本期目录

2021年, 第32卷, 第12期 刊出日期:2021-12-22
  

  • 全选
    |
    评论
  • Aman Lv, Qiao Chen, Chen Zhao, Si Li, Shan Sun, Junping Dong, Zhongjun Li, Hengwei Lin
    中国化学快报. 2021, 32(12): 3653-3664. https://doi.org/10.1016/j.cclet.2021.06.020
    摘要 ( ) PDF全文 ( ) HTML 可视化 收藏
    Carbon dots (CDs), as a new member of carbon nanostructures, have been widely applied in extensive fields due to their exceptional physicochemical properties. While, the emissions of most reported CDs are located in the blue to green range under the excitation of ultraviolet or blue light, which severely limits their practical applications, especially in photovoltaic and biological fields. Studies that focused on synthesizing CDs with long-wavelength (red to near-infrared) emission/excitation features (simply named L-w CDs) and exploring their potential applications have been frequently reported in recent years. In this review, we analyzed the key influence factors for the synthesis of CDs with long wavelength and multicolor (containing long wavelength) emissive properties, discussed possible fluorescence mechanism, and summarized their applications in sensing and cancer theranostics. Finally, the existing challenges and potential opportunities of L-w CDs are presented.
  • Hao Tian, Lin Lin, Zhaojing Ba, Fangchao Xue, Yanzhao Li, Wen Zeng
    中国化学快报. 2021, 32(12): 3665-3674. https://doi.org/10.1016/j.cclet.2021.05.070
    摘要 ( ) PDF全文 ( ) HTML 可视化 收藏
    Thrombotic disease is a major problem that endangers human health. At present, MRI and CT are commonly used clinically to diagnose thrombosis, and thrombolytic drugs are used for treatment), but the diagnosis time is lagging, the utilization of drugs is low, and the resulting systemic toxicity problems such as side effects lead to poor treatment effects. Nanotechnology combining photoacoustic dynamics and chemical dynamics has shown great application value in tumor targeting, diagnosis, detection and treatment. It has also become a new direction in the diagnosis and treatment of thrombotic diseases, and has created new applications in the field of nanomaterials. This review summarizes the new progress of this combination in the diagnosis and treatment of thrombotic diseases according to the differences in the construction of the nanotherapy system, at the same time, we put forward some new problems and prospects for the integration of thrombosis diagnosis and treatment.
  • Yuyue Xu, Tao Wang, Zhu Chen, Lian Jin, Zuozhong Wu, Jinqu Yan, Xiaoni Zhao, Lei Cai, Yan Deng, Yuan Guo, Song Li, Nongyue He
    中国化学快报. 2021, 32(12): 3675-3686. https://doi.org/10.1016/j.cclet.2021.06.025
    摘要 ( ) PDF全文 ( ) HTML 可视化 收藏
    Point-of-care nucleic acid testing (POCNAT) has played an important role in the outbreak of infectious diseases (e.g., COVID-19) over recent years. POCNAT aims to realize the rapid, simple and automatic detection of nucleic acid. Thanks to the development of manufacturing technology, electronic information technology, artificial intelligence technology, and biological information technology in recent years, the development of the POCNAT device has led to significant advancement. Instead of the normal nucleic acid detection methods used in the laboratory, some novel experimental carriers have been applied, such as chips, cartridges and papers. The application of these experimental carriers has realized the automation and integration of nucleic acid detection. The entire process of nucleic acid detection is normally divided into three steps (nucleic acid extraction, target amplification and signal detection). All of the reagents required by the process can be pre-stored on these experimental carriers, without unnecessary manual operation. Furthermore, all of the processes are carried out in this experimental carrier, with the assistance of a specific control device. Although they are complicated to manufacture and precise in design, their application provides a significant step forwards in nucleic acid detection and realizes the integration of nucleic acid detection. This technology has great potential in the field of point-of-care molecular diagnostics in the future. This paper focuses on the relevant content of these experimental carriers.
  • Yue Wang, Xueer Zhou, Wenxuan Wang, Yongyao Wu, Zhiyong Qian, Qiang Peng
    中国化学快报. 2021, 32(12): 3687-3695. https://doi.org/10.1016/j.cclet.2021.06.032
    摘要 ( ) PDF全文 ( ) HTML 可视化 收藏
    Cancer is a serious threat to humans due to its high mortality. The efforts to fully understand cancer and to fight against it have never been stopped. The traditional therapies, such as surgery, radiotherapy and chemotherapy, are useful but cannot meet the increasing demands of patients. As such, novel approaches against cancer are urgently required. It has been found that the acidic tumor microenvironment plays important roles in promoting the cancer progression. In recent years, sodium bicarbonate (NaHCO3), a simple inorganic salt, has been found to be able to reverse the pH of tumor microenvironment and inhibit the invasion, metastasis, immune evasion, drug resistance and hypoxia of tumor cells. Thus, NaHCO3-based therapy is a potential approach for the treatment of cancer, and the related studies have been increasingly reported. Herein, we aim to provide a comprehensive understanding of the acidic tumor microenvironment and summarize the applications and mechanisms of NaHCO3 in cancer therapy. The combination of NaHCO3 with chemotherapy, immunotherapy or nanoparticles systems is discussed. In addition, the concerns of NaHCO3 in clinical use and the potential ways to use NaHCO3 for cancer therapy are also discussed.
  • Ping Huang, Daizheng Lian, Hualin Ma, Nansha Gao, Limin Zhao, Ping Luan, Xiaowei Zeng
    中国化学快报. 2021, 32(12): 3696-3704. https://doi.org/10.1016/j.cclet.2021.06.034
    摘要 ( ) PDF全文 ( ) HTML 可视化 收藏
    Drug delivery systems (DDS) are used to deliver therapeutic drugs to improve selectivity and reduce side effects. With the development of nanotechnology, many nanocarriers have been developed and applied to drug delivery, including mesoporous silica. Mesoporous silica nanoparticles (MSNs) have attracted a lot of attention for simple synthesis, biocompatibility, high surface area and pore volume. Based on the pore system and surface modification, gated mesoporous silica nanoparticles can be designed to realize on-command drug release, which provides a new approach for selective delivery of antitumor drugs. Herein, this review mainly focuses on the "gate keepers" of mesoporous silica for drug controlled release in nearly few years (2017-2020). We summarize the mechanism of drug controlled release in gated MSNs and different gated materials:inorganic gated materials, organic gated materials, self-gated drug molecules, and biological membranes. The facing challenges and future prospects of gated MSNs are discussed rationally in the end.
  • Qiuyuan Chen, Yan Zhao, Yunqi Liu
    中国化学快报. 2021, 32(12): 3705-3717. https://doi.org/10.1016/j.cclet.2021.05.043
    摘要 ( ) PDF全文 ( ) HTML 可视化 收藏
    Diabetes is one of the most disturbing chronic diseases in the world. The improvement of treatment efficiency brought by self-monitoring of blood glucose can relieve symptoms and reduce complications, which is considered as the gold standard of diabetes diagnosis and nursing. Compared to the traditional finger pricking measurement with painful and discontinuous processes, continuous blood glucose monitoring (CGM) presents superior advantages in wearable and continuous assessment of blood glucose levels. However, widely used implantable CGM systems at present require implantation operation and are highly invasive, so it is hard to be accepted by users. Except for the blood, available fluids in humans, such as interstitial fluid (ISF), sweat, tears and saliva, also contain glucose associated with blood sugar and can be extracted more easily. Therefore, these more accessible fluids are expected to realize minimized traumatic blood glucose monitoring. This review introduces the latest development of wearable minimally-/non-invasive CGM device, focusing on the types of blood substitute biological fluid and suitable monitoring approaches. We also analysis the merits and drawbacks of each method, and discuss the properties such as sensitivity, stability and convenience of each meter. Beyond highlighting recent key work in this field, we discuss the future development trend of wearable minimally-/non-invasive glucose meters.
  • Shiqi Cheng, Zhao Chen, Ya Yin, Yue Sun, Shenghua Liu
    中国化学快报. 2021, 32(12): 3718-3732. https://doi.org/10.1016/j.cclet.2021.05.049
    摘要 ( ) PDF全文 ( ) HTML 可视化 收藏
    Photophysical properties of organic and organometallic luminophors are closely related with their molecular packings, enabling the exploitation of stimuli-responsive functional luminescent molecules. Mechanochromic molecules, which can change their luminescence characteristics after mechanical stimulus, have received an increasing interest due to their promising applications in multifunctional sensors and molecular switches. During the past two decades, the development of gold(I) chemistry has been attracting the attention of plenty of researchers. Indeed, a variety of gold(I) complexes with fascinating photophysical behaviors have been discovered. This review focuses on the research progress in the different types of mechanoluminochromic gold(I) complexes, including mono-, bi- and multi-nuclear gold(I) systems. Their interesting luminescence behaviors of these gold(I)-containing luminogens upon mechanical stimulus and the proposed mechanisms of their observed mechanochromic luminescence are summarized systematacially. Moreover, this review will put forward an outlook about the possible opportunities and challenges in this significative scientific field.
  • Hongfei Wang, Yijun Zhong, Jiqiang Ning, Yong Hu
    中国化学快报. 2021, 32(12): 3733-3752. https://doi.org/10.1016/j.cclet.2021.04.025
    摘要 ( ) PDF全文 ( ) HTML 可视化 收藏
    Supercapacitors (SCs) with high power density and long cycling span life are demanding energy storage devices that will be an attractive power solution to modern electronic and electrical applications. Numerous theoretical and experimental works have been devoted to exploring various possibilities to increase the functionality and the specific capacitance of electrodes for SCs. Non-carbon two-dimensional (2D) materials have been considered as encouraging electrode candidates for their chemical and physical advantages such as tunable surface chemistry, high electronic conductivity, large mechanical strength, more active sites, and dual non-faradaic and faradaic electrochemical performances. Besides, these 2D materials also play particular roles in constructing highway channels for fast ion diffusion. This concise review summarizes cutting-edge progress of some representative 2D non-carbon materials for the aqueous electrolyte-based SCs, including transition metal oxides (TMOs), transition metal hydroxides (TMHs), transition metal chalcogenides (TMCs), MXenes, metal-organic frameworks (MOFs) and some emerging materials. Different synthetic methods, effective structural designs and corresponding electrochemical performances are reviewed in detail. And we finally present a detailed discussion of the current intractable challenges and technical bottlenecks, and highlight future directions and opportunities for the development of next-generation high-performance energy storage devices.
  • Xuerong Li, Haoyan Cheng, Hao Hu, Kunming Pan, Tongtong Yuan, Wanting Xia
    中国化学快报. 2021, 32(12): 3753-3761. https://doi.org/10.1016/j.cclet.2021.04.045
    摘要 ( ) PDF全文 ( ) HTML 可视化 收藏
    Zn-ion batteries (ZIBs) have gained great attention as promising next-generation power sources, because of their low cost, enviable safety and high theoretical capacity. Recently, massive researches have been devoted to vanadium-based materials as cathodes in ZIBs, owing to their multiple valence states, competitive gravimetric energy density, but the capacity degradation, sluggish kinetics, low operating voltage hinder further optimization of their performance in ZIBs. This review summarizes recent progress to increase the interlayer spacing, structural stability, and the diffusion ability of the guest Zn ions, including the insertion of different ions, introduction of defects, design of diverse morphologies, the combination of other materials. We also focus on approaches to promoting the valuable performance of vanadium-based cathodes, along with the related ongoing scientific challenges and limitations. Finally, the future perspectives and research directions of vanadium-based aqueous ZIBs are provided.
  • Yaping Liu, Shuang Zhu, Zhanjun Gu, Yuliang Zhao
    中国化学快报. 2021, 32(12): 3762-3770. https://doi.org/10.1016/j.cclet.2021.04.023
    摘要 ( ) PDF全文 ( ) HTML 可视化 收藏
    Recent years have witnessed the wide contributions made by transition metal dichalcogenides (TMDCs) to various fields, including the biomedical field. Here, to identify and further promote the development of biomedical TMDCs, we provide a bibliometric analysis of literature regarding TMDCs for biomedical applications. Firstly, general bibliometric distributions of the dataset by year, country, institute, Web of Science category and referenced source are recognized. Following, we carefully explore the research hotspots of the TMDC-related biomedical field, among which biosensing, bioelectronics, cancer theranostics, antibacterial and tissue engineering are identified. The functions of TMDCs in each biomedical scenario, the related properties and research challenges are highlighted. Finally, future prospects are proposed to shed light on the design of novel TMDC-related biomaterials, potential new biomedical applications, as well as their clinical translation.
  • Qi Xu, Jian Zhang, Dingsheng Wang, Yadong Li
    中国化学快报. 2021, 32(12): 3771-3781. https://doi.org/10.1016/j.cclet.2021.05.032
    摘要 ( ) PDF全文 ( ) HTML 可视化 收藏
    Single-atom site catalysts (SACs) and two-dimensional materials (2DM) have gradually become two hot topics in catalysis over the past decades. Their combination with each other can further endow the derived SACs with extraordinary properties such as high loading, identical active sites, uniform coordination environment, distinctive metal-support interaction, and enhanced catalytic activities. In this review, we highlight the recent development in this specific research topic according to the types of substrates and focus on their applications in energy conversion field. Additionally, we also make a brief introduction to the synthesis and characterization methods for SACs supported on 2DM (SACs/2DM). Finally, the challenges and perspectives are summarized based on the current development status. It is believed that this work will make contributions to the rational design and fabrication of novel SACs/2DM, promoting their practical energy applications in the future.
  • 通信
  • Baili Li, Xuan Ji, Lixian Tian, Xianneng Song, Ziyan Wang, Hira Khalid, Xi Yu, Lejia Wang, Wenping Hu
    中国化学快报. 2021, 32(12): 3782-3786. https://doi.org/10.1016/j.cclet.2021.04.013
    摘要 ( ) PDF全文 ( ) HTML 可视化 收藏
    Series tunneling across peptides composed of various amino acids is one of the main charge transport mechanisms for realizing the function of protein. Histidine, more frequently found in redox active proteins, has been proved to be efficient tunneling mediator. While how it exactly modulates charge transport in a long peptide sequence remains poorly explored. In this work, we studied charge transport of a model peptide junction, where oligo-alanine peptide was doped by histidine at different position, and the series of peptides were self-assembled into a monolayer on gold electrode with soft EGaIn as top electrode to form molecular junction. It was found that histidine increased the overall conductance of the peptide, meanwhile, its position modulated the conductance as well. Quantitative analysis by transport model and ultraviolet photoelectron spectroscopy (UPS) indicated a sequence dependent energy landscape of the tunneling barrier of the junction. Density-functional theory (DFT) calculation on the electronic structure of histidine doped oligo-alanine peptides revealed localized highest occupied molecular orbital (HOMO) on imidazole group of the histidine, which decreased charge transport barrier.
  • Ningning Li, Yi Liu, Xiaoyu Ji, Jiaxin Feng, Kai Wang, Jiayue Xie, Guanglu Lei, Xianghong Liu, Xiangxin Guo, Jun Zhang
    中国化学快报. 2021, 32(12): 3787-3792. https://doi.org/10.1016/j.cclet.2021.04.029
    摘要 ( ) PDF全文 ( ) HTML 可视化 收藏
    The application of Si as the anode materials for lithium-ion batteries (LIBs) is still severely hindered by the rapid capacity decay due to the structural damage caused by large volume change (> 300%) during cycling. Herein, a three-dimensional (3D) aerogel anode of Si@carbon@graphene (SCG) is rationally constructed via a polydopamine-assisted strategy. Polydopamine is coated on Si nanoparticles to serve as an interface linker to initiate the assembly of Si and graphene oxide, which plays a crucial role in the successful fabrication of SCG aerogels. After annealing the polydopamine is converted into N-doped carbon (N-carbon) coatings to protect Si materials. The dual protection from N-carbon and graphene aerogels synergistically improves the structural stability and electronic conductivity of Si, thereby leading to the significantly improved lithium storage properties. Electrochemical tests show that the SCG with optimized graphene content delivers a high capacity (712 mAh/g at 100 mA/g) and robust cycling stability (402 mAh/g at 1 A/g after 1500 cycles). Furthermore, the full cell using SCG aerogels as anode exhibits a reversible capacity of 187.6 mAh/g after 80 cycles at 0.1 A/g. This work provides a plausible strategy for developing Si anode in LIBs.
  • Fang Hu, Yao Gu, Fuhan Cui, Guihong Song, Kai Zhu
    中国化学快报. 2021, 32(12): 3793-3798. https://doi.org/10.1016/j.cclet.2021.04.032
    摘要 ( ) PDF全文 ( ) HTML 可视化 收藏
    Ammonium vanadate has been considered as a competitive high-performance cathode material for aqueous Zn-ion batteries. However, it still suffers from insufficient rate capability and poor cyclability due to the low electronic conductivity. Herein, (NH4)2V6O16·0.9H2O nanobelts with reduced graphene oxide (RGO) modification are synthesized by one-step hydrothermal reaction. Benefiting from the addition of RGO, an excellent electrochemical performance of (NH4)2V6O16·0.9H2O@RGO nanobelts can be obtained. The (NH4)2V6O16·0.9H2O@RGO displays a high-rate capacity and a high energy density of 386 Wh/kg at 72 W/kg. In particular, after 1000 cycles at 5 A/g, the capacity remains at 322 mAh/g with 92.8% capacity retention. In addition, the key reaction mechanisms of reversible Zn2+insertion/extraction in (NH4)2V6O16·0.9H2O@RGO are clarified.
  • Zepeng Lei, Francisco W. S. Lucas, Enrique Canales Moya, Shaofeng Huang, Yicheng Rong, Aaron Wesche, Patrick Li, Lauren Bodkin, Yinghua Jin, Adam Holewinski, Wei Zhang
    中国化学快报. 2021, 32(12): 3799-3802. https://doi.org/10.1016/j.cclet.2021.04.047
    摘要 ( ) PDF全文 ( ) HTML 可视化 收藏
    We report a series of highly stable metallophthalocyanine-based covalent organic frameworks (MPc-dx-COFs) linked by robust 1,4-dioxin bonds constructed through nucleophilic aromatic substitution (SNAr) reaction. The chemical structures and crystallinity of the COFs largely remain unchanged even after treating with boiling water (90 ℃), concentrated acids (12 mol/L HCl) or bases (12 mol/L NaOH), oxidizing (30% H2O2) or reducing agents (1 mol/L NaBH4) for three days due to their stable M-Pc building blocks and resilient dioxin linkers. With metallated phthalocyanine active sites regularly arranged in the stable framework structures, MPc-dx-COFs can be directly used as efficient electrocatalysts for the oxygen reduction reaction (ORR) without pyrolysis treatment that has commonly been used in previous studies.
  • Ningfang Li, Qingfang Lin, Yemin Han, Zeyu Du, Yan Xu
    中国化学快报. 2021, 32(12): 3803-3806. https://doi.org/10.1016/j.cclet.2021.04.042
    摘要 ( ) PDF全文 ( ) HTML 可视化 收藏
    The design of assembling high-nuclearity transition-lanthanide (3d-4f) clusters along with excellent magnetocaloric effect (MCE) is one of the most prominent fields but is extremely challenging. Herein, two heterometallic metal coordination polymers are constructed via the "carbonate-template" method, formulated as {[Gd18Ni24(IDA)22(CO3)7(μ3-OH)32(μ2-OH)3(H2O)5Cl]·Cl8·(H2O)14}n and {[Eu18Ni23.5(IDA)22(CO3)7(μ3-OH)32(H2O)5(IN)(CH3COO)2(NH2CH2COO)Cl]·Cl6·(H2O)17}n[abbreviated as 1-(Gd18Ni24)n and 2-(Eu18Ni23.5)n respectively; H2IDA = iminodiacetic acid; HIN = isonicotinic acid]. Concerning the structures, compounds 1-(Gd18Ni24)n and 2-(Eu18Ni23.5)n both feature the one-dimensional (1D) chain-like structure which is rarely reported in high-nuclearity metal complexes. Meanwhile, the large presences of Gd3+ ions in compound 1-(Gd18Ni24)n are conducive to the fantastic MCE, and the value of -ΔSm is 35.30 J kg-1 K-1 at 3.0 K and ΔH = 7.0 T. And more significantly, compound 1-(Gd18Ni24)n shows the large low-field magnetic entropy change (-ΔSm = 20.95 J kg-1 K-1 at 2.0 K and ΔH = 2.0 T) among the published 3d-4f mixed metal clusters.
  • Qingxin Zhang, Yabo Wang, Yanzhi Wang, Shujiao Yang, Xuan Wu, Bin Lv, Ni Wang, Yimei Gao, Xiaoran Xu, Haitao Lei, Rui Cao
    中国化学快报. 2021, 32(12): 3807-3810. https://doi.org/10.1016/j.cclet.2021.04.048
    摘要 ( ) PDF全文 ( ) HTML 可视化 收藏
    Developing large-scale electrocatalysts using molecular complexes for the oxygen evolution reaction (OER) is of great importance. Herein, four cobalt porphyrins and corroles are deposited on electrode substrates using a simple and fast electropolymerization method. Our results showed that Co-1-P@CC, formed by electropolymerizing Co tetrakis(p-N-pyrrolylphenyl)porphyrin (Co-1-P) on carbon cloth (CC), is the most active OER catalyst in the examined Co porphyrins and corroles in alkaline aqueous solutions by displaying an onset overpotential of 380 mV. Long-term electrolysis tests confirmed the stability of these electropolymerized films by functioning as OER electrocatalysts.
  • Guchuan Ping, Ling Miao, Abuduheiremu Awati, Xiaoyu Qian, Ting Shi, Yaokang Lv, Yafei Liu, Lihua Gan, Mingxian Liu, Dazhang Zhu
    中国化学快报. 2021, 32(12): 3811-3816. https://doi.org/10.1016/j.cclet.2021.04.055
    摘要 ( ) PDF全文 ( ) HTML 可视化 收藏
    The bio-nanotechnological fabrication of high-surface-area carbons has attracted widespread interest in supercapacitor applications by using readily-available natural products as raw materials or bio-templates, and is expected to refine on pore accessibility for compact energy storage. Here, a renovated design strategy of semi-biomass interpenetrating polymer network (IPN) derived carbon is demonstrated through physically knitting the biomacromolecule (sodium alginate, SA) polymeric chains into the highly crosslinked resorcinol-formaldehyde (RF) network and subsequent thermochemical conversion. Molecule-level interlacing forces in such IPN efficiently relieve the RF skeleton shrinkage when producing carbon, while the other SA network addresses the macrophase separation issue to sacrifice as an in-knitted porogen and a morphology-directing agent. As a result, porous carbon globules are equipped with moss-like surfaces and interconnected pore architecture for high accessible electrode surface (1013 m2/g), and efficient electrochemical responses are reached with the specific capacitance of 312 F/g at 1 A/g. Taking the advantage of 9 mol/kg NaClO4 complex-solvent electrolyte, the voltage window is extended to 2.4 V, endowing the two-electrode device with the high energy delivery of 32.3 Wh/kg at 240 W/kg.
  • Shasha Zheng, Yue Ru, Huaiguo Xue, Huan Pang
    中国化学快报. 2021, 32(12): 3817-3820. https://doi.org/10.1016/j.cclet.2021.05.010
    摘要 ( ) PDF全文 ( ) HTML 可视化 收藏
    Developing metal-organic framework (MOF)-based materials with good cyclic stability is the key to their practical application. Fluorinated organic compounds are usually highly chemically stability due to the high electronegativity of fluorine. Also, the pillared-layer structures based on coordination bonds have better structure and thermal stability than those based on hydrogen bonds. Herein, the fluorinated pillared-layer[Ni(2,3,4,5-tetrafluorobenzoic acid)(4,4'-bipyridine)]n MOF ([Ni(TFBA)(Bpy)]n) materials were constructed through a facile room-temperature solution reaction and used as electrode materials for supercapacitors. Surprisingly, the size/morphology of Ni(TFBA)(Bpy)]n MOFs could be adjusted by varying the synthesis time. Benefting from the short ion diffusion length, unique pillar-layer structure, and strong intercomponent synergy of organic ligands, the Ni(TFBA)(Bpy)]n MOF microrods showed a higher electrochemical energy storage capability than bulk MOFs. At the same time, compared to the non-fluorinated[Ni(benzoic acid)(Bpy)]n MOFs (31.5% capacitance decay), the fluorinated Ni(TFBA)(Bpy)]n MOFs have a higher cycle stability with only 2.6% capacitance loss after 5000 cycles at 3 mA/cm2.
  • Ran Wang, Chaozheng He, Weixing Chen, Chenxu Zhao, Jinrong Huo
    中国化学快报. 2021, 32(12): 3821-3824. https://doi.org/10.1016/j.cclet.2021.05.024
    摘要 ( ) PDF全文 ( ) HTML 可视化 收藏
    The photocatalytic nitrogen reduction reaction (NRR) has mild reaction conditions and only requires sunlight energy as a driving force to replace the traditional ammonia synthesis method. We herein investigate the catalytic activity and selectivity on Penta-B2C for NRR by using density functional theory calculations. Penta-B2C is a semiconductor with an indirect bandgap (2.328 eV) and is kinetically stable based on molecular dynamic simulations. The optical absorption spectrum of Penta-B2C is achieved in the ultraviolet and visible range. Effective light absorption is more conducive to generate photo-excited electrons and improving photocatalytic performances. Rich B atoms as activation sites in Penta-B2C facilitate capturing N2. The activated N2 molecule prefers the side-on adsorption configuration on Penta-B2C, which facilitates the subsequent reduction reaction. Among considered NRR mechanisms on Penta-B2C, the best pathway prefers the enzymatic mechanism, only required a low onset potential of 0.23 V. The hydrogen evolution reaction is inhibited when the hydrogen adsorption concentration is increased or N2 molecules first occupy the adsorption sites. Our results indicate Penta-B2C is a highly reactive and selective photocatalyst for NRR. Our work provides theoretical insights into the experiments and has guiding significance to synthesize efficient NRR photocatalysts.
  • Huimin Yan, Huning Yang, Jipeng Luo, Nan Yin, Zhicheng Tan, Quan Shi
    中国化学快报. 2021, 32(12): 3825-3832. https://doi.org/10.1016/j.cclet.2021.05.017
    摘要 ( ) PDF全文 ( ) HTML 可视化 收藏
    n-Alkanes have been widely used as phase change materials (PCMs) for thermal energy storage applications because of their exceptional phase transition performance, high chemical stability, long term cyclic stability and non-toxicity. However, the thermodynamic properties, especially heat capacity, of n-alkanes have rarely been comprehensively investigated in a wide temperature range, which would be insufficient for design and utilization of n-alkanes-based thermal energy storage techniques. In this study, the thermal properties of n-alkanes (C18H38-C22H46), such as thermal stability, thermal conductivity, phase transition temperature and enthalpy were systematically studied by different thermal analysis and calorimetry methods, and compared with previous results. Thermodynamic property of these n-alkanes was studied in a wide temperature range from 1.9 K to 370 K using a combined relaxation (Physical Property Measurement System, PPMS), differential scanning and adiabatic calorimetry method, and the corresponding thermodynamic functions, such as entropy and enthalpy, were calculated based on the heat capacity curve fitting. Most importantly, the heat capacities and related thermodynamic functions of n-heneicosane and n-docosane were reported for the first time in this work, as far as we know. This research work would provide accurate and reliable thermodynamic properties for further study of n-alkanes-based PCMs for thermal energy storage applications.
  • Hui Yu, Xiang Wu, Qiaoqiao Mu, Zhihe Wei, Yindong Gu, Xuzhou Yuan, Yongtao Lu, Zhao Deng, Yang Peng
    中国化学快报. 2021, 32(12): 3833-3836. https://doi.org/10.1016/j.cclet.2021.05.035
    摘要 ( ) PDF全文 ( ) HTML 可视化 收藏
    The development of robust photocatalytic systems is key to harvest the solar power for hydrogen production. In the current study, a series of aluminum-based porphyrinic metal organic frameworks (Al-TCPP) with various morphologies of bulk, carambola-like and nanosheets are synthesized with modulated layer thickness. Morphology-dependent photocatalytic activities in hydrogen production are witnessed and inversely correlate to the thickness of the Al-TCPP micro-platelets or nanosheets. Particularly, the exfoliated metal organic layers (MOLs) of Al-TCPP demonstrated a high hydrogen yield rate of 1.32 × 104 μmol h-1 g-1 that is 21-fold of that from the bulk catalyst, as well as an exceptional TON of 6704 that seldom seen in literature. Through comprehensive photochemical characterizations, the remarkable photocatalytic performance of Al-TCPP-MOL is attributed to the great charge separation efficiency and transfer kinetics endowed by the ultrathin 2D morphology with extended active surface area.
  • Wenxiu Qu, Wei Yuan, Mengwei Li, Yulan Chen
    中国化学快报. 2021, 32(12): 3837-3840. https://doi.org/10.1016/j.cclet.2021.05.044
    摘要 ( ) PDF全文 ( ) HTML 可视化 收藏
    A HAT based large PAH discotic molecule PN8 is developed. The enlarged chromophoric core and doping heteroatoms enable colorimetric and fluorometric sensing of Cu2+ and Zn2+ with highly appreciable optical changes, good selectivity and low detection limit. Moreover, PN8 was demonstrated as an excellent adsorbent to remove Cu2+ and Zn2+ from wastewater.
  • Yunpeng Wu, Deyang Yu, Yi Feng, Leiyun Han, Xilong Liu, Xudong Zhao, Xiaoyang Liu
    中国化学快报. 2021, 32(12): 3841-3846. https://doi.org/10.1016/j.cclet.2021.04.054
    摘要 ( ) PDF全文 ( ) HTML 可视化 收藏
    Inducing ferromagnetism into graphene is vital today because it has a wide range of applications such as spintronics devices and magnetic memory devices. In this paper, we will report a new method to synthesize ferromagnetic graphene by nitrogen doping. X-ray photoelectron spectroscopy (XPS) and Raman spectroscopy were utilized to testify the N-doped material and further discuss the N-doped process. The superconducting quantum interference device (SQUID) was put in and used to analyze the magnetic properties of the N-doped graphene sheets. It shows that the material exhibits ferromagnetism at both 3 K and 300 K and the ferromagnetic saturation moment is 0.412 emu/g and 0.051 emu/g, respectively. The mechanism of the origin of the ferromagnetism in N-doped graphene sheets will also be discussed in this paper. It shows that, when the amount graphitic N reached the threshold, the origin of the ferromagnetism will change from defects induced by nitrogen atoms to the transition in energy band caused by graphitic N.
  • Zixing Guan, Kaixiang Zou, Xiao Wang, Yuanfu Deng, Guohua Chen
    中国化学快报. 2021, 32(12): 3847-3851. https://doi.org/10.1016/j.cclet.2021.05.013
    摘要 ( ) PDF全文 ( ) HTML 可视化 收藏
    P-doping is an effective way to modulate the electronic structure and improve the Na+ diffusion kinetics of TiO2, enabling enhanced electrochemical performance. However, it is a challenge to prepare TiO2 with a high P-doping concentration starting from TiO2 in a crystalline state. In this work, we design a novel two-step route for constructing a carbon-coated anatase P-doping TiO2 nanospheres (denote as (P-AnTSS)@NC) with high P-doping concentration, by utilizing amorphous TiO2 nanospheres with the ultra-high specific area as P-doping precursor firstly, and followed by carbon coating treatment. Experimental results demonstrate that P is successfully doped into the crystal lattice and carbon layer is well coated on the surface of TiO2, with P-doping and carbon-coating contents of ~13.5 wt% and 10.4 wt%, respectively, which results in the enhanced pseudocapacitive behavior as well as favorable Na+ and electron transferring kinetics. The (P-AnTSS)@NC sample shows excellent rate and cycle performance, exhibiting specific capacities of 177 and 115 mAh/g at 0.1 and 1.0 A/g after 150 and 2000 cycles, respectively.
  • Jia-Lu Shen, Bing-Pan Zhang, Di Zhou, Zhi-Kang Xu, Ling-Shu Wan
    中国化学快报. 2021, 32(12): 3852-3856. https://doi.org/10.1016/j.cclet.2021.05.023
    摘要 ( ) PDF全文 ( ) HTML 可视化 收藏
    Surface deposition based on metal-phenolic networks (MPNs) has received increasing interest in recent years. The catechol structure is generally considered to be essential to the formation of MPNs. Our most recent results have demonstrated that some kinds of monophenols can form MPNs on substrate surfaces. Herein, we report a fast and effective surface-coating system based on the coordination of 3-(4-hydroxy-3-methoxyphenyl)-2-propenoic acid, a kind of monophenol, with Fe3+. Compared with other metal ions such as Cu2+ and Ni2+, Fe3+ with stronger electron acceptability can coordinate with the monophenol more strongly to form MPNs, and moreover, the deposition time significantly decreases to 40 min from generally 24 h. It is demonstrated that the deposition process is controlled by the coordination, Fe3+ hydrolysis, and deprotonation of the monophenol. The coatings endow substrates such as polypropylene microfiltration membrane with underwater superoleophobicity, which can be applied in oil/water separation with high separation efficiency and great long-term stability. In addition, the coated membranes are positively charged and thus are useful in selective adsorption of dyes. The present work not only provides a novel, fast, and one-step deposition method to fabricate MPNs, but also demonstrates that the fabrication efficiency of monophenol-based MPNs is comparable with that of polyphenol-based MPNs.
  • Lanping Gao, Xiaolu Chen, Dongru Sun, Hua Zhao, Yufen Zhao, Wonwoo Nam, Yong Wang
    中国化学快报. 2021, 32(12): 3857-3861. https://doi.org/10.1016/j.cclet.2021.05.030
    摘要 ( ) PDF全文 ( ) HTML 可视化 收藏
    Introduction of iodosylarnes into biomimetic nonheme chemistry has made great achievement on identification of the subtle metal-oxygen reaction intermediates. However, after more than three decades of experimental and theoretical efforts the nature of the metal-iodosylarene adducts and the related dichotomous one-oxidant/multiple-oxident controversy have remained a matter of speculation. Herein, we report a theoretical study of the structure-activity relationship of the noted iron(III)-iodsylarene complex, FeIII(PhIO)(OTf)3 (1), in oxygenation of cyclohexene. The calculated results revealed that 1 behaves like a chameleon by adapting its roles as a 2e-oxidant or an oxygen donor, as a response to the regioselective attack of the C-H bond and the C=C bond. The oxidative C-H bond activation by 1 was found, for the first time, to proceed via a novel hydride transfer process to form a cyclohexene carbonium intermediate, such non-rebound step triggers the Ritter reaction to uptake an acetonitrile molecule to form the amide product, or proceeds with the rebound of the hydroxyl group return to the solvent cage to form the hydroxylated product. While in the C=C bond activation, 1 is a normal oxygen donor and shows two-state reactivity to present the epoxide product via a direct oxygen atom transfer mechanism. These mechanistic findings fit and explain the famous Valentine's experiments and enrich the non-rebound scenario in bioinorganic chemistry.
  • Zengjin Liu, Ying Zheng, Ting Xie, Zihan Chen, Zhenlong Huang, Zhiwei Ye, Yi Xiao
    中国化学快报. 2021, 32(12): 3862-3864. https://doi.org/10.1016/j.cclet.2021.04.038
    摘要 ( ) PDF全文 ( ) HTML 可视化 收藏
    Spontaneously blinking probe, which switches between dark and bright state without UV or external additives, is extremely attractive in super resolution imaging of live cells. Herein, a clickable rhodamine spirolactam probe, Atto565-Tet, is rationally constructed for spontaneously blinking after biorthogonal labelling and successfully applied to super resolution imaging of mitochondria and lysosomes.
  • Jin Li, Mengmeng Zhang, Lu Yang, Yubing Han, Xiao Luo, Xuhong Qian, Youjun Yang
    中国化学快报. 2021, 32(12): 3865-3869. https://doi.org/10.1016/j.cclet.2021.04.041
    摘要 ( ) PDF全文 ( ) HTML 可视化 收藏
    Novel xanthenoid dyes by replacing the central oxygen atom of the xanthene dyes with less electron-rich bridging groups have been intensively sought after primarily for their long spectral wavelengths. However, the new scaffolds are likely prone to nucleophilic attack at their central methane carbon, as the result of the reduced electron density of the fluorochromic scaffolds. We envisage that the bridging group may be harnessed to sterically shield the central methane carbon from incoming nucleophiles and render high stability and synthesized xantheno-xanthene dyes. Additionally, the xantheno-bridging group can be modified via electrophilic aromatic substitution to introduce functionalities, e.g., sulfonate groups.
  • Sha Li, Fangjun Huo, Yongkang Yue, Kaiqing Ma, Ying Wen, Caixia Yin
    中国化学快报. 2021, 32(12): 3870-3875. https://doi.org/10.1016/j.cclet.2021.05.026
    摘要 ( ) PDF全文 ( ) HTML 可视化 收藏
    Mitochondria is the main organelle for the production of reactive sulfur species (RSS), such as homocysteine (Hcy), cysteine (Cys), glutathione (GSH) and sulfur dioxide (SO2). These compounds participate in a large number of physiological processes and play an extremely important role in maintaining the balance of life systems. Abnormal concentration and metabolism are closely related to many diseases. Due to their similarities in chemical properties, it is challenging to develop a single fluorescent probe to distinguish them simultaneously. Here, we synthesized the probe PI-CONBD with three fluorophores, NBD-Cl and benzopyranate as the reaction sites of GSH/Cys/Hcy and SO2, respectively. Three biothiols all could cleavage ether bond to release benzopyrylium and coumarin moiety, which emitted red and blue fluorescence, but Cys/Hcy also could do intramolecular rearrangement after nucleophilic substitution, resulting in yellow fluorescence. Thus the probe can distinguish Cys/Hcy and GSH. Subsequently, only SO2 could quench red fluorescence by adding C=C of benzopyrylium. The probe also could localize well in mitochondria by oxonium ion for all kinds of cells. The probe not only could detect above sulfur-containing active substances of intracellular and extracellular but also monitor the level of them under oxidative stress and apoptosis process in living cells and zebrafish.
  • Junwei Chen, Na Wang, Hongjuan Tong, Chao Song, Huijuan Ma, Yajun Zhang, Feng Gao, Huan Xu, Wei Wang, Kaiyan Lou
    中国化学快报. 2021, 32(12): 3876-3881. https://doi.org/10.1016/j.cclet.2021.05.047
    摘要 ( ) PDF全文 ( ) HTML 可视化 收藏
    Selective detection of multiple analytes in a compact design with dual-modality and theranostic features presents great challenges. Herein, we wish to report a coumarin-thiazolidine masked d-penicillamine based dual-modality fluorescent probe COU-DPA-1 for selective detection, differentiation, and detoxification of multiple heavy metal ions (Ag+, Hg2+, Cu2+). The probe shows divergent fluorescence (FL)/circular dichroism (CD) responses via divergent bond-cleavage cascade reactions (metal ion promoted C-S cleavage and hydrolysis at two distinctive cleavage sites):FL "turn-off" and CD "turn-on" for Ag+ (no hydrolysis), FL "turn-on" and CD "turn-off" for Hg2+ (imine hydrolysis), and FL "self-threshold ratiometric" and CD "turn-off" for excess Cu2+ (lactone and imine hydrolysis), providing the first example of a fluorescence/CD dual-modality probe for multiple species with complimentary responses. Moreover, the bond-cleavage cascade reactions also lead to the formation of d-penicillamine heavy metal ion complexes for potential detoxification treatments.
  • Hong Yang, Mengqi Li, Weijun Zhao, Zhiqian Guo, Wei-Hong Zhu
    中国化学快报. 2021, 32(12): 3882-3885. https://doi.org/10.1016/j.cclet.2021.05.053
    摘要 ( ) PDF全文 ( ) HTML 可视化 收藏
    The development of solid-state smart materials, in particular those showing photoresponsive luminescence, is highly desirable for their cutting edge applications in displays, sensors, data-storage, and anti-counterfeiting. However, to achieve both excellent photoresponsive performance and bright luminescence in solid state remains challenge. Herein, we integrate a novel photochromic fluorophore YL into flexible polymer chains, thereby enabling the resultant polymer PYL with reversible photoisomerization upon aggregation. Remarkably, the polymer PYL possesses excellent photochromic properties and aggregation-induced emission (AIE) activity, which can be attributed to the photoactive YL moiety. Upon light exposure, its film exhibits reversibly off-to-on fluorescent modulation with quick response, high emission efficiency and signal contrast, sharply different from the weak emission in solution. The novel photoresponsive AIE polymer with invisible/visible color and fluorescence transformation allows for advanced anti-counterfeiting applications. This work provides an efficient platform for constructing solid-state photocontrollable luminescent materials.
  • Danghui Ma, Shumin Hou, Chaeeon Bae, Thanh Chung Pham, Songyi Lee, Xin Zhou
    中国化学快报. 2021, 32(12): 3886-3889. https://doi.org/10.1016/j.cclet.2021.05.048
    摘要 ( ) PDF全文 ( ) HTML 可视化 收藏
    The effective detecting ONOO- variations in vivo is of great importance to well understand the complex pathophysiological processes. We reported here a photoacoustic (PA) probe AZB-1 for imaging ONOO- in vivo. AZB-1 showed an originally strong photoacoustic signal at 660 nm. And its PA signal can be turned off by shutting the ICT effect caused by the conjugated electron withdrawing group at 2-position of the aza-BODIPY core. Moreover, the probe was successfully employed to imaging ONOO- variations in inflammatory mice models. Wisely utilized this strategy may serve as powerful platforms for the preparation of novel PA chemosensors.
  • Xingxing Zhang, Tianbing Ren, Feiyu Yang, Lin Yuan
    中国化学快报. 2021, 32(12): 3890-3894. https://doi.org/10.1016/j.cclet.2021.06.038
    摘要 ( ) PDF全文 ( ) HTML 可视化 收藏
    Rhodamine dyes have been widely employed in biological imaging and sensing. However, it is always a challenge to design rhodamine derivatives with huge Stokes shift to address the draconian requirements of single-excitation multicolor imaging. In this work, we described a generally strategy to enhance the Stokes shift of rhodamine dyes by completely breaking their electronic symmetry. As a result, the Stokes shift of novel rhodamine dye DQF-RB-Cl is up to 205 nm in PBS, which is the largest in all the reported rhodamine derivatives. In addition, we successfully realized the single excitation trichromatic imaging of mitochondria, lysosomes and cell membranes by combining DQF-RB-Cl with commercial lysosomal targeting probe Lyso-Tracker Green and membrane targeting dye Dil. This is the organic synthetic dyes for SLE-trichromatic imaging in cells for the first time. These results demonstrate the potential of our design as a useful strategy to develop huge Stokes shift fluorophore for bioimaging.
  • Ying-Hao Pan, Xiao-Xiao Chen, Lei Dong, Na Shao, Li-Ya Niu, Qing-Zheng Yang
    中国化学快报. 2021, 32(12): 3895-3898. https://doi.org/10.1016/j.cclet.2021.06.024
    摘要 ( ) PDF全文 ( ) HTML 可视化 收藏
    Evaluating the correlation between hypoxia inducible factor 1 (HIF-1) and nitric oxide (NO) generated under hypoxia is of great significance. In this work, we developed a fluorescent probe for the monitor of HIF-1 activity influenced by NO under hypoxia in hepatoma cells with dual-targeting for hepatocyte and lipid droplet (LD). The probe shows excellent selectivity to NO and high sensitivity with 6000-fold fluorescence enhancement. Live cell imaging experiments revealed the probe's capability of imaging exogenous and endogenous NO with specific in LDs of HepG2 cells. For cells under hypoxia, HIF-1 induced LD level is observed to correlate with NO level. This work provides the in-situ visualization of NO-dependent HIF-1 upregulation through LD accumulation.
  • Tongxia Jin, Mengyu Cui, Dan Wu, Weiping Zhu, Yufang Xu, Xuhong Qian
    中国化学快报. 2021, 32(12): 3899-3902. https://doi.org/10.1016/j.cclet.2021.06.033
    摘要 ( ) PDF全文 ( ) HTML 可视化 收藏
    Glutathione (GSH) plays a critical role in maintaining cellular redox homeostasis in biological system. Mitochondrion is a pivotal organelle for cellular aerobic respiration and its disorder is associated with impaired redox balance, leading to cell death. In this work, we designed and synthesized a non-invasive "off-on" mitochondrial-targeting fluorescent probe QZ for the detection of GSH in living cells. Based on the mechanism of native chemical ligation (NCL) and fluorescence resonance energy transfer (FRET), a rhodamine B derivative, QZ was prepared, by choosing aromatic thioester bond as the selective reaction site. QZ exhibited excellent detection capability for GSH over Cys and Hcy. Upon addition of GSH to QZ solution, a remarkably enhanced fluorescence was observed with a limit of detection of 2.98 μmol/L. Furthermore, QZ was found to possess the specific mitochondrial localization ability in cell imaging experiments. Moreover, with exogenous and endogenous stimulations, QZ could image GSH in living cells.
  • Shuang Chen, Yongzhuo Liu, Ri Liang, Gaobo Hong, Jing An, Xiaojun Peng, Wen-Heng Zheng, Fengling Song
    中国化学快报. 2021, 32(12): 3903-3906. https://doi.org/10.1016/j.cclet.2021.06.041
    摘要 ( ) PDF全文 ( ) HTML 可视化 收藏
    A variety of nano-engineered photosensitizers have been developed for photodynamic therapy (PDT) of cancer diseases. However, traditional nano-engineering methods usually cannot avoid drug leakage and premature release, and have disadvantages such as low drug load and inaccurate release. The self-assembly strategy based on amphiphilic peptides has been considered to be more attractive nano-engineering method. Here we developed novel acid-activatable self-assembled nanophotosensitizers based on an amphiphilic peptide derivative. The peptide derivative was synthesized from a fluorescein molecule with thermally activated delayed fluorescence (TADF). The self-assembled nanophotosensitizers can specifically enter the tumor cells and disassemble inside lysosomes companied with "turn-on" fluorescence and photodynamic therapy effect. Such smart nanophotosensitizers will open new opportunities for cancer theranostics.
  • Youfusheng Wu, Xinyi Fang, Jiaqi Shi, Weijing Yao, Wei Wu
    中国化学快报. 2021, 32(12): 3907-3910. https://doi.org/10.1016/j.cclet.2021.04.040
    摘要 ( ) PDF全文 ( ) HTML 可视化 收藏
    Carbon dots (CDs) with fluorescence (FL) and room-temperature phosphorescence (RTP) optical properties have attracted dramatically growing interest in anti-counterfeiting application. Herein, color-tunable and stable FL and ultralong RTP (to naked eyes ~14 s) are successfully achieved in CDs system. Encoding information and patterns fabricated by directly screen-printing method are invisible to eyes under natural light. Interestingly, clear and multicolor patterns with tunable FL and RTP emissions are identified under the 365 nm, 395 nm and 465 nm excitation and removal of them, indicating potential application of carbon dots with different FL and RTP outputs in the high-level photonic anti-counterfeiting field.
  • Pengchong Wang, Hongrui Ji, Shiyan Guo, Ying Zhang, Yan Yan, Ke Wang, Jianfeng Xing, Yalin Dong
    中国化学快报. 2021, 32(12): 3911-3915. https://doi.org/10.1016/j.cclet.2021.05.005
    摘要 ( ) PDF全文 ( ) HTML 可视化 收藏
    Carbon dots (CDs) are novel fluorescent nanomaterials with good water solubility, high resistance to photobleaching and low toxicity. While, there are few studies elaborate on the relationship among reaction conditions, properties and applications of CDs. In this study, a series of CDs are synthesized through a one-pot hydrothermal method, and different reaction conditions are carried out to study the influencing factors of CDs properties. As a result, with the increase of temperature and reaction time, the particle size and zeta potential of CDs increased, the maximum emission wavelength red-shifted and the fluorescence quantum yield (QY) improved. Among them, CD3006 has good water solubility and highest QY of 81.4%, which is beneficial for its applications in bioimaging and ion detection. CD3006 is almost nontoxic in cells at a concentration of 500 μg/mL. In addition, the positive charged CD3006 shows nuclear targeting potential because of its combination with DNA through electrostatic interaction in nucleus. The properties of CDs can be greatly enhanced by controlling reaction conditions, and it provides great application prospects.
  • Wenyan Ma, Bolun Wang, Yonggang Yang, Jiyang Li
    中国化学快报. 2021, 32(12): 3916-3920. https://doi.org/10.1016/j.cclet.2021.05.021
    摘要 ( ) PDF全文 ( ) HTML 可视化 收藏
    The integration of luminescence and chirality in carbon dots (CDs) encourages candidates to explore novel functions and applications of CDs, however, the preparation of chiral CDs is very limited. Herein, we report a hydrothermal method to fabricate chiral CDs by utilizing amino acid enantiomers as the precursors. LGln-CDs or DGln-CDs with uniform size of 3-4 nm show excitation-dependent blue fluorescence in solutions. Circular dichroism measurement confirms the opposite optical rotation of chiral CDs in the region from 200 nm to 300 nm, and the signals can be regulated by concentrations of CDs solution. Time-dependent density functional calculation reveals that polypeptides may exist on the surface of CDs due to the polycondensation of L/DGln at high temperature, and the optical activity of CDs originates from the stacking of neighboring carbonyl groups. The facile synthetic methodology proposed will provide potential opportunities for the preparation and application of chiral and chiroptical CDs-based materials.
  • Yongqiang Li, Yi Xiao, Quan Tao, Mengmeng Yu, Li Zheng, Siwei Yang, Guqiao Ding, Hui Dong, Xiaoming Xie
    中国化学快报. 2021, 32(12): 3921-3926. https://doi.org/10.1016/j.cclet.2021.05.014
    摘要 ( ) PDF全文 ( ) HTML 可视化 收藏
    The development of ultra-sensitive methods for detecting anions is limited by their low charge to radius ratios, microenvironment sensitivity, and pH sensitivity. In this paper, a magnetic sensor is devised that exploits the controllable and selective coordination that occurs between a magnetic graphene quantum dot (GQD) and fluoride anion (F-). The sensor is used to measure the change in relaxation time of aqueous solutions of magnetic GQDs in the presence of F- using ultra-low-field (118 μT) nuclear magnetic resonance relaxometry. The method was optimized to produce a limit of detection of 10 nmol/L and then applied to quantitatively detect F- in domestic water samples. More importantly, the key factors responsible for the change in relaxation time of the magnetic GQDs in the presence of F- are revealed to be the selective coordination that occurs between the GQDs and F- as well as the localized polarization of the water protons. This striking finding is not only significant for the development of other magnetic probes for sensing anions but also has important ramifications for the design of contrast agents with enhanced relaxivity for use in magnetic resonance imaging.
  • Xiaokai Xu, Luoqi Mo, Wei Li, Yadong Li, Bingfu Lei, Xuejie Zhang, Jianle Zhuang, Chaofan Hu, Yingliang Liu
    中国化学快报. 2021, 32(12): 3927-3930. https://doi.org/10.1016/j.cclet.2021.05.056
    摘要 ( ) PDF全文 ( ) HTML 可视化 收藏
    As one of the most promising fluorescent nanomaterials, carbon dots (CDs) have been extensively studied for their fluorescent properties in solution. However, research on the synthesis of multicolor solid-state fluorescence (SSF) CDs (from blue to red) is rarely reported. Herein, we used o-phenylenediamine, m-phenylenediamine and p-phenylenediamine with dithiosalicylic acid (DTSA) in the solvothermal reaction using acetic acid as a solvent to obtain aggregation-induced emissive (AIE) CDs of red (620 nm), green (520 nm), and blue (478 nm), respectively. XPS spectra and TEM image show that with the red-shift of luminescence, the particle size and content of C=O of the CDs gradually increases. Finally, based on the non-matrix solid-state multicolor luminescence characteristics of CDs, the application of white light LED devices is realized. Besides, based on the fat-soluble properties of CDs, fingerprint detection applications are realized.
  • Chi Zhang, Jingjing Jin, Ke Liu, Xuejuan Ma, Xinfeng Zhang
    中国化学快报. 2021, 32(12): 3931-3935. https://doi.org/10.1016/j.cclet.2021.05.050
    摘要 ( ) PDF全文 ( ) HTML 可视化 收藏
    Chemiluminescence (CL) has been widely used for bioanalysis owing to its high sensitivity, low background and simplicity. However, most of the CL systems need acidic/alkaline conditions or organic solvent to enhance their luminescent efficiency, and the non-physiological conditions can usually lead to the misfunction of biomolecules during biosensing. Herein, we report a highly luminous CL system under physiological conditions based on carbon dots-bis(2-carbopentyloxy-3,5,6-trichlorophenyl) oxalate (CDs-CPPO) micelles, and further used it in biosensing application. In the CL system, the amphiphilic surfactant packed CPPO and hydrophobic CDs together to form CDs-CPPO micelles. Such micelles solution not only isolated the CPPO from water to prevent its hydrolysis but also made the close proximity between CPPO and CDs, thus significantly enhancing the CDs quantum yield. The CL quantum yield was calculated to be 5.26×10-4 einsteins/mol, about 200-fold higher than that of the most commonly used luminol CL system. The oxidases (e.g., glucose oxidase) were tested to be susceptible to the organic solvent and non-physiological pH. Hence, the CL system was used for the detection of oxidase substrates (exemplified by glucose) in serum samples, and the limit of detection was as low as 8.4 nmol/L. The highly luminous CL system that can work under physiological conditions is promising for biosensing applications
  • Xianglian Li, Hui Liu, Ailing Yu, Dan Lin, Zhishu Bao, Yuqin Wang, Xingyi Li
    中国化学快报. 2021, 32(12): 3936-3939. https://doi.org/10.1016/j.cclet.2021.03.037
    摘要 ( ) PDF全文 ( ) HTML 可视化 收藏
    Based on a recent report concerning endogenous agents (i.e., pyridoxal phosphate, adenosine triphosphate, adenosine monophosphate, folinic acid) that modulate the oligomerization of apoptosis-associated speck-like protein (ASC) via the peptide epitope of KKFKLKL, we rationally designed and synthesized a nonapeptide (NapFFKKFKLKL), which can co-assemble with dexamethasone sodium phosphate (Dexp) to generate a NapFFKKFKLKL/Dexp supramolecular hydrogel for ocular drug delivery. The NapFFKKFKLKL/Dexp hydrogel formed instantly after the complexation of NapFFKKFKLKL with Dexp in aqueous solution. The formed supramolecular hydrogels were thoroughly characterized by transmission electron microscopy (TEM), fluorescent spectrum, circular dichroism (CD) spectra and rheology. The peptide concentration significantly affected the in vitro release behavior of Dexp from the supramolecular hydrogel, and the higher peptide concentration resulted in the slower drug release. Following a single intravitreal injection, the proposed NapFFKKFKLKL/Dexp hydrogel displayed good intraocular biocompatibility without having an adverse impact on the retinal architecture and eyesight functions during one month of follow-up. Using an experimental autoimmune uveitis (EAU) rat model, we demonstrated that the resulting NapFFKKFKLKL/Dexp hydrogel had potent capacity to alleviate the intraocular inflammation and retain the morphology of retinal architecture. Overall, the resulting NapFFKKFKLKL/Dexp hydrogel may be a promising drug carrier system to treat various posterior disorders (i.e., uveitis).
  • Heng Wu, Rui Zhang, Bianxiang Hu, Yutong He, Yuehang Zhang, Liu Cai, Leyu Wang, Guobao Wang, Honghao Hou, Xiaozhong Qiu
    中国化学快报. 2021, 32(12): 3940-3947. https://doi.org/10.1016/j.cclet.2021.04.043
    摘要 ( ) PDF全文 ( ) HTML 可视化 收藏
    As a worldwide public health issue, chronic kidney disease still lacks of effective therapeutic approaches due to the challenges in conventional organ transplantation and dialysis. Renal tissue engineering offers an advantageous therapeutic or regenerative option over typical donor organ. However, despite the great progress of decellularized extracellular matrix based scaffold for the renal regeneration, several safety concerns and complex composition still remain to be addressed. Herein, the extracellular matrix-mimicking hydrogel scaffolds were developed through covalent and physical cross-linking between swim bladder-derived natural collagen (COL) and anti-fibrosis chondroitin sulfate (CS) derivatives. The biomimetic hydrogels showed proper mechanical property, excellent thermal stability and high biocompatibility both in vitro and in vivo, by altering the mass ratio of COL and CS. When implanted in partially nephrectomized rat model, the 1COL/2CS scaffold enable it recruit more native kidney cells, reduce the tubular damage, and even induce the regeneration of renal tubular-like tissue and restore renal metabolic function more effectively comparing with the pure 2COL and 2CS scaffold. These results suggest that the biomimetic scaffold is a promising functional platform for treating renal diseases.
  • Ning Jiang, Zaigang Zhou, Wei Xiong, Jiashe Chen, Jianliang Shen, Rongtao Li, Ruirong Ye
    中国化学快报. 2021, 32(12): 3948-3953. https://doi.org/10.1016/j.cclet.2021.06.053
    摘要 ( ) PDF全文 ( ) HTML 可视化 收藏
    Photodynamic therapy (PDT) has emerged as a potential clinical strategy for tumor therapy. It can generate reactive oxygen species (ROS) to cause the chemical damage of tumor cells and promote the immune killing effects of T cells on tumor cells in the presence of enough oxygen and PDT drugs. However, most solid tumors are in a state of oxygen deficiency, which seriously limit the efficacy of PDT in generation enough ROS. Besides, few safe PDT drugs with ideal pharmacokinetic behavior are available in the clinic, which severely limits the clinical transformation and application of PDT. Herein, we utilized manganese chloride to mineralize the hydrophilic indocyanine green/albumin polyplexes (ICG@BSA@MnO2) by using bio-mineralized method to solve these problems of PDT. These ICG@BSA@MnO2 nanoparticles could circulate in the blood for a long period other than quickly removed from body after 30 min like free ICG. When accumulated at the tumor site, ICG was responsively released in the presence of hydrogen peroxide. Apart this, the tumor hypoxia microenvironment was also reversed owing to enhanced O2 generation by the reaction of MnO2 with hydrogen peroxide. Benefits from the rich accumulation of ICG and ameliorated tumor hypoxia in the tumor sites, the enhanced generation of ROS could successfully promote the distribution of CD3+ and CD8+ T cells inside the tumors, which then lead to the amplified efficacy of PDT in both CT26 and B16F10 tumor models without causing any side effects.
  • Jushan Gao, Shanbo Ma, Xinxin Zhao, Jinpeng Wen, Datao Hu, Xiaoye Zhao, Xiaopeng Shi, Ke Wang
    中国化学快报. 2021, 32(12): 3954-3961. https://doi.org/10.1016/j.cclet.2021.06.040
    摘要 ( ) PDF全文 ( ) HTML 可视化 收藏
    Using nanoparticle-based drug delivery systems as enhancers is a robust strategy for transdermal delivery; however, the mechanisms by which these systems promote transdermal penetration are still unclear. Here, we fabricated a dual-labeled nano drug delivery system that allows discrete visualization of both the drug and the nanoparticle carrier. To comprehensively examine its potential mechanism, we investigated its effects on human epidermal keratinocyte HaCaT cells, including changes in cell membrane potential, intracellular Ca2+ concentration, and Ca2+-ATPase activity. P-glycoprotein (P-gp) expression in nanoparticle-treated human dermal microvascular endothelial cells was detected by western blotting and immunofluorescence. Furthermore, the transdermal absorption and biodistribution of the dual-labeled nanoparticles were deeply investigated by skin permeability study in vitro and in vivo using fluorescence microscopy and in vivo imaging, respectively. In addition to reducing membrane potential, increasing the intracellular Ca2+ concentration, and decreasing Ca2+-ATPase activity, our results indicate that the dual-labeled nanoparticles can downregulate P-gp to promote transdermal absorption. Fluorescence and in vivo imaging visually demonstrated that the nanoparticle delivery system penetrated into the dermis through the stratum corneum. All these results indicate that this dual-labeled nano delivery system provides a new method for future in-depth visual explorations of transdermal drug delivery mechanisms.
  • Tong Guo, Xiuli Liu, Zhikun Zhang, Yiqun Luo, Tong Li, Lan Li, Huixue Wang, Yong Huang, Jian He, Qiaoying Chen, Yongxiang Zhao, Lu Gan, Liping Zhong
    中国化学快报. 2021, 32(12): 3962-3966. https://doi.org/10.1016/j.cclet.2021.05.001
    摘要 ( ) PDF全文 ( ) HTML 可视化 收藏
    Oncolytic virus is an emerging anti-cancer strategy. However, extracellular matrix (ECM), as a physical barrier, limits virus spread within the tumor. To overcome the obstacle, we constructed a recombinant Newcastle disease virus (NDV) expressing matrix metalloproteinase (MMP8) (NDV-MMP8) using with reverse genetic technology. In vitro, NDV-MMP8 was identified and verified by WB and ELISA. Cell viability was detected by CCK-8 assay. In vivo, we established two liver cancer xenograft models. NDV-MMP8 was injected into the tumor to observe the tumor volume and survival of mice. The changes in extracellular matrix were observed by Masson's trichrome staining. Virus expression in tumor tissues was detected by immunofluorescence assay. The virus titer in tumor tissues was detected by TCID50. Histopathological changes were detected by hematoxylin and eosin (HE) and terminal deoxynucleotidyl transferase dUTP nick end labeling (TUNEL) staining. Intratumoral administration of NDV-MMP8 can effectively degrade ECM, promote the spread of the virus within the tumor, and reduce tumor growth rate. Therefore, the method of increasing intratumoral virus accumulation by degradation of the ECM to enhance the oncolytic effect has great potential for clinical application.
  • Chongjiu Lu, Min Ye, Min Li, Zhijierong Zhang, Yuxin He, Lipeng Long, Zhengwang Chen
    中国化学快报. 2021, 32(12): 3967-3971. https://doi.org/10.1016/j.cclet.2021.04.018
    摘要 ( ) PDF全文 ( ) HTML 可视化 收藏
    Palladium-catalyzed oxidative formal [4 + 1] annulation of pyridine-substituted acrylonitriles toward divergent fused N-heterocycles synthesis is reported. The heterodifunctionalization reaction with Cu(OAc)2 and urea as the nitrogen source accesses to nitrile-substituted pyrazolo[1,5-a]pyridines in moderate to good yields, while the homodifunctionalization reaction with FeBr3 leads to synthesis of nitrile-substituted indolizines in excellent yields.
  • Taimin Wang, Xuecheng Zhu, Qingqing Tao, Wei Xu, Haiyan Sun, Ping Wu, Bin Cheng, Hongbin Zhai
    中国化学快报. 2021, 32(12): 3972-3975. https://doi.org/10.1016/j.cclet.2021.04.021
    摘要 ( ) PDF全文 ( ) HTML 可视化 收藏
    Pyridinium 1,4-zwitterionic thiolates were applied to a formal [3 + 2] annulation reaction with modified activated alkynes, affording various tetrasubstituted thiophenes with aryl, alkenyl, alkyl or silyl group at the special position. The structural modification of alkyne substrates enabled the synthesis of diverse thiophenes to be achieved using the pyridinium 1,4-zwitterionic thiolates as the sulfur-containing building blocks. This approach is metal-free and catalyst-free.
  • Yangyang Fang, Xiaozhong Wang, Qianyan Pan, Yingqi Chen, Liyan Dai
    中国化学快报. 2021, 32(12): 3976-3979. https://doi.org/10.1016/j.cclet.2021.04.024
    摘要 ( ) PDF全文 ( ) HTML 可视化 收藏
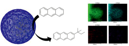
    In situ formation of composite micro-mesoporous dendritic fibrous nano-silica (DFNS) and Al-DFNS was prepared using a cetylpyridinium bromide (CPB) template synthetic system. Dealumination is induced by impregnation of zirconium with flux followed by a sulfuric acid treatment. This procedure results in a series of highly uniform nano-spheres, which exhibit stronger acid property than that of Al-MCM-41. In the selective alkylation of anthracene with tert-amyl alcohol, SO42- modified Zr-contained dealuminated Al-DFNS (SZ-DeAl-DFNS) shows great catalytic activity and higher conversion (60.8%). The DFNS samples were characterized with XRD, SEM, TEM, NH3-TPD and other techniques. The results reveal that DFNSs consist of center-radial micro-mesopores and that the acid contribution of SZ-DeAl-DFNS is much broader, as compared with amorphous aluminosilicate
  • Ning Zhao, Xiaojiao Jin, Yanfeng Dang
    中国化学快报. 2021, 32(12): 3980-3983. https://doi.org/10.1016/j.cclet.2021.04.044
    摘要 ( ) PDF全文 ( ) HTML 可视化 收藏
    Combined theoretical and experimental studies have explained the mechanism of Pd-catalyzed δ-C(sp3)-H arylation of primary amines. Instead of the monomeric Pd mechanism, our research unveils that all steps including C-H activation, oxidative addition, and reductive elimination take place via the heterodimeric Pd-Ag intermediates and transition states. Experimentally, the active heterodimeric Pd-Ag species were detected by mass spectrometry, which further confirms the proposed heterodimeric mechanism. Insight gained through this study reveals the synergistic manner of palladium catalysis and silver(I) additives in native NH2-directed C-H activation and C-C coupling reactions.
  • Kaichuan Yan, Hua He, Jianglian Li, Yi Luo, Ruizhi Lai, Li Guo, Yong Wu
    中国化学快报. 2021, 32(12): 3984-3987. https://doi.org/10.1016/j.cclet.2021.05.031
    摘要 ( ) PDF全文 ( ) HTML 可视化 收藏
    Carbene transfer reactions play an important role in the field of organic synthesis because of their ability to construct a variety of molecules. Herein, we reported on blue light-induced cyclopropenizations of N-tosylhydrazones in water, which avoids the use of expensive metal-based catalysts and toxic organic solvents. This metal-free and operationally simple methodology enable highly efficient cyclopropenizations, X-H insertion reactions, and cyclopropanation under mild reaction conditions.
  • Yongle Ding, Chengshuo Shen, Fuwei Gan, Jinghao Wang, Guoli Zhang, Lingling Li, Mouhai Shu, Bangshang Zhu, Jeanne Crassous, Huibin Qiu
    中国化学快报. 2021, 32(12): 3988-3992. https://doi.org/10.1016/j.cclet.2021.05.033
    摘要 ( ) PDF全文 ( ) HTML 可视化 收藏
    We report a facile and tailored method to prepare globally twisted chiral molecular cages through tunable coordination of bis-bipyridine-terminated helicene ligands to a series of transition metals including Fe(II), Co(II), Ni(II) and Zn(II). This system shows an efficient remote transfer of stereogenecity from the helicene core to the bipyridine-metal coordination sites and subsequently the entire cages. While the Fe(II), Co(II) and Ni(II)-derived M2L3 (M for metal and L for ligand) cages exhibit quasi-reversible redox features, the Zn(II) analogues reveal prominent yellow circularly polarized luminescence. Interestingly, with the addition of Na2SO4, the Zn2L3 cages reassemble into sextuple-stranded Zn6L6(SO4)4 cages in which three Zn2L2 units are bound together by four sulfates and further coalesced by offset inter-ligand π-π interactions.
  • Ningbo Li, Shitang Xu, Xueyan Wang, Li Xu, Jie Qiao, Zhiwu Liang, Xinhua Xu
    中国化学快报. 2021, 32(12): 3993-3997. https://doi.org/10.1016/j.cclet.2021.04.026
    摘要 ( ) PDF全文 ( ) HTML 可视化 收藏
    Several simple, fast and practical protocols have been developed to synthesize internal or terminal propargylamines and chalcones via A3-coupling reaction of aldehydes, amines, and alkynes catalyzed by an easily available catalyst Ag2CO3 under solvent-free condition. The reaction proceeded smoothly to deliver various products in good-to-excellent yields with good functional group tolerance. Gram-scale preparation, bioactive molecule synthesis and asymmetric substrates have been demonstrated. Furthermore, plausible mechanisms for the synthesis of different products have been proposed.
  • Qingtian Ji, Lijun Fan, Shuaishuai Liu, Haojie Ye, Shuzhen Xiang, Peiyi Wang
    中国化学快报. 2021, 32(12): 3998-4001. https://doi.org/10.1016/j.cclet.2021.05.036
    摘要 ( ) PDF全文 ( ) HTML 可视化 收藏
    By introducing a host molecule cucurbit[8]uril (CB[8]) into a charge transfer system containing an amphiphile 1-[11-(naphthalene-2-ylmethoxy)-11-oxoundecyl]pyridinium (NP) and an electron-deficient molecule methyl viologen (MV), a novel and anisotropic ternary building block was constructed by host-guest interactions, thereby leading to the morphology transformation of the final assemblies from thin-films (NP/MV complexes) into diamond-like structures (NP/MV/CB[8] complexes). These intriguing assemblies were firstly discovered and were similar with the shape of well-known metal organic frameworks (MOFs), but just comprised three small organic molecules without metal ions. This finding can enrich the shape of current supramolecular assemblies and thus contributing to more potential applications in material science.
  • Yang Wang, Pengfei Xu, Xin Xu
    中国化学快报. 2021, 32(12): 4002-4005. https://doi.org/10.1016/j.cclet.2021.05.041
    摘要 ( ) PDF全文 ( ) HTML 可视化 收藏
    The scandocene alkyl complex (C5Me5)2ScCH2SiMe3 was found to be an efficient catalyst for the dehydrocoupling of the non-cyclic boranes, dicyclohexylborane and thexylborane, with amines under mild conditions. The reactions afforded the corresponding aminoboranes in high yields with good functional group tolerance. The stoichiometric reaction of scandium alkyl with amine led to the isolation of a scandium amide complex, which was shown to be an active species during the catalysis. Although a borane-coordinated scandium hydride was also obtained from the stoichiometric experiment, it was not involved in the catalytic cycle. In addition, kinetic studies provided insight into this intermolecular dehydrogenation reaction.
  • Chen Wang, Jin Shang, Li Tian, Hongwei Zhao, Peng Wang, Kai Feng, Guokang He, Jefferson Zhe Liu, Wei Zhu, Guangtao Li
    中国化学快报. 2021, 32(12): 4006-4010. https://doi.org/10.1016/j.cclet.2021.05.051
    摘要 ( ) PDF全文 ( ) HTML 可视化 收藏
    Octahydro-1,3,5,7-tetranitro-1,3,5,7-tetrazocine (HMX) is one of the most widely used powerful explosives. The direct and selective detection of HMX, without the requirement of specialized equipment, remains a great challenge due to its extremely low volatility, unfavorable reduction potential and lack of aromatic rings. Here, we report the first chemical probe of direct identification of HMX at ppb sensitivity based on a designed metal-organic cage (MOC). The cage features two unsaturated dicopper units and four electron donating amino groups inside the cavity, providing multiple binding sites to selectively enhance host-guest events. It was found that compared to other explosive molecules the capture of HMX inside the cavity would strongly modulate the emissive behavior of the host cage, resulting in highly induced fluorescence "turn-on" (160 folds). Based on the density functional theory (DFT) simulation, the mutual fit of both size and binding sites between host and guest leads to the synergistic effects that perturb the ligand-to-metal charge-transfer (LMCT) process, which is probably the origin of such selective HMX-induced turn-on behavior.
  • Kuofei Li, Tao Wang, Bing Yao, Yuannan Chen, Hao Deng, Hongmei Zhan, Zhiyuan Xie, Yanxiang Cheng
    中国化学快报. 2021, 32(12): 4011-4014. https://doi.org/10.1016/j.cclet.2021.05.054
    摘要 ( ) PDF全文 ( ) HTML 可视化 收藏
    Three carbazole derivatives, AcPTC, PxPTC and PtPTC, consisting of two 9,9-dimethyl-9,10-dihydroacridine, phenoxazine or phenothiazine donor groups and one diphenyltriazine acceptor group fixed at 1,8,9-positions of a single carbazole ring via phenylene, are designed and synthesized. X-ray diffraction analysis of AcPTC reveals that there exist multiple π-π interactions between the donor and acceptor groups to form a sandwich-like structural unit with edge-to-face interaction model. The compounds thus show obvious thermally activated delayed fluorescence with through-space charge transfer character and possess considerable photoluminescence quantum yields of up to 73% in doped films with sky-blue to yellow emissions. The solution-processed electroluminescent devices achieve the highest maximum external quantum efficiencies of 10.0%, 11% and 5.6% for AcPTC, PxPTC and PtPTC, respectively, with small efficiency roll-offs.
  • Xiao-Yu Zhou, Xiang-Yu Li, Zhen Zhang, Da-Gang Yu
    中国化学快报. 2021, 32(12): 4015-4018. https://doi.org/10.1016/j.cclet.2021.05.055
    摘要 ( ) PDF全文 ( ) HTML 可视化 收藏
    Herein, a facile synthesis of valuable pyrido[1,2-a]pyrimidine-4-thiones is reported via novel thiocarbonylation of C(sp3)-H bonds with carbon disulfide (CS2). This reaction features easy availability of substrates, good functional group tolerance, high yields, facile scalability and atom economy. Mechanistic investigations indicate that sulfate anion and sulfuric anhydride anion might be involved in this reaction.
  • Xuelun Duan, Nan Zheng, Ming Li, Xinhao Sun, Zhuye Lin, Pan Qiu, Wangze Song
    中国化学快报. 2021, 32(12): 4019-4023. https://doi.org/10.1016/j.cclet.2021.05.037
    摘要 ( ) PDF全文 ( ) HTML 可视化 收藏
    Remote ether groups could be used as directing groups to prepare fully substituted 5-ether-1,2,3-triazoles with exclusive 1,5-regioselectivities and excellent chemoselectivities. Ether group could coordinate with iridium catalyst by lone-pair electron at a distance (up to four σ bonds) away from alkyne to control the regioselectivity by weak coordination effect. The cycloaddition reaction chemoselectively occurred at the propargyl ether moiety of diyne to give unique fully substituted 4-alkynyl-triazole.
  • Qiangqiang Xu, Zhiliyu Cui, Jizhen Yao, Bo Li, Ping Lv, Xin Shen, Zhuo Yu, Yan Ge, Zhenhui Qi
    中国化学快报. 2021, 32(12): 4024-4028. https://doi.org/10.1016/j.cclet.2021.05.058
    摘要 ( ) PDF全文 ( ) HTML 可视化 收藏
    Constitutionally adaptive chemistry of selenium-containing crown ethers (CEs) offers a new platform for controlling/switching the hydration of bolaamphiphile skeletons in water in an effective and simple manner by the virtue of covalent bonding. The adaptive behaviour of the macrocyclic bolaamphiphiles (transformations between C7SeBola and C7SeOBola) in response to redox environment was found to be a decisive factor.
  • Yi-Nan Li, Xin Chang, Qi Xiong, Xiu-Qin Dong, Chun-Jiang Wang
    中国化学快报. 2021, 32(12): 4029-4032. https://doi.org/10.1016/j.cclet.2021.05.063
    摘要 ( ) PDF全文 ( ) HTML 可视化 收藏
    Cu-catalyzed endo-selective asymmetric 1,3-dipolar cycloaddition of azomethine ylides with ethenesulfonyl fluorides (ESFs) was successfully developed, this protocol provided an efficient and facile method to a wide range of chiral pyrrolidine-3-sulfonyl fluorides with good to excellent results (up to 87% yield, >20:1 dr, 94% ee). Some other chiral sulfonyl derivatives, such as sulfonamide and sulfonate, were easily accessible through simple transformations with high yields, which demonstrated that the cycloaddition products could be synthetically useful in the sulfur(VI) fluoride exchange (SuFEx) chemistry.
  • Lingling Yao, Defeng Zhu, Lei Wang, Jie Liu, Yicheng Zhang, Pinhua Li
    中国化学快报. 2021, 32(12): 4033-4037. https://doi.org/10.1016/j.cclet.2021.06.005
    摘要 ( ) PDF全文 ( ) HTML 可视化 收藏
    A visible-light-induced chemoselective reactions of quinoxalin-2(1H)-ones with alkylboronic acids in the presence of air (O2) and N2 atmosphere was developed under transition-metal free conditions, providing 3-alkylquinoxalin-2(1H)-ones and 3,4-dihydroquinoxalin-2(1H)-ones, respectively. The overall strategy accommodates a broad scope of substituted quinoxalin-2(1H)-ones and alkylboronic acids with good to excellent product yields.
  • Jiangyan Tian, Wendian Li, Ruihao Li, Lin He, Hui Lv
    中国化学快报. 2021, 32(12): 4038-4040. https://doi.org/10.1016/j.cclet.2021.06.006
    摘要 ( ) PDF全文 ( ) HTML 可视化 收藏
    Nickel/(S)-t-Bu-PHOX complex catalyzed asymmetric arylative cyclization of N-alkynones has been achieved, delivering 1,2,3,6-tetrahydropyridines containing a chiral tertiary alcohol in high yields and excellent enantioselectivities, which provides efficient access to chiral tetrahydropyridine and piperidine analogues.
  • Han Lin, Haofei Hong, Lipeng Feng, Jie Shi, Zhifang Zhou, Zhimeng Wu
    中国化学快报. 2021, 32(12): 4041-4044. https://doi.org/10.1016/j.cclet.2021.04.034
    摘要 ( ) PDF全文 ( ) HTML 可视化 收藏
    Tumor-associated carbohydrate antigens (TACAs) are attractive targets for vaccine development. In this context, we described a strategy combining artificial TACA and glycoengineering for cancer vaccine development. A 2,4-ditrophenyl (DNP)-modified GM3 intermediate was synthesized chemoenzymatically and conjugated to keyhole limpet hemocyanin (KLH), and the resulting bioconjugate was tested for its potential as a vaccine candidate. Mice immunological studies revealed that the DNP-modified GM3 (GM3-NHDNP) analog elicited strong and rapid immune responses by recruiting anti-DNP antibodies to facilitate the targeted delivery of the vaccine construct to antigen processing cells (APCs). Moreover, the endogenously produced anti-DNP antibodies, together with the elicited antibodies against GM3-NHDNP, may synergistically promote tumor binding and cancer cell death when the cancer cell surfaces are glycoengineered to express the GM3-NHDNP antigen.
  • Ye Wu, Yan Zou, Lingling Sun, Alfredo Garzino-Demo, Honggang Hu, Weidong Zhang, Xiang Li
    中国化学快报. 2021, 32(12): 4045-4048. https://doi.org/10.1016/j.cclet.2021.04.030
    摘要 ( ) PDF全文 ( ) HTML 可视化 收藏
    All-hydrocarbon stapling strategy has been widely applied for enhancing the proteolytic stability of peptides. However, two major technical hurdles to some extent limit the development of stapled peptides for therapeutic usage:rational selection of the stapling sites and the corresponding deletion of the native side chains. Previously we described the development of the olefin-terminated amino acids with the retention of native side chains and successfully applied them in the synthesis of hydrocarbon stapled peptides with single side-chain retention. Here, we explored the feasibility and effectiveness of hydrocarbon stapling strategy characterized as double side-chains retention. Modeled after a lengthy human immunodeficiency virus-1 (HIV-1) fusion inhibitor SC34EK, Leui, Seri+4 and Lysi, Leui+4 stapled peptides with the retention of double side-chains were effectively obtained. Our complementary study provided a convenient alternative to address where to install the staple in sequence for conventional all-hydrocarbon peptide stapling. Furthermore, this method not only conferred conformational reinforcement for SC34EK with high α-helicity and protease resistance, but also preserved the structural characteristic (key peripheral residues, charge and solubility) of the linear peptide to the maximum, which are crucial for anti-HIV-1 activity.
  • Jintao Shen, Jia Liu, Shuo Yu, Yunzhou Yu, Chao Huang, Xianghua Xiong, Junjie Yue, Qiuyun Dai
    中国化学快报. 2021, 32(12): 4049-4052. https://doi.org/10.1016/j.cclet.2021.03.055
    摘要 ( ) PDF全文 ( ) HTML 可视化 收藏
    The replacement of the disulfide bridge of CPI-1, a peptide inhibitor of light chain of Botulinum toxin serotype A, with the thioether-containing and biscarba-containing diaminodiacid bridge leads to a significant decrease in the degradation by trypsin and increase in the detoxification activity in vivo, the addition of hydrophobic or positive amino acid at C-terminus of modified peptides further improves the inhibitory activity.
  • Da Feng, Fenju Wei, Yanying Sun, Prem Prakash Sharma, Tao Zhang, Hao Lin, Brijesh Rathi, Erik De Clercq, Christophe Pannecouque, Dongwei Kang, Peng Zhan, Xinyong Liu
    中国化学快报. 2021, 32(12): 4053-4057. https://doi.org/10.1016/j.cclet.2021.02.033
    摘要 ( ) PDF全文 ( ) HTML 可视化 收藏
    Drug resistance remains to be a serious problem with type I human immunodeficiency virus (HIV-1) non-nucleoside reverse transcriptase inhibitors (NNRTIs). A series of novel boronic acid-containing diarylpyrimidine (DAPY) derivatives were designed via bioisosterism and scaffold-hopping strategies, taking advantage of the ability of a boronic acid group to form multiple hydrogen bonds. The target compounds were synthesized and evaluated for their anti-HIV activities and cytotoxicity in MT-4 cells. Compound 10j yielded the most potent activity and turned out to be a single-digit nanomolar inhibitor towards the HIV-1 IIIB[wild-type (WT) strain], L100I and K103N strains, with 50% effective concentration (EC50) values of 7.19-9.85 nmol/L. Moreover, 10j inhibited the double-mutant strain RES056 with an EC50 value of 77.9 nmol/L, which was 3.3-more potent than that of EFV (EC50 = 260 nmol/L) and comparable to that of ETR (EC50 = 32.2 nmol/L). 10j acted like classical NNRTIs with high affinity for WT HIV-1 reverse transcriptase (RT) with 50% inhibition concentration (IC50) value of 0.1837 μmol/L. Furthermore, molecular dynamics simulation indicated that 10j was proposed as a promising molecule for fighting against HIV-1 infection through inhibiting RT activity. Overall, the results demonstrated that 10j could serve as a lead molecule for further modification to address virus-drug resistance.
  • Xiang Yuan, Zhenyuan Li, Ziming Feng, Jianshuang Jiang, Yanan Yang, Peicheng Zhang
    中国化学快报. 2021, 32(12): 4058-4062. https://doi.org/10.1016/j.cclet.2021.04.022
    摘要 ( ) PDF全文 ( ) HTML 可视化 收藏
    Three matrine-derived alkaloids, alopecuroidine A (1), alopecuroidine B (2a) and alopecuroidine C (2b) were isolated from the seeds of Sophora alopecuroides. Their structures were elucidated by extensive spectroscopic analyses and X-ray diffraction. Three compounds possess an unprecedented rearranged fused 7/6/5/6 tetracyclic skeleton with a diazacycloheptane structure. Their plausible biosynthetic pathway was also proposed. The anti-proliferative activities of compounds 1 and 2a were examined by the MTT assay. Compound 1 inhibited the viability of human lung cancer A549 cells, having a half maximal inhibitory concentration (IC50) of 7.58 ±2.47 μmol/L at 72 h. The flow cytometric analysis suggested that 1 inhibited A549 cell growth by inducing apoptosis and cell-cycle arrest. Additionally, 1 induced the loss of mitochondrial membrane potential, elevated intracellular reactive oxygen species, increased the Bax/Bcl-2 ratio, stimulated cleaved-caspase-3 and P53 protein levels, and suppressed the pro-caspase-3 level. Thus, 1 appeared to induce A549 cells apoptosis through a mitochondria-mediated apoptotic pathway.
  • Ruijian Li, Zhe Bai, Wenshuo Hou, Jinshuo Qiao, Wang Sun, Yu Bai, Zhenhua Wang, Kening Sun
    中国化学快报. 2021, 32(12): 4063-4069. https://doi.org/10.1016/j.cclet.2020.03.048
    摘要 ( ) PDF全文 ( ) HTML 可视化 收藏
    More and more attentions have been attracted by lithium-sulfur batteries (Li-S), owing to the high energy density for the increasingly advanced energy storage system. While the poor cycling stability, due to the inherent polysulfide shuttle, seriously hampered their practical application. Recently, some polar hosts, like single metal oxides and sulfides, have been employed as hosts to interact with polysulfide intermediates. However, due to the inherent poor electrical conductivity of these polar hosts, a relatively low specific capacity is obtained. Herein, a spinel-type bimetal sulfide NiCo2S4 through a Prussian blue analogue derived methodology is reported as the novel host of polysulfide, which enables high-performance sulfur cathode with high Coulombic efficiency and low capacity decay. Notably, the Li-S battery with NiCo2S4-S composites cathode still maintains a capacity of 667 mAh/g at 0.5 C after 300 cycles, and 399 mAh/g at 1 C after 300 cycles. Even after 300 cycles at the current density of 0.5 C, the capacity decays by 0.138% per cycle at high sulfur loading about 3 mg/cm2. And the capacity decays by 0.026% per cycle after 1000 cycles, when the rate is 1 C. More importantly, the cathode of NiCo2S4-S composite shows the outstanding discharge capacity, owing to its good conduction, high catalytic ability and the strong confinement of polysulfides.