best methods for detecting multiple mutation detections.
  • Guangjie Song, Di Jiang, Lei Wang, Xiangzhong Sun, Hongtian Liu, Yanqing Tian, Meiwan Chen
    中国化学快报. 2022, 33(01): 339-343. https://doi.org/10.1016/j.cclet.2021.06.076
    摘要 ( ) PDF全文 ( ) HTML 可视化 收藏
    Colorimetric and fluorescent probes have emerged as a potent tool for pH sensing due to easy operation and high sensitivity. However, most of the existing bimodal probes require complicated synthesis, which greatly limits their wide applications. Herein, a simple fluorescent dye (called BFCUR) featuring a D-π-A-π-D conjugated system was developed from the natural polyphenol curcumin (CUR). BFCUR exhibited significant red-shift in UV absorption and fluorescence emission as pH increased because of the deprotonation of the phenolic hydroxyl groups, which resulted in the enhanced intramolecular charge transfer (ICT). The ratiometric pH detection of BFCUR was achieved with remarkable accuracy by monitoring both the absorbance ratio A500/A650 and the fluorescence intensity ratio I622/I743 under various pH values. In addition, the clear color changes of BFCUR under different pH conditions were visible, which enabled BFCUR to be used in test strips for rapid, visual pH detection. Moreover, BFCUR exhibited low cytotoxicity, and was successfully applied for intracellular pH detection, where the fluorescence intensity was linearly related to pH value. This study highlighted the great potential of CUR-derived BFCUR as colorimetric and fluorescent probes for ratiometric-pH sensing and cell imaging.
  • Siyu Luo, Meng Sha, Fei Tian, Xialian Li, Lijie Fu, Yingqiu Gu, Lu-Lu Qu, Guo-Hai Yang, Chengzhou Zhu
    中国化学快报. 2022, 33(01): 344-348. https://doi.org/10.1016/j.cclet.2021.06.018
    摘要 ( ) PDF全文 ( ) HTML 可视化 收藏
    The rational design of nanozymes with superior activities is essential for improving bioassay performances. Herein, nitrogen and boron co-doped graphene nanoribbons (NB-GNRs) are prepared by a hydrothermal method using urea as the nitrogen source and boric acid as the boron source, respectively. The introduction of co-doped and edge structures provides high defects and active sites. The resultant NB-GNRs nanozymes show superior peroxidase-like activities to nitrogen-doped and boron-doped counterparts due to the synergistic effects. By taking advantage of their peroxidase-like activities, NB-GNRs are used for the first time to develop enzyme-linked immunosorbent assay for the detection of interleukin-6. The biosensors exhibit a high performance with a linear range from 0.001 ng/mL to 1000 ng/mL and a detection limit of 0.3 pg/mL. Due to their low cost and high stability, the proposed nanomaterials show great promise in biocatalysis, immunoassay development and environmental monitoring.
  • Jiamin Xu, Xiaowen Guo, Yejun Guan, Peng Wu
    中国化学快报. 2022, 33(01): 349-353. https://doi.org/10.1016/j.cclet.2021.06.012
    摘要 ( ) PDF全文 ( ) HTML 可视化 收藏
    The selective hydrogenation of CC to C=C bonds is an important step, yet remains to be a great challenge in chemical industry. In this study, we have revealed the influence of Pd deposition pH value on the catalytic performance of Pd-CuO/SiO2 catalyst for the semi-hydrogenation of 2-methyl-3-butyn-2-ol (MBY). Trace amount of Pd (about 500 ppm) was loaded via deposition-reduction method on CuO/SiO2 support by using H2PdCl4 solution as precursor and NaBH4 as reductant, respectively. The pH value at which Pd was deposited was adjusted to about 5 and 7 by adding NaOH solution. The obtained catalysts were characterized by several techniques including XRD, TEM, H2-TPR, etc. In the case of pH value of 5, the CuO was partially dissolved during the deposition and then co-reduced with Pd2+ by NaBH4, forming PdCu alloy structure in sub-nanometer. In contrast, no PdCu alloy structure was observed when pH value was 7. The kinetics of MBY semi-hydrogenation over both catalysts were compared. The former PdCu alloy catalyst showed very high selectivity towards the semi-hydrogenation of MBY due to its low activity in hydrogenation of C=C bond in 2-methyl-3-buten-2-ol (MBE). The results herein demonstrated that the pH value where Pd was deposited played a crucial role in determining the catalytic performance of PdCu catalyst.
  • Guoping Yang, Yufeng Liu, Xiaoling Lin, Bangming Ming, Ke Li, Changwen Hu
    中国化学快报. 2022, 33(01): 354-357. https://doi.org/10.1016/j.cclet.2021.05.008
    摘要 ( ) PDF全文 ( ) HTML 可视化 收藏
    A new metal-oxo-clusters-based inorganic framework [NaCo2Mo2O7(OH)3]n (NaCoMo), named as 3D platelike ternary-oxo-cluster, has been hydrothermally synthesized and characterized by single-crystal X-ray diffraction structure analysis, FT-IR spectroscopy, powder X-ray diffraction (PXRD), scanning electron microscope (SEM), energy-dispersive X-ray spectroscopy (EDS) analyses, X-ray photoelectron spectroscopy (XPS) and thermogravimetric analysis (TGA). Structure analysis reveals that there are no classical building units in NaCoMo, and the asymmetric units of NaCoMo are directly extended into a new platelike 3D structure. Density functional theory calculations (DFT) indicates that the crystal formation process is exothermic and the structure is extremely stable. In addition, the compound presents excellent catalytic activity in the condensation and cyclization reaction of sulfonyl hydrazides and 1,3-diketones to synthesize pyrazoles, and the yield of the desired product is up to 99%. The successful synthesis of NaCoMo represents the discovery of a new kind of non-classical polyoxometalates.
  • Ying-Ying Li, Rong-Zhen Liao
    中国化学快报. 2022, 33(01): 358-361. https://doi.org/10.1016/j.cclet.2021.06.028
    摘要 ( ) PDF全文 ( ) HTML 可视化 收藏
    Vitamin B12 (macrocyclic cobalamin) has been recently reported to be capable of electrochemically catalyzing water oxidation in a neutral phosphate buffer solution. In this work, density functional calculations were employed to elucidate the water oxidation mechanism catalyzed by vitamin B12. The calculations showed that the catalytic cycle starts from the L·-CoII-OH2 complex 1. A proton-coupled electron transfer process then leads to the formation of a L·-CoIII-OH complex 2, followed by another proton-coupled electron transfer event to afford a corrin ligand radical cation intermediate 3 (L·-CoIII-O·). The redox non-innocent nature of the corrin ligand plays an essential role in the oxidation process. 3 is capable of triggering the O-O bond formation via a water nucleophilic attack mechanism, in which a hydrophosphate dianion functions as a base to accept a proton from the water nucleophile. A dioxygen molecule is released after the oxidation of the CoIII-OOH intermediate. The rate-determining step was calculated to be the O-O bond formation with a total barrier of 16.5 kcal/mol. While the use of water molecules as the proton acceptor was found to be less feasible for the O-O bond formation, with a barrier of 31.2 kcal/mol, further highlighting the crucial of phosphate in water oxidation.
  • Min Zhang, Bolong Yang, Ting Yang, Yahui Yang, Zhonghua Xiang
    中国化学快报. 2022, 33(01): 362-367. https://doi.org/10.1016/j.cclet.2021.06.054
    摘要 ( ) PDF全文 ( ) HTML 可视化 收藏
    Unremitting and intensive researches about efficient non-precious metal electrocatalysts are necessary for large-scale commercial applications of fuel cells, while iron and nitrogen co-doped carbon (Fe-N-C) materials has become one of the most promising electrocatalysts to replace Pt-based noble metal catalysts. However, the traditional Fe-doped ZIF with rhomb dodecahedron morphology limits the exposure of active sites and the utilization of atoms, even affecting the performance of the catalyst. Herein, a Fe/N co-doped catalyst with a flower-like morphology was prepared using ferric citrate source along with secondary NH3 heat treatment. The optimal catalyst (termed as 4Fecitrate-N-C-3) showed distinguished oxygen reduction reaction (ORR) activity with a half-wave potential of 0.8 and 0.9 V (vs. RHE) in acid and alkaline media, respectively. In addition, 4Fecitrate-N-C-3 maintained more than 80% of original activity even after 50,000 s which is superior to the benchmark Pt/C. The strategy of controlling morphology and composition is meaningful for the optimization of non-precious metal electrocatalysts for ORR in fuel cells or metal-air batteries.
  • Yanpeng Liu, Ming Yang, Junpeng Lu, Ying Liu, Hongwei Liu, Erwen Zhang, Wei Fu, Junyong Wang, Zhenliang Hu, Jun Yin, Goki Eda, Shijie Wang, Jiabao Yi, Ajayan Vinu, Kian Ping Loh
    中国化学快报. 2022, 33(01): 368-373. https://doi.org/10.1016/j.cclet.2021.06.079
    摘要 ( ) PDF全文 ( ) HTML 可视化 收藏
    Metal-semiconductor diodes constructed from two-dimensional (2D) van der Waals heterostructures show excellent gate electrostatics and a large built-in electric field at the tunnel junction, which can be exploited to make highly sensitive photodetector. Here we demonstrate a metal-semiconductor photodiode constructed by the monolayer graphene (Gr) on a few-layer black phosphorus (BP). Due to the presence of a built-in potential barrier (~0.09 ±0.03 eV) at the Gr-BP interface, the photoresponsivity of the Gr-BP device is enhanced by a factor of 672%, and the external quantum efficiency (EQE) increases to 648% from 84% of the bare BP. Electrostatic gating allows the BP channel to be switched between p-type and n-type conduction. We further demonstrate that excitation laser power can be used to control the current polarity of the Gr-BP device due to photon-induced doping. The versatility of the Gr-BP junctions in terms of electrostatic bias-induced or light-induced switching of current polarity is potentially useful for making dynamically reconfigurable digital circuits.
  • Qinglin Liu, Qian Liu, Yurong Chen, Yinle Li, Hui Su, Qinghua Liu, Guangqin Li
    中国化学快报. 2022, 33(01): 374-377. https://doi.org/10.1016/j.cclet.2021.06.047
    摘要 ( ) PDF全文 ( ) HTML 可视化 收藏
    Although the selective hydrogenation of α,β-unsaturated aldehyde to unsaturated alcohol (UOL) is an extremely important transformation, it is still a great challenge to achieve high selectivity to UOL due to thermodynamic favoring of the C=C hydrogenation over the C=O hydrogenation. Herein, we report that iridium nanoclusters (Ir NCs) confined within hollow MIL-101(Fe) expresses satisfied reaction activity (93.9%) and high selectivity (96.2%) for the hydrogenation of cinnamaldehyde (CAL) to cinnamyl alcohol (COL) under 1 bar H2 atmosphere and room temperature. The unique hollow structure of MIL-101(Fe) benefits for the fast transport of reactant, ensuring the comparable reaction activity and better recyclability of Ir@MIL-101(Fe) than the counterparts which Ir NCs were on the surface of MIL-101(Fe). Furthermore, The X-ray photoelectron spectroscopy data indicates the electropositive Ir NCs, owing to the electron transfer from Ir to MIL-101(Fe), can interact with oxygen lone pairs, and Fourier transform infrared spectrum shows the Lewis acid sites in MIL-101(Fe) can strongly interact with C=O bond, which contributes to a high selectivity for COL. This work suggests the considerable potential of synergetic effect between hollow MOFs and metal nanoclusters for selective hydrogenation reactions.
  • Decai Yang, Yachao Xu, Kai Pan, Chuanxin Yu, Jiaxing Wu, Mingxia Li, Fan Yang, Yang Qu, Wei Zhou
    中国化学快报. 2022, 33(01): 378-384. https://doi.org/10.1016/j.cclet.2021.06.035
    摘要 ( ) PDF全文 ( ) HTML 可视化 收藏
    Surface oxygen vacancy defects of mesoporous CeO2 nanosheets assembled microspheres (D-CeO2) are engineered by polymer precipitation, hydrothermal and surface hydrogenation strategies. The resultant D-CeO2 with a main pore diameter of 9.3 nm has a large specific surface area (~102.3 m2/g) and high thermal stability. The mesoporous nanosheets assembled microsphere structure prevents the nanosheets from aggregation, which is beneficial to effective mass transfer and shortens the migration distance of charge carriers. After surface hydrogenation, the photoresponse extends to long wavelength region, combing with the band gap from 2.63 eV reduced to 2.39 eV. Under AM 1.5 G radiation, the photocatalytic degradation rate of tetracycline (TC) can be up to 99.99%, which is three times as high as that of pristine CeO2 microspheres. The excellent solar-driven photocatalytic performance can be attributed to the efficient surface oxygen vacancy engineering and the mesoporous nanosheets assembled microsphere structure, which narrows the band gap, shortens the migration distance of carriers, promotes the spatial separation of photogenerated electron-hole pairs and favors mass transfer. The strategy provides new insights for fabricating other high-efficient oxide photocatalysts.
  • Mengxiao Sun, Yue Wang, Chunsen Sun, Yan Qi, Jia Cheng, Yumei Song, Lixue Zhang
    中国化学快报. 2022, 33(01): 385-389. https://doi.org/10.1016/j.cclet.2021.05.009
    摘要 ( ) PDF全文 ( ) HTML 可视化 收藏
    Developing highly efficient and cost-effective catalysts for electrochemically oxidizing biomass-derived 5-hydroxymethylfurfural (HMF) into value-added 2,5-furandicarboxylic acid (FDCA) is of great importance. Herein, we report a controllable nitrogen doping strategy to significantly improve the catalytic activity of Co3O4 nanowires for highly selective electro-oxidation of HMF into FDCA. The nitrogen doping leads to the generation of defects including nitrogen dopants and oxygen vacancies in Co3O4 nanowires, which is conducive to the formation of catalytically active sites. As a result, the electro-oxidation potential for HMF is only 1.38 V (vs. RHE) when the current density reaches 50 mA/cm2. More importantly, the conversion rate of HMF is as high as 99.5%, and the yield of FDCA is up to 96.4%.
  • Xinquan Shen, Dan Wu, Xian-Zhu Fu, Jing-Li Luo
    中国化学快报. 2022, 33(01): 390-393. https://doi.org/10.1016/j.cclet.2021.07.019
    摘要 ( ) PDF全文 ( ) HTML 可视化 收藏
    Conversion of methane into liquid alcohol such as ethanol at low temperature in a straight, selective and low energy consumption process remains a topic of intense scientific research but a great challenge. In this work, CuFe2O4/CNT composite is successfully synthesized via a facile co-reduction method and used as catalysts to selectively oxidize methane. At a low temperature of 150 °C, methane is directly converted to ethanol in a single process on the as-prepared CuFe2O4/CNT composite with high selectivity. A mechanism is also proposed for the significant methane selective oxidation performance of the CuFe2O4/CNT composite catalysts.
  • Yu Wang, Munkhbayar Batmunkh, Hui Mao, Hui Li, Baohua Jia, Shuyao Wu, Daliang Liu, Ximing Song, Ying Sun, Tianyi Ma
    中国化学快报. 2022, 33(01): 394-398. https://doi.org/10.1016/j.cclet.2021.05.025
    摘要 ( ) PDF全文 ( ) HTML 可视化 收藏
    Electrochemical synthesis of ammonia has the advantages of low energy consumption and promising environmental protection, as compared to the traditional Haber-Bosch process. However, the commercial utilization of this novel system is limited by the low Faradaic efficiency, poor ammonia yield and high overpotential due to the strong NN bond and the dominant competing reaction of hydrogen evolution reaction (HER). Herein, a BiOCl-modified two-dimensional (2D) titanium carbide MXenes nanocomposite (BiOCl@Ti3C2Tx) is proposed as a promising electrocatalyst for ambient nitrogen (N2) reduction reaction with excellent catalytic performance and superior long-term stability at low overpotential. In 0.1 mol/L HCl, this catalyst attains a high Faradic efficiency of 11.98% and a NH3 yield of 4.06 μg h-1 cm-2 at -0.10 V (vs. RHE), benefiting from its strong interaction of Bi 6p band with the N 2p orbitals, combined with its large specific surface area and the facile electron transfer.
  • Saifei Yuan, Beixi Xu, Shujuan Li, Wenbiao Zhu, Shulai Lei, Wenyue Guo, Hao Ren
    中国化学快报. 2022, 33(01): 399-403. https://doi.org/10.1016/j.cclet.2021.06.077
    摘要 ( ) PDF全文 ( ) HTML 可视化 收藏
    Ammonia (NH3) is one of the most important building blocks of the chemical industry and a promising sustainable energy carrier. Conventional production of NH3 via the Haber-Bosch process requires high temperature and high pressure, which is energy demanding and suffers safety issues. Photocatalytic nitrogen reduction reaction (NRR) is a green and sustainable route for NH3 production, and has been expected to be an alternative for NH3 production under mild conditions. However, solar-driven N2 activated has appeared as the bottleneck for photocatalytic NRR. In this work, we propose that single Ru atom supported by BeO monolayer is a promising photocatalytic single atom catalyst (SAC) for efficient N2 activation with visible illumination. The high efficiency originates from the enhanced absorption in the visible range, as well as the back-donation mechanism when N2 were adsorbed on the SAC. Our results show that N2 can be efficiently activated by the Ru/BeO SAC and be reduced to NH3 with extremely low limiting potential of -0.41 V. The NRR process also exhibits dominate selectivity respect to hydrogen evolution.
  • Cheng He, Fusheng Han, Wenxue Zhang
    中国化学快报. 2022, 33(01): 404-409. https://doi.org/10.1016/j.cclet.2021.07.010
    摘要 ( ) PDF全文 ( ) HTML 可视化 收藏
    Designing and developing the highly efficient photocatalysts is full of significance to achieve spontaneous photolysis water. In this work, using the first-principles calculations, we have performed a systematic theoretical study of water splitting photocatalytic activity of the InSe/g-CN heterojunction. It is concluded that the InSe/g-CN heterojunction is a typical type-II semiconductor, whose electrons and holes can be effectively separated. And the potential of the conduction band minimum (CBM) and valence band maximum (VBM) satisfy the requirements for photolysis water. Moreover, the changes of Gibbs free energy (ΔG) of the oxygen evolution reaction (OER) and the hydrogen evolution reaction (HER) are calculated to investigate thermodynamic sustainability of photolysis water. The results show that when pH = 7, the potential driving force provided by the InSe/g-CN heterojunction can ensure the spontaneous progress of HER and OER. In addition, it is found that the solar conversion efficiency (ηS) of the InSe/g-CN heterojunction is up to 13.7%, which indicates it has broad commercial application prospects. Hence, the InSe/g-CN heterojunction is expected to be an excellent candidate for photolysis water.
  • Qin Liu, Weina Zhao, Zhimin Ao, Taicheng An
    中国化学快报. 2022, 33(01): 410-414. https://doi.org/10.1016/j.cclet.2021.06.059
    摘要 ( ) PDF全文 ( ) HTML 可视化 收藏
    Explore the photo-piezoelectric synergistic micro-mechanism by density functional theory (DFT) calculations at the electronic and atomic level is important. In this work, to understand the synergistic mechanism, atomic and electronic properties of typical piezoelectric and photocatalytic material BaTiO3 were initially investigated with different strains. Subsequently, the adsorption of volatile organic compounds (VOCs) on the BaTiO3 (001) surface was determined during the piezoelectric process. In addition, the relationship between deformation ratio, the electronic structure and adsorption energy was understood in the deformation ratio range of 7%-12% for the optimal catalytic effect. The results of charge density differences and Born effective charge reveal the synergistic mechanism of piezoelectric photocatalysis. The built-in electric field formed by polarization results in the enhanced separation of charges, which makes the surface charges aggregation, enhancing the adsorption of VOCs, and benefiting the subsequent photocatalytic degradation. This work can provide significant theoretical guidance for the piezoelectric photocatalytic degradation of pollutants with the optimal strain range.
  • Yanni Jiang, Zhaokun Xiong, Jianbo Huang, Feng Yan, Gang Yao, Bo Lai
    中国化学快报. 2022, 33(01): 415-423. https://doi.org/10.1016/j.cclet.2021.06.058
    摘要 ( ) PDF全文 ( ) HTML 可视化 收藏
    How to utilize inexhaustible solar light as a means of disinfection technology for its cheap and green remains a challenge. In this work, core-shell ZnO@ZIF-8 was synthesized and used for bacterial inactivation synergizing with peroxymonosulfate (PMS) under visible light irradiation. It took 50 min to achieve thorough sterilization for 7.5-log Escherichia coli (E. coli) cells in vis/PMS/ZnO@ZIF-8 system, compared with that 4.5-log reduction completed in vis/PMS/ZnO system under the same conditions. The enhanced photocatalytic disinfection mechanisms of fabricated ZnO@ZIF-8 were investigated by UV-vis diffuse reflectance spectra, electrochemical impedance spectra and Mott-Schottky plots. The promoted bactericidal efficiency was attributed to higher charge-separation efficiency and stronger oxidation ability of photo-generated holes. Moreover, it was found that 1O2 and ·OH induced bacterial cell lesion process, and the former was the main active species. The external reactive oxygen species (ROS) caused a series of cell wall damage, intercellular ROS up-regulation and genome DNA unwinding, finally resulted in irreversible bacterial death. A two-route mechanism in vis/PMS/ZnO@ZIF-8 system was proposed, in which the generation of 1O2 was supposed as the product of the oxygen oxidation of photo-generated holes and PMS dissociation. Our work is expected to provide advanced information about a low-cost water disinfection technology of visible light photocatalysis.
  • Kuanda Xu, Shisheng Zheng, Yang Li, Honghao Chu, Qi Xiong, Zongwei Mei, Qinghe Zhao, Luyi Yang, Shunning Li, Feng Pan
    中国化学快报. 2022, 33(01): 424-427. https://doi.org/10.1016/j.cclet.2021.07.016
    摘要 ( ) PDF全文 ( ) HTML 可视化 收藏
    The electroreduction of CO2 (CO2RR) into value-added chemicals is a sustainable strategy for mitigating global warming and managing the global carbon balance. However, developing an efficient and selective catalyst is still the central challenge. Here, we developed a simple two-step pyrolysis method to confine low-valent Ni-based nanoparticles within nitrogen-doped carbon (Ni-NC). As a result, such Ni-based nanoparticles can effectively reduce CO2 to CO, with a maximum CO Faradaic efficiency (FE) of 98% at an overpotential of 0.8 V, as long as good stability. Experimental and the density functional theory (DFT) calculation results reveal that low-valent Ni plays a key role in activity and selectivity enhancement. This study presents a new understanding of Ni-based CO2RR, and provides a simple, scalable approach to the synthesis of low-valent catalysts towards efficient CO2RR.
  • Lihong Zhou, Xueqian Yan, Xiangjun Pei, Jie Du, Rui Ma, Jin Qian
    中国化学快报. 2022, 33(01): 428-433. https://doi.org/10.1016/j.cclet.2021.06.055
    摘要 ( ) PDF全文 ( ) HTML 可视化 收藏
    Anaerobic digestion (AD) is a promising technology for the treatment of waste activated sludge (WAS) with energy recovery. However, the low methane yield and slow methanogenesis limit its broad application. In this study, the NiFe2O4 nanoparticles (NPs) were fabricated and applied as a conductive material to enhance the AD via promoting the direct interspecies electron transfer (DIET). The crystal structure, specific surface area, morphology and elemental composition of the as-prepared NiFe2O4 NPs were characterized by X-ray diffraction (XRD), Brunauer-Emmett-Teller (BET), scanning electron microscopy (SEM) and energy dispersive spectroscopy (EDS). The biochemical methane potential (BMP) test was performed (lasting for 35 days) to evaluate the energy recovery in AD with the addition of the NiFe2O4 NPs. The results illustrate that NiFe2O4 NPs could accelerate both the hydrolysis, acidogenesis and methanogenesis, i.e., the cumulative methane production and daily methane yield increased from 96.76 ±1.70 mL/gVS and 8.24 ±1.26 mL gVS-1 d-1 in the absence of NiFe2O4 NPs (Group A) to 123.69 ±3.20 mL/gVS and 9.71 ±0.77 mL gVS-1 d-1 in the presence of NiFe2O4 NPs (Group B). The model simulation results showed that both the first-order kinetic model and the modified Gompertz model can well simulate the experimental results. The hydrolysis rate constant k increased from 0.04 ±0.01 d-1 in Group A to 0.06 ±0.01 d-1 in Group B. And the maximum methane production potential and activity were both improved after adding NiFe2O4. The microbial community analysis revealed that the microorganisms associated with hydrolysis and acidogenesis were more abundant in the presence of NiFe2O4. And the methanogenic archaea were enriched to a larger extent, resulted in the higher methanogenesis activities via dosing NiFe2O4.
  • Kai Li, Jian Ji, Yanling Gan, Haibao Huang
    中国化学快报. 2022, 33(01): 434-437. https://doi.org/10.1016/j.cclet.2021.06.014
    摘要 ( ) PDF全文 ( ) HTML 可视化 收藏
    Formaldehyde is an important air pollutant and its removal is essential to protect human health and meet environmental regulations. Ag-based catalyst has a considerable potential for HCHO oxidation in low temperature range. The valence state of Ag is one of the key roles in formaldehyde catalytic oxidation. However, its effect on activity is still ambiguous. Non-thermal plasma and conventional calcination were employed to regulate Ag valence state in this study. Three Ag-Co/CeO2 catalysts with totally different distribution of Ag species were obtained. A special mixed Ag valence state, ~50% Agδ+ with a few Ag0 and Ag+, was achieved by plasma activation. It had the merits of both good activity and stability. A close relationship between Ag valence state and the activity for HCHO oxidation was established. The activity of different Ag species follows the order: Agδ+ + Ag0 + Ag+ > Agδ+ > Ag0 > Ag+.
  • Peizhe Sun, Huixin Ma, Shangyu Li, Hong Yao, Ruochun Zhang
    中国化学快报. 2022, 33(01): 438-441. https://doi.org/10.1016/j.cclet.2021.06.061
    摘要 ( ) PDF全文 ( ) HTML 可视化 收藏
    Carbonate radical is among the most important environmental relevant reactive species which govern the transformation and fate of pharmaceutical contaminants (PCs). However, reaction rate constants between carbonate radical and most of the PCs have not been experimentally determined, and quantitative structural-activity relationships (QSARs) have not been established for rate estimation. This study applied MaxMin data processing method and used molecular fingerprints (MF) as the input of a deep neural network (DNN) to predict the rate constants between carbonate radical and organic compounds. MF parameters and the hyper-structure of the DNN were adjusted to yield satisfactory accuracy of rate prediction. The vector length of 512 bits with radius of 1 for MF and 5 hidden layers gave the best performance. The optimized MaxMin-MF-DNN model was compared with some of the most commonly used QSARs and machine learning methods, including random data splitting, molecular descriptors, supporting vector machine, decision tree, etc. Results showed that the MF-DNN model out-performed the other methods by more than 10% increase in prediction accuracy. Applying this MF-DNN model, we estimated reaction rates between carbonate radical and pharmaceuticals used in human medicine (1576) and veterinary practice (390). Among them, 46 drugs were identified as fast-reacting compounds, suggesting the important relations of their environmental fate with carbonate radical.
  • Linhong Shi, Xue Zou, Tengfei Wang, Dongmei Wang, Meikun Fan, Zhengjun Gong
    中国化学快报. 2022, 33(01): 442-446. https://doi.org/10.1016/j.cclet.2021.06.048
    摘要 ( ) PDF全文 ( ) HTML 可视化 收藏
    This study synthesized UiO-66 (Zr) in situ on wood via a one-step solvothermal method. UiO-66/wood was successfully prepared and its catalytic performance for the ofloxacin (OFX) photodegradation under simulate sunlight was also explored. UiO-66/wood exhibited a better catalytic performance, and its degradation rate constant was about 1.2 and 1.5 times than that of UiO-66 and wood, respectively. The effects of solution initial concentration, pH of the system and dosage of the photocatalyst were explored. Additionally, the active species trapping experiments and UV-vis diffused reflectance spectra measurements were conducted to investigated the photocatalytic mechanism of the UiO-66/wood composite, superoxide radical (O2·-) and hydroxyl radical (·OH) were the main reactive species. In addition, the possible degradation pathways of OFX were analyzed by LC-MS. Meanwhile, the UiO-66/wood showed outstanding stability and reusability after 4 cycles experiments. The removal performance of UiO-66/wood towards real samples showed it has potential in actual application .
  • Yang Zhou, Jianpeng Hu, Yuan Gao, Yang Song, Su-Yan Pang, Jin Jiang
    中国化学快报. 2022, 33(01): 447-451. https://doi.org/10.1016/j.cclet.2021.06.036
    摘要 ( ) PDF全文 ( ) HTML 可视化 收藏
    A great concern has been raised regarding the issue of fluoroquinolones (FQs) in the environment. In this work, the transformation of FQs by commonly used oxidant permanganate (Mn(VII)) in the absence and presence of humic acid (HA), ubiquitously existing in aquatic environments, was systematically investigated. Here, the catalytic role of in-situ formed MnO2 on Mn(VII) oxidation of FQs depending on solution pH and co-existing substrates was firstly reported. It was interestingly found that HA could appreciably accelerate FQs degradation by Mn(VII) at environmentally relevant pH. HA as a reductant in accelerating FQs by Mn(VII) oxidation was distinctly elucidated for the first time, where MnO2 in situ formed from the reduction of Mn(VII) by HA served as a catalyst. Similar products were observed in the presence versus absence of HA. Considering that the accelerating role of HA was related to its reducing ability, an activation method based on Mn(VII) and reductant (i.e., Fe(II), Mn(II) and (bi)sulfite) was proposed, which exhibited considerable potential for application in the treatment of FQs contaminated water.
  • Kun Chen, Keke Mao, Yu Bai, Delong Duan, Shuangming Chen, Chengming Wang, Ning Zhang, Ran Long, Xiaojun Wu, Li Song, Yujie Xiong
    中国化学快报. 2022, 33(01): 452-456. https://doi.org/10.1016/j.cclet.2021.05.011
    摘要 ( ) PDF全文 ( ) HTML 可视化 收藏
    Anodic oxygen evolution reaction (OER) is the key bottleneck for water electrolysis technique owing to its sluggish reaction kinetics. Interfacial engineering on the rationally designed heterostructure can regulate the electronic states efficiently for intrinsic activity improvement. Here, we report a co-phosphorization approach to construct a VPO4-Ni2P heterostructure on nickel foam with strongly chemical binding, wherein phosphate acts as electronic modifier for Ni2P electrocatalyst. Profiting from the interfacial interaction, it is uncovered that electron shifts from Ni2P to VPO4 to render valence increment in Ni species. Such an electronic manipulation rationalizes the chemical affinities of various oxygen intermediates in OER pathway, giving a substantially reduced energy barrier. As a result, the advanced VPO4-Ni2P heterostructure only requires an overpotential of 289 mV to deliver a high current density of 350 mA/cm2 for OER in alkaline electrolyte, together with a Tafel slope as low as 28 mV/dec. This work brings fresh insights into interfacial engineering for advanced electrocatalyst design.
  • Yong Cai, Qi Jin, Kaixin Zhao, Xinzhi Ma, Xitian Zhang
    中国化学快报. 2022, 33(01): 457-461. https://doi.org/10.1016/j.cclet.2021.05.065
    摘要 ( ) PDF全文 ( ) HTML 可视化 收藏
    Li-S batteries have shown great potential as secondary energy batteries. However, the side reaction between Li anodes and polysulfides seriously limited their practical application. Herein, the artificial protective film, which is consisted of Li-Nafion and TiO2, was designed and successfully prepared to achieve a corrosion-resistant Li anode in Li-S battery. In the composite protective film, the Li-Nafion could efficiently prevent the contact between Li anodes and polysulfides, and the incorporation of TiO2 nanoparticles into the Nafion could significantly increase the ionic conductivity and mechanical strength of the protective film. Li-Li symmetric cells with an optimal artificial protective film exhibited an extended cycle-life of 750 h at a current density of 1 mA/cm2 in Li2S8 electrolyte. Moreover, the Li-S full battery with an optimal protective Li anode exhibited higher capacity retention of 777.4 mAh/g after 100 cycles at 0.1 C as well as better rate performance than the cell with a pure Li anode. This work provides alternative insights to suppress the side reaction for Li-S batteries with high capacity retention.
  • Nan Li, Xiaowen Guo, Xinru Tang, Yichen Xing, Huan Pang
    中国化学快报. 2022, 33(01): 462-465. https://doi.org/10.1016/j.cclet.2021.05.012
    摘要 ( ) PDF全文 ( ) HTML 可视化 收藏
    Hierarchical superstructures assembled by nanosheets can effectively prevent aggregation of nanosheets and improve performance in energy storage. Therefore, we proposed a facile hydrothermal method to obtain three-dimensional (3D) superstructure assembled by nanosheets. We found that the ratio of Co2+/HMTA affected the morphology of the samples, and the 3D hierarchical structures of are obtained while the ratio of Co2+/HMTA is 12:25. The hierarchical structures with sufficient interior space preserves the original sheet-like dimensional components and results in sufficient active sites and efficient mass diffusion. Hence, the 3D Co2V2O7·nH2O hierarchical structure exhibits good rate capability and high stability while as electrode materials. Meanwhile, when power density is 745.13 W/kg, the assembled CVO-2//AC shows an energy density of 47.7 Wh/kg. The work displays a facile method for fabrication of 3D superstructure assembled by 2D nanosheets that can be applied in energy storage.
  • Dan Wang, Zhaofan Yang, Feng Liu, Chengyi Xiao, Yonggang Wu, Weiwei Li
    中国化学快报. 2022, 33(01): 466-469. https://doi.org/10.1016/j.cclet.2021.06.042
    摘要 ( ) PDF全文 ( ) HTML 可视化 收藏
    Single-component organic solar cells (SCOSCs) with high stability and simplified fabrication process are supposed to accelerate the commercialization of organic photovoltaics. However, the types of photo-active materials and photovoltaic performance of SCOSCs are still far lagging behind the bulk-heterojunction type organic solar cells (BHJ OSCs). It is still an arduous task to introduce new photo-active materials into SCOSCs, aiming to improve the efficiencies of SCOSCs. One feasible way is to construct double-cable polymers with new structures and tune conformation, morphology and mobility for the improvement in power conversion efficiencies (PCEs). Hence, in this work, we constructed a new double-cable polymer PBTT-BPTI by introducing fused core 5,7-dibromo-2,3-bis(2-ethylhexyl)benzo [1,2-b:4,5-c']dithiophene-4,8-dione (TTDO) into the main backbone and benzo [ghi]-perylene triimide (BPTI) unit into the side chain. Both of the two units show strong electron-withdrawing property, which are expected to broaden absorption spectra and enhance intermolecular interaction. The double-cable polymer exhibited a broad absorption in the range of 300-700 nm with an optical band gap (Eg) of 1.79 eV. The PCE of PBTT-BPTI-based SCOSCs was 2.15%, which may be limited by the unconstructed efficient electron transporting channels.
  • Miao Yang, Zhonghui Sun, Ping Nie, Haiyue Yu, Chende Zhao, Mengxuan Yu, Zhongzhen Luo, Hongbo Geng, Xinglong Wu
    中国化学快报. 2022, 33(01): 470-474. https://doi.org/10.1016/j.cclet.2021.06.065
    摘要 ( ) PDF全文 ( ) HTML 可视化 收藏
    With the in-depth research of sodium-ion batteries (SIBs), the development of novel sodium-ion anode material has become a top priority. In this work, tube cluster-shaped SbPS4 was synthesized by a high-temperature solid phase reaction. Then the typical short tubular ternary thiophosphate SbPS4 compounded with graphene oxide (SbPS4/GO) was successfully synthesized after ultrasonication and freeze-drying. SbPS4 shows a high theoretical specific capacity (1335 mAh/g) according to the conversion-alloying dual mechanisms. The unique short tube inserted in the spongy graphene structure of SbPS4/GO results in boosting the Na ions transport and alleviating the huge volume change in the charging and discharging processes, improving the sodium storage performance. Consequently, the tubular SbPS4 compounded with 10% GO provides an outstanding capacity of 359.58 mAh/g at 500 mA/g. The result indicates that SbPS4/GO anode has a promising application potential for SIBs.
  • Fangshuai Chen, Yanan Chen, Qing Han, Liangti Qu
    中国化学快报. 2022, 33(01): 475-479. https://doi.org/10.1016/j.cclet.2021.06.021
    摘要 ( ) PDF全文 ( ) HTML 可视化 收藏
    Transitional metal selenides have high conductivity, even metal quality, which makes them great for using as electrode materials for fabricating supercapacitors. Here, hierarchical Ni3Se2 nanosheet-on-nanorods on Ni foam (NSR-Ni3Se2/Ni) was fabricated by a facile three-dimensional (3D) substrate-assisted confinement assembly method, and used as a freestanding electrode material for hybrid supercapacitors (HSCs). In this design, metallic Ni3Se2 with hybrid 1D/2D architecture could effectively enhance the active specific surface area of electrode and improve space utilization, as well as significantly facilitate electrons transport, while Ni foam served as the Ni source of Ni3Se2 and provided 3D multi-electron transport channels, thus boosting the specific capacity. The constructed hierarchical NSR-Ni3Se2 electrode delivered a superior areal specific capacity of 1.068 mAh/cm2 (7.69 F/cm2) at 2 mA/cm2 and retained 68.2% of the initial capacity when the current density increases by 15 times. Furthermore, the as-assembled NSR-Ni3Se2 device exhibited an ultrahigh energy density of 56.4 Wh/kg and high power density of 4640.3 W/kg, and a capacity retention of 92.6% even after 6000 cycles.
  • Yu Hu, Cheng Tang, Haitao Li, Aijun Du, Wei Luo, Minghong Wu, Haijiao Zhang
    中国化学快报. 2022, 33(01): 480-485. https://doi.org/10.1016/j.cclet.2021.06.063
    摘要 ( ) PDF全文 ( ) HTML 可视化 收藏
    Carbonaceous nanomaterials with porous structure have become the highly promising anode materials for potassium-ion batteries (PIBs) due to their abundant resources, low-cost, and excellent conductivity. Nevertheless, the sluggish reaction kinetics and inferior cycling life caused by the large radius of K ions severely restrict their commercial development. Herein, B,N co-doped hierarchically porous carbon nanosheets (BNPC) are achieved via a facile template-assisted route, followed by a simple one-step carbonization process. The resultant BNPC possesses a unique porous structure, large surface area, and high-level B,N co-doping. The structural features endows it with remarkable potassium storage performances, which delivers a high reversible capacity (242.2 mAh/g at 100 mA/g after 100 cycles), and long cycling stability (123.1 mAh/g at 2000 mA/g and 62.9 mAh/g at 5000 mA/g after 2000 cycles, respectively). Theoretical simulations further validate that the rich B doping into N-modified carbon configuration can greatly boost the potassium storage capability of the BNPC anode.
  • Yanting Chu, Shenglin Xiong
    中国化学快报. 2022, 33(01): 486-490. https://doi.org/10.1016/j.cclet.2021.06.074
    摘要 ( ) PDF全文 ( ) HTML 可视化 收藏
    Multicomponent binary metal oxide-involved hybrid structures with unique physicochemical properties have received extensive attention due to their fascinating electrochemical performance. Herein, a flexible strategy, which involves the preparation of dual-functional heterometallic Fe2M clusters and their subsequent sintering treatment, is developed to engineer novel 3D hierarchical porous structures assembled with MFe2O4 (M = Co, Mn, Ni and Zn) nanoparticles confined within carbon outer shell (denoted as MFe2O4@C HPSs). In this intriguing construction, it can be observed that MFe2O4@C HPSs comprised of carbon coated secondary MFe2O4 nanoparticles with an interconnected carbon network. The as-prepared MFe2O4@C HPSs possess combined advantages of high capacity of MFe2O4 and high conductivity of carbon. As expected, the MFe2O4@C HPSs offer a high reversible capacity, high cycling stability and superior rate performance. The interconnected conductive carbon shells facilitates fast ion and electron transport and accommodates the mechanical strain. In addition, nanosized MFe2O4 particles, which shorten the ion-transport path and provide extra electroactive sites, also improve the reaction kinetics. Moreover, these MFe2O4@C HPSs exhibit good structural integrity during repeated charging and discharging. The research perspective and strategy reported here are highly versatile and shed new light on the synthesis of other advanced electrode for various applications.
  • Xin Jin, Yangyang Li, Shuo Zhang, Jiangwei Zhang, Zihan Shen, Chenlin Zhong, Ziqiang Cai, Chaoquan Hu, Huigang Zhang
    中国化学快报. 2022, 33(01): 491-496. https://doi.org/10.1016/j.cclet.2021.06.090
    摘要 ( ) PDF全文 ( ) HTML 可视化 收藏
    Sodium (Na) O2 batteries have high energy density and low cost. However, high polarization, complex discharge products, and low Coulombic efficiency (CE) lead to poor cyclability. Here, we proposed an atomically dispersed Ru catalyst on nitrogen-doped graphene for Na-O2 batteries. The catalysts enable the discharge to proceed via a surface-mediated route, which leads to uniform deposition of Na2-xO2 and low polarization during recharge. The first-principle calculation revealed that Ru-N4 complex in the catalyst has strong chemical adsorption to intermediate superoxides, facilitating uniform deposition and enhancing rapid kinetics. In contrast, Ru nanoparticles, despite the catalytic activity, induce bulk deposition via a solution-mediated route because the exposed graphene surface shows weak interaction to superoxides, thereby lowering CEs and cyclability. In brief, the atomically-dispersed Ru catalyst endows Na-O2 batteries with excellent electrochemical properties via a surface-mediated discharge.
  • Miao Wu, Lingling Xia, Yucen Li, Difeng Yin, Jianping Yu, Wenbo Li, Ning Wang, Xin Li, Jiwei Cui, Wei Chu, Ya Cheng, Ming Hu
    中国化学快报. 2022, 33(01): 497-500. https://doi.org/10.1016/j.cclet.2021.07.004
    摘要 ( ) PDF全文 ( ) HTML 可视化 收藏
    Mineralization of the ZIF-8 in the presence of biomacromolecules has been demonstrated to be a general way for making bioentities@ZIFs composites. The ZIF-8 crystals permit controlled storage and utilization of the bioentities, thus can benefit drug delivery, cold-chain breaking etc. With the increasing needs on personal care and distributed manufacturing, automated synthesis controlled by a computer becomes the next challenge. In this work, we designed an automatic synthesis system to prepare PEG mineralized ZIF-8 composite particles. This system is based on flow chemistry with the microfluidic chips fabricated by femtosecond laser micromachining. The particles were synthesized and monitored automatically. Furthermore, this synthesizer could be extended for fabrication of vaccine particles under remote control through internet.
  • Yan Zhang, Yuxin Li, Huan Li, Junfeng Shang, Zhengming Li, Baolei Wang
    中国化学快报. 2022, 33(01): 501-507. https://doi.org/10.1016/j.cclet.2021.05.027
    摘要 ( ) PDF全文 ( ) HTML 可视化 收藏
    With the aim of discovering new bioactive pesticides for crop protection, a series of novel sulfide-containing amide derivatives A were efficiently synthesized via a strategy of modifying the "amide" structure of anthranilic diamide insecticides. The single-crystal structures of A2-3 and A4-5 were firstly reported. The bioassay results showed that most of the synthesized compounds display moderate to high insecticidal activities. Particularly, some sulfone-containing compounds, e.g., A2-3, A3-3 and A6-3, not only possessed favorable lethality rate (50%-100%) against P. xylostella at a concentration of 0.1 mg/L, but also held good activities towards a variety of agricultural pests such as M. separata, C. pipiens pallen, H. armigera and O. nubilalis; the larvicidal activities of A4-1 and A6-1 towards P. xylostella were close to that of chlorantraniliprole at 0.01 mg/L. The calcium imaging experiments revealed that the representative compounds A2-3 and A6-3 are potential ryanodine receptor (RyR) modulators. The structure-activity relationships were discussed in detail. These results provide useful information for further design and development of novel insecticides.
  • Mengmeng Lan, Tongxu Cui, Kaichun Xia, Guodong Cui, Yiwen Chu, Peng Fu, Weiming Zhu
    中国化学快报. 2022, 33(01): 508-510. https://doi.org/10.1016/j.cclet.2021.05.028
    摘要 ( ) PDF全文 ( ) HTML 可视化 收藏
    (±)-Pyriindolin (1) with a rare molecular backbone formed by fusing a 2,2'-bipyridine nucleus into a spiro [furan-3,3'-indoline] skeleton, was isolated from the Streptomyces albolongus EA12432. The constitution and the relative configuration of (±)-1 were determined by extensive spectroscopic analyses, 13C calculation and DP4+ probability analysis. The absolute configurations of optically pure (+)-1 and (-)-1 which were obtained after a chiral high performance liquid chromatography (HPLC) separation were further identified by electronic circular dichroism (ECD) calculations. (+)- and (-)-Pyriindolins displayed moderate cytotoxicity against HCT-116 cell line with the half-maximal inhibitory concentration (IC50) values of 2.89 ±0.17 μmol/L and 4.47 ±0.26 μmol/L, respectively.
  • Jing Shi, Jia-Qi Ma, Yong-Chao Wang, Zi-Fei Xu, Bo Zhang, Rui-Hua Jiao, Ren-Xiang Tan, Hui-Ming Ge
    中国化学快报. 2022, 33(01): 511-515. https://doi.org/10.1016/j.cclet.2021.06.010
    摘要 ( ) PDF全文 ( ) HTML 可视化 收藏
    Lanthipeptides are one of the largest groups of ribosomally synthesized and post-translationally modified peptides (RiPPs) and are characterized by the presence of lanthionine (Lan) or methyllanthionine residues (MeLan). Only very few lanthipeptides contain a C-terminal 2-aminovinyl-cysteine (AviCys) motif, but all of them show potent antibacterial activities. Recent advances of genome sequencing led to the rapid accumulation of new biosynthetic gene clusters (BGCs) for lanthipeptides. In this study, through our genome mining strategy, we found the AviCys containing lanthipeptides are widespread in the bacterial kingdom. A lanthipeptide-type biosynthetic gene cluster was identified from public bacterial genome database. Two new lanthipeptides, daspyromycins A and B (1 and 2) containing AviCys motif, along with two degraded products, daspyromycins C and D (3 and 4), were obtained after heterologous expression of the gene cluster in Streptomyces albus J1074. Daspyromycins A and B showed potent antimicrobial activity against a spectrum of Gram-positive and-negative bacteria including methicillin-resistant Staphylococcus aureus (MRSA) and vancomycin-resistant Enterococci (VRE).
  • Yunpeng Sun, Letian Cui, Qiurong Li, Pengfei Tang, Yongyi Li, Wenjun Xu, Jun Luo, Lingyi Kong
    中国化学快报. 2022, 33(01): 516-518. https://doi.org/10.1016/j.cclet.2021.06.050
    摘要 ( ) PDF全文 ( ) HTML 可视化 收藏
    Mufolinin A (1), a ring A-seco rearranged limonoid with an unprecedented ethyl at C-10 and novel 6/6/6/5 fused-ring skeleton, together with three new potential precursors (ring A-seco limonoids, 2-4) were isolated from Munronia unifoliolata. Their structures and absolute configurations were confirmed by nuclear magnetic resonance (NMR), high resolution electrospray ionization mass spectroscopy (HRESIMS), X-ray crystallography, electronic circular dichroism (ECD) calculations and NMR calculations with DP4+ analyses. The unprecedented ethyl group of 1 was hypothesized to be derived from methyl migration and ring reduction rearrangement of ring A-seco limonoid 4. Compounds 2 and 4 showed significant multidrug resistance (MDR) reversal activities in MCF-7/DOX cells with reversal fold (RF) values of 13.1 and 8.0, respectively.
  • Guorui Wu, Wenshuai Li, Weijun Du, Aiqin Yue, Jinzhong Zhao, Dingbin Liu
    中国化学快报. 2022, 33(01): 519-522. https://doi.org/10.1016/j.cclet.2021.06.051
    摘要 ( ) PDF全文 ( ) HTML 可视化 收藏
    In-situ monitoring of pesticide residues during crop growth or/and in related products is of great significance in avoiding the abuse of pesticides but remains challenging thus far. In this report, we proposed a background-free surface-enhanced Raman spectroscopy (bf-SERS) platform to non-destructively track the nitrile-bearing pesticide residues in soybean leaves with high sensitivity and selectivity. The outstanding feature of the assay stems from the dramatic Raman enhancement effect of the 50 nm-sized gold nanoparticles (AuNPs) towards the pesticides and simultaneously the background-free Raman signal of the nitrile group in the so-called Raman-silent region (1800-2800 cm-1). This bf-SERS assay was applied to evaluate the penetration effects of nitrile-bearing pesticides and monitor their residues in soybean leaves after rinsing with various solutions, providing a reliable tool for guiding the safe use of nitrile-bearing pesticides in agriculture.
  • Hang Chen, Yaorong Chen, Hewei Zhang, Wenqiang Cao, Chao Fang, Yicheng Zhou, Zongyuan Xiao, Jia Shi, Wenbo Chen, Junyang Liu, Wenjing Hong
    中国化学快报. 2022, 33(01): 523-526. https://doi.org/10.1016/j.cclet.2021.06.052
    摘要 ( ) PDF全文 ( ) HTML 可视化 收藏
    Quantum interference (QI) effects, which offer unique opportunities to widely manipulate the charge transport properties in the molecular junctions, will have the potential for achieving high thermopower. Here we developed a scanning tunneling microscope break junction technique to investigate the thermopower through single-molecule thiophene junctions. We observed that the thermopower of 2,4-TP-SAc with destructive quantum interference (DQI) was nearly twice of 2,5-TP-SAc without DQI, while the conductance of the 2,4-TP-SAc was two orders of magnitude lower than that of 2,5-TP-SAc. Furthermore, we found the thermopower was almost the same by altering the anchoring group or thiophene core in the control experiments, suggesting that the QI effect is responsible for the increase of thermopower. The density functional theory (DFT) calculations are in quantitative agreement with the experimental data. Our results reveal that QI effects can provide a promising platform to enhance the thermopower of molecular junctions.
  • Chaozheng He, Risheng Sun, Ling Fu, Jinrong Huo, Chenxu Zhao, Xiuyuan Li, Yan Song, Sumin Wang
    中国化学快报. 2022, 33(01): 527-532. https://doi.org/10.1016/j.cclet.2021.05.072
    摘要 ( ) PDF全文 ( ) HTML 可视化 收藏
    To reduce the greenhouse effect caused by the surgery of nitrogen-oxides concentration in the atmosphere and develop a future energy carrier of renewables, it is very critical to develop more efficient, controllable, and highly sensitive catalytic materials. In our work, we proposed that nitric oxide (NO), as a supplement to N2 for the synthesis of ammonia, which is equipped with a lower barrier. And the study highlighted the potential of CeO2 (111) nanosheets with La doping and oxygen vacancy (OV) as a high-performance, controllable material for NO capture at the site of Vo site, and separation the process of hydrogenation. We also reported that the Eads of -1.12 eV with horizontal adsorption and the Bader charge of N increasing of 0.53|e| and O increasing of 0.17|e| at the most active site of reduction-OV predicted. It is worth noting that ΔG of NORR (NO reduction reaction) shows good performance (thermodynamically spontaneous reaction) to synthesize ammonia and water at room temperature in the theoretical calculation.
  • Cong Zhang, Daizong Ji, Lang Jiang, Yunqi Liu, Dacheng Wei
    中国化学快报. 2022, 33(01): 533-536. https://doi.org/10.1016/j.cclet.2021.06.030
    摘要 ( ) PDF全文 ( ) HTML 可视化 收藏
    Organic single crystals (OSCs) have received increasing interest in the last decades for their potential applications in flexible electronics. Although there are various subtractive manufacturing methods of organic electronics, the subtractive manufacturing of OSCs is still a challenge, since OSCs are assembled via weak van-der-Waals interactions which are vulnerable and cannot afford damages and suffer the degradation of performances after the process. Here, we develop an epitaxial etching strategy which clips the OSCs and keeps high-quality crystalline nature of the resulting materials. As a result, high-quality organic micro-ribbon arrays are fabricated which maintains 89% charge mobility in average compared with original OSCs, showing great potential of this subtractive manufacturing method in future organic electronics.
  • Huixian Yang, Yanmei Guo, Guoning Liu, Ruowei Song, Jinxi Chen, Yongbing Lou, Yixin Zhao
    中国化学快报. 2022, 33(01): 537-540. https://doi.org/10.1016/j.cclet.2021.05.071
    摘要 ( ) PDF全文 ( ) HTML 可视化 收藏
    Near UV highly luminescent colloidal Cs2NaBiCl6 nanocrystals (NCs) were synthesized by a simple low-cost ligand-assisted reprecipitation method. In our strategy, metal chloride precursors were added to the mixture of anti-solvent and ligand at room-temperature. The obtained Cs2NaBiCl6 NCs exhibited a bright blue emission with significantly improved photoluminescence quantum yield (PLQY) of 39.05%. The optical properties and stability were greatly enhanced by doping Sb where Cs2NaBi0.75Sb0.25Cl6 showed a high PLQY of 46.57%, and both the powder and the colloidal solution exhibited superior stability.
  • Linhui Wu, Shuli Yao, Hui Xu, Tengfei Zheng, Suijun Liu, Jinglin Chen, Na Li, Herui Wen
    中国化学快报. 2022, 33(01): 541-546. https://doi.org/10.1016/j.cclet.2021.06.009
    摘要 ( ) PDF全文 ( ) HTML 可视化 收藏
    A novel ZnII-based metal-organic framework with the formula of { [Zn2(BBIP)2(NDC)2]·H2O}n (JXUST-5) derived from 3,5-bis(benzimidazol-1-yl)pyridine (BBIP) and 1,4-naphthalenedicarboxylic acid (H2NDC) has been synthesized. The adjacent ZnII ions are linked through two BBIP ligands to form a [Zn2(BBIP)2] secondary building unit (SBU). The neighbouring SBUs are further connected by NDC2- with μ2-η1:η1 and μ2-η1:η1:η1 bridging modes to form a two-dimensional (2D) framework. Topological analysis shows that JXUST-5 could be simplified as an uninodal fes topology with a point symbol of {4.82}. Furthermore, the 2D framework net could be extended through C-H···π interaction to form the three-dimensional supramolecular structure. Luminescent experiments suggest that JXUST-5 could selectively and sensitively recognize Al3+ and Ga3+ through fluorescence enhancement effect along with a relatively large red shift. The detection limits for Al3+ and Ga3+ are 0.17 and 0.69 ppm, respectively. Interestingly, the sensing process for both Al3+ and Ga3+ could be directly observed with naked eyes under 365 nm UV lamp. Notably, JXUST-5 could be recycled at least five times as a fluorescent sensor toward Al3+ and Ga3+, which is the second example of turn-on MOF based fluorescent sensor toward Ga3+.
  • Yifei Yue, Shengnan Liu, Ning Zhang, Zhongmin Su, Dongxia Zhu
    中国化学快报. 2022, 33(01): 547-550. https://doi.org/10.1016/j.cclet.2021.06.066
    摘要 ( ) PDF全文 ( ) HTML 可视化 收藏
    We develop the effective modification strategy based on molecular engineering of s-triazine and its derivatives to improve the photoelectric performance of all-inorganic perovskites (AIP) for the first time. The surface modification strategy with cyanuric acid successfully increases the PLQY of AIP from 40.55% to 88.15%, and significantly enhances the current of the AIP film under 3 V by almost 20-fold (from 4.44 mA to 81.20 mA). This work has proven the effectiveness of improving the photoelectric performances of AIP via s-triazine and its derivatives and also suggested the potential risks of reducing the photoelectric performance of AIP due to inappropriate substituents in conjugated organic ligands.
  • Sihan Li, Lili Xie, Guifang Luo, Yutong Han, Ming Zhou, Rawat Jaisutti, Zhigang Zhu
    中国化学快报. 2022, 33(01): 551-556. https://doi.org/10.1016/j.cclet.2021.06.016
    摘要 ( ) PDF全文 ( ) HTML 可视化 收藏
    There is a great demand for high-performance hydrogen sulfide (H2S) sensors with low operating temperatures. Ag/In2O3 hexagonal tubes with different proportions were prepared by the calcination of Ag+-impregnated indium-organic frameworks (CPP-3(In)), and the developed sensors exhibit enhanced gas-sensing performance toward H2S. Gas sensing measurements indicate that the response of Ag/In2O3 (2.5 wt%) sensor to 5 ppm H2S has the highest response (119), operated at 70 °C. The Ag/In2O3 (2.5 wt%) based sensor exhibits short response time (20 s), low detection limit (300 ppb), and good selectivity toward H2S gas, which imply that the CPP-3(In)-derived Ag/In2O3 hexagonal tube is a promising candidate to be constructed a low power-consumption H2S sensor.
  • Weiwei Zhao, Beibei Jin, Longlu Wang, Chengbo Ding, Mengyue Jiang, Tiantian Chen, Shuaihang Bi, Shujuan Liu, Qiang Zhao
    中国化学快报. 2022, 33(01): 557-561. https://doi.org/10.1016/j.cclet.2021.07.035
    摘要 ( ) PDF全文 ( ) HTML 可视化 收藏
    One-dimensional ultrathin nanowires (NWs) offer a great deal of promising properties for electrochemical energy storage and conversion due to their nanoscale confinement effect and high surface-to-volume ratios. It is highly desirable to precisely design and synthesize ultrathin Ti3C2 NWs in the aspect of size, crystalline structure and composition. Here, we report a simple alkalization strategy to design the ultrathin Ti3C2 NWs for hydrogen evolution reaction (HER) by modulating the surface-active sites. The design principle can well improve the amount of the defect sites and ion accessibility to increase the interactions between Ti3C2 NWs and H*. The optimized Ti3C2 NWs achieve an overpotential of 476 mV at the current density of 10 mA/cm2 and a Tafel slope of 129 mV/dec for HER catalysis, which are superior to that of Ti3C2 nanosheets and m-Ti3C2. It paves an avenue for the rational transformation of MXene bulks to one-dimensional NWs catalysts for HER.
  • Qiuxiang Mou, Xuan Wang, Zhenhang Xu, Pnur Zul, Erlei Li, Pingping Zhao, Xinghai Liu, Houbin Li, Gongzhen Cheng
    中国化学快报. 2022, 33(01): 562-566. https://doi.org/10.1016/j.cclet.2021.08.028
    摘要 ( ) PDF全文 ( ) HTML 可视化 收藏
    Available online Integrating transition metal centered MOFs with conductive materials is a feasible route to enhance electron transfer efficiency of materials. Herein, a composite porous structure CQDs10@NiFe-MOF-A was fabricated via introducing carbon quantum dots (CQDs) into porous NiFe-MOF. The CQDs would make partial loss of lattice in MOF during its growth, leading to the composite building block with the coexistance of crystalline region and amorphous region. The calcining treatment would produce an ultrathin protective layer as well as some lattice collapse. The synergy effect between NiFe ions effectively regulated electronic structure of metal active sites, and successful grafting of CQDs to NiFe-MOF significantly improved electrical conductivity. As expected, the catalyst exhibited outstanding OER performances with high mass activity of 91.6 A/g at overpotential of 300 mV and robust durability of 10,000 cycles in 1 mol/L KOH, which outperformed that of noble catalyst IrO2 of 25.2 A/g. The strategy paves a feasible and effective avenue for the non-noble metal catalysts.
  • Xianhui Dong, Qing Han, Yaru Kang, Haidong Li, Xinyu Huang, Zhengtao Fang, Huimin Yuan, Ahmed A. Elzatahry, Zongtao Chi, Guanglei Wu, Wanfeng Xie
    中国化学快报. 2022, 33(01): 567-572. https://doi.org/10.1016/j.cclet.2021.06.022
    摘要 ( ) PDF全文 ( ) HTML 可视化 收藏
    Owing to their high surface area, stable structure and easy fabrication, composite nanomaterials with encapsulation structures have attracted considerable research interest as sensing materials to detect volatile organic compounds. Herein, a hydrothermal route is designed to prepare foam shaped α-MoO3@SnS2 nanosheets that exhibit excellent sensing performance for triethylamine (TEA). The developed sensor, based on α-MoO3@SnS2 nanosheets, displays a high response of 114.9 for 100 ppm TEA at a low working temperature of 175 °C with sensitivity higher than many other reported sensors. In addition, the device shows a wide concentration detection range (from 500 ppb to 500 ppm), good stability after exposure to air for 80 days, and excellent selectivity. The superior sensing characteristics of the developed sensor are attributed to the high crystallinity of α-MoO3/SnS2, excessive and accessible active sites provided by the good permeability of porous SnS2 shells, and the excellent conductivity of the encapsulation heterojunction structure. Thus, the foam shaped α-MoO3@SnS2 nanosheets presented herein have promising practical applications in TEA gas sensing devices.