本期目录

2020年, 第31卷, 第09期 刊出日期:2020-09-22
  

  • 全选
    |
    评论
  • Zhengtong Li, Chengbing Wang
    中国化学快报. 2020, 31(09): 2159-2166. https://doi.org/10.1016/j.cclet.2019.09.030
    摘要 ( ) PDF全文 ( ) HTML 可视化 收藏
    Access to safe drinking water has become an extremely urgent research topic worldwide. In recent years, the technology of solar vapor generation has been extensively explored as a potential and effective strategy of transforming elements content in seawater. In this review, the basic concepts and theories of metal-based photothermal vapor generation device (PVGD) with excellent optical and thermal regulatory are introduced. In the view of optical regulation, how to achieve high-efficiency localized evaporation in different evaporation system (i.e., volumetric solar heating and interface solar heating) is discussed; from the aspect of thermal regulation, the importance of selective absorption surface for interfacial PVGD is analyzed. Based on the above discussion and analysis, we summarize the challenges of metal-based desalination device.
  • Qi Wang, Shiyong Chu, Shaohua Guo
    中国化学快报. 2020, 31(09): 2167-2176. https://doi.org/10.1016/j.cclet.2019.12.008
    摘要 ( ) PDF全文 ( ) HTML 可视化 收藏
    As one of the most promising secondary batteries in large-scale energy storage, sodium ion batteries (SIBs) have attracted wide attention due to the abundant raw materials and low cost. Layered transition metal oxides are one kind of popular cathode material candidates because of its easy synthesis and large theoretical specific capacity. Yet, the most common P2 and O3 phases show distinct structural characteristics respectively. O3 phase can serve as a sodium reservoir, but it usually suffers from serious phase transition and sluggish kinetics. For the P2 phase, it allows the fast sodium ion migration in the bulk and the structure can maintain stable, but it is lack of sodium, showing a great negative effect on Coulombic efficiency in full cell. Thus, single phase structure almost cannot achieve satisfied comprehensive sodium storage performances. Under these circumstances, exploiting novel multiphase cathodes showing synergetic effect may give solution to these problems. In this review, we summarize the recent development of multiphase layered transition metal oxide cathodes of SIBs, analyze the mechanism and prospect the future potential research directions.
  • Meizhen Dai, Depeng Zhao, Xiang Wu
    中国化学快报. 2020, 31(09): 2177-2188. https://doi.org/10.1016/j.cclet.2020.02.017
    摘要 ( ) PDF全文 ( ) HTML 可视化 收藏
    In the past few years, the increasing energy consumption of traditional fossil fuels has posed a huge threat to human health. It is very imperious to develop the sustainable and renewable energy storage and conversion devices with low cost and environment friendly features. Hybrid supercapacitors are emerging as one of the promising energy devices with high power density, fast charge-discharge process and excellent cycle stability. However, morphology and structure of the electrode materials exert serious effect on their electrochemical performances. In this review, we summarized recent progresses in transition metal oxide based electrode materials for supercapacitors. Different synthesis routes and electrochemical performances of electrode materials and storage mechanisms of supercapacitor devices have been presented in details. The future developing trends of supercapacitor based on metal oxide electrode materials are also proposed.
  • Xiaobang Liu, Ting Yue, Kai Qi, Yubing Qiu, Bao Yu Xia, Xingpeng Guo
    中国化学快报. 2020, 31(09): 2189-2201. https://doi.org/10.1016/j.cclet.2019.12.009
    摘要 ( ) PDF全文 ( ) HTML 可视化 收藏
    Metal-organic frameworks (MOFs), as an emerging family of porous inorganic-organic crystal materials, exhibit widely applications in gas storage and separation, drug release, sensing, and catalysis, owing to easily adjustable pore sizes, uniformly distributed metal centers, high surface areas, and tunable functionalities. However, MOF crystal powders are usually difficult to be directly applied into specific devices because of their brittleness, insolubility and low compatibility. Therefore, to expand versatile MOF membranes with robustness and operational flexibility is urgent to satisfy practical applications. Although numerous reports have reviewed the synthesis and applications of MOF membranes, relatively few reports the electrocatalytic properties based on MOF membranes. Herein, this mini-review provides an overview of preparation of MOF membranes, including directed synthesis, secondary growth and electrochemical deposition method. Meanwhile, fabrication of ultrathin 2D MOF nanosheets those can be also defined as a kind of nanoscale MOF membranes is also mentioned. Electrocatalytic performance of oxygen reduction reaction (ORR), oxygen evolution reaction (OER), hydrogen evolution reaction (HER) and CO2 reduction reaction (CO2RR) for diverse MOF membranes/nanosheets and their derivatives are introduced.
  • 通信
  • Wen Shang, Huanzhou Du, Yage Wu, Jianlin Xu, Fen Ran
    中国化学快报. 2020, 31(09): 2202-2206. https://doi.org/10.1016/j.cclet.2019.10.017
    摘要 ( ) PDF全文 ( ) HTML 可视化 收藏
    The triblock copolymer (PAA-b-PAN-b-PAA) iSs prepared by reversible addition-fragmentation chain-transfer polymerization, and then blended with polymer (PAN) and metal hydroxide (Ni(OH)2) as a precursor for heat-treatment. A composite material of hierarchical porous nanofibers and nickel oxide nanoparticles (HPCF@NiO) is prepared by electrospinning combined with high-temperature carbonization. The effects of the ratio of PAA and PAA-b-PAN-b-PAA on the internal structure of nanofibers and their electrochemical properties as positive electrode materials are investigated. The experimental results show that when the ratio of PAA to PAA-b-PAN-b-PAA is 1.3 to 0.4, it has good pore structure and excellent electrochemical performance. At the current density of 1 A/g, the specific capacitance is 188.7 F/g and the potential window is -1 V to 0.37 V. The asymmetric supercapacitor assembled with activated carbon as the negative electrode materials has a specific capacitance of 21.2 F/g in 2 mol/L KOH and a capacitance retention of 85.7% after 12,500 cycles at different current density.
  • Ling Jin, Xiaxia Li, Chunsen Liu, Huan Pang
    中国化学快报. 2020, 31(09): 2207-2210. https://doi.org/10.1016/j.cclet.2019.08.044
    摘要 ( ) PDF全文 ( ) HTML 可视化 收藏
    The construction of highly stable and regular nanoreactors is a major challenge. In this work, we use a facile template protection method to obtain ZIF-67@SiO2 (JS) and to encapsulate metal oxide nanoparticles (Co3O4) into nanoreactors (SiO2). ZIF-67 crystals provide a cobalt species; SiO2 was first used as a protective layer of ZIF-67 and then as a nanoreactor for metastable metal oxide nanoparticles. On this basis, Co3O4@SiO2 with dodecahedron morphology were synthesized by calcining JS at different temperatures, followed by a hydrothermal reaction to obtain Co3(OH)4Si2O5. Subsequently, CoSx and CoPSiO2 were fabricated through sulfuration and phosphorization. The results in this work show that nanoreactors derived from metal-organic frameworks (MOFs) with a rational structure have broad development prospects.
  • Xiu Qian, Siyu Deng, Xiang Chen, Qiang Gao, Yun-Long Hou, Aiwu Wang, Lizhuang Chen
    中国化学快报. 2020, 31(09): 2211-2214. https://doi.org/10.1016/j.cclet.2019.09.024
    摘要 ( ) PDF全文 ( ) HTML 可视化 收藏
    A highly stable and luminescent metal-organic framework (LMOF) with layered structure, namely, C6H4N5OZn (1) has been successfully achieved and fully characterized by single crystal X-ray diffraction, powder X-ray diffractions, fluorescence titration and thermogravimetry. This blue-light emitting compound 1 exhibit outstanding stability and can detect Fe3+ and Cu2+ in water specifically, presenting potential application in the field of fluorescent probe technology. Fluorescence titration experiments indicate that the detection of Fe3+ ions by 1 is more significant than that of Cu2+ ions in terms of Ksv value. Furthermore, guest-assisted exfoliation of layered MOF 1 is efficiently carried out through ether O—H hydrogen bond or ππ interactions between the layered host structure and intercalated guest molecules (4,4'-oxybisbenzoic acid and triphenylamine). Tyndal scattering was observed in the suspensions of obtained MOF nanosheets. This study shows that the compound 1 with unique metal ion sensing properties can be applied as a probe material in water pollution treatment field, but also opens up the opportunity for synthesizing luminescent MONs through the “bottom-up” guest intercalation methodology.
  • Xu Yu, Mingjie Shao, Xuemei Yang, Chongxing Li, Tong Li, Danyu Li, Rutao Wang, Longwei Yin
    中国化学快报. 2020, 31(09): 2215-2218. https://doi.org/10.1016/j.cclet.2019.11.012
    摘要 ( ) PDF全文 ( ) HTML 可视化 收藏
    Potassium-ion capacitors (KICs) emerge as a promising substitute for the well-developed lithium-ion capacitors (LICs), however, the energy density of KICs is below expectations because of lacking a suitable electrical double-layer positive electrode. Using chemical activation of the Aldol reaction product of acetone with KOH, we synthesized a porous carbon with a Brunauer-Emmett-Teller surface area of up to 2947 m2/g and a narrow pore size distribution ranging from 1 nm to 3 nm. Half-cell (versus potassium metal) test demonstrates that this porous carbon has high capacitive performance in K+ based organic electrolytes. Furthermore, a novel KIC fabricated by this porous carbon as the cathode, yields high values of energy density and power density. The processes used to make this porous carbon are readily low-cost to fabricate metal-ion capacitors.
  • Yongqiang Ding, Yali Li, Junshuai Li, Xingbin Yan
    中国化学快报. 2020, 31(09): 2219-2224. https://doi.org/10.1016/j.cclet.2019.11.017
    摘要 ( ) PDF全文 ( ) HTML 可视化 收藏
    Sodium ion hybrid capacitors are of great concern in large-scale and cost-effective electrical energy storage owing to their high energy and power densities, as well as natural abundance and wide distribution of sodium. However, it is difficult to find a well-pleasing anode material that matches the high-performance cathode materials to achieve good energy and power output for sodium ion hybrid capacitors. In this paper, nitrogen and sulfur co-doped nanotube-like carbon prepared by a simple carbonization process of high sulfur-loaded polyaniline nanotubes is introduced as the anode. The assembled sodium ion half cell based on the optimal nanotube-like carbon delivers a high reversible capacity of ~304.8 mAh/g at 0.2 A/g and an excellent rate performance of ~124.8 mAh/g at 10 A/g in a voltage window of 0.01-2.5 V (versus sodium/sodium ion). For the hybrid capacitors assembled using the optimal nanotube-like carbon as the anode and high-capacity activated carbon as the cathode, high energy densities of ~100.2 Wh/kg at 250 W/kg and ~50.69 Wh/kg at 12,500 W/kg are achieved.
  • Wenjie Liu, Xiong Zhang, Chen Li, Kai Wang, Xianzhong Sun, Yanwei Ma
    中国化学快报. 2020, 31(09): 2225-2229. https://doi.org/10.1016/j.cclet.2019.11.015
    摘要 ( ) PDF全文 ( ) HTML 可视化 收藏
    Due to the high capacity, moderate voltage platform, and stable structure, Li3VO4 (LVO) has attracted close attention as feasible anode material for lithium-ion capacitor. However, the intrinsic low electronic conductivity and sluggish kinetics of the Li+ insertion process severely impede its practical application in lithium-ion capacitors (LICs). Herein, a carbon-coated Li3VO4 (LVO/C) hierarchical structure was prepared by a facial one-step solid-state method. The synthesized LVO/C composite delivers an impressive capacity of 435 mAh/g at 0.07 A/g, remarkable rate capability, and nearly 100% capacity retention after 500 cycles at 0.5 A/g. The superior electrochemical properties of LVO/C composite materials are attributed to the improved conductivity of electron and stable carbon/LVO composite structures. Besides, the LIC device based on activated carbon (AC) cathode and optimal LVO/C as anode reveals a maximum energy density of 110 Wh/kg and long-term cycle life. These results provide a potential way for assembling the advanced hybrid lithium-ion capacitors.
  • Feng Cao, Guoxiang Pan, Yujian Zhang, Xinhui Xia
    中国化学快报. 2020, 31(09): 2230-2234. https://doi.org/10.1016/j.cclet.2020.01.037
    摘要 ( ) PDF全文 ( ) HTML 可视化 收藏
    Tailored design and synthesis of high-quality electrocatalysts is vital for the advancement of oxygen evolution reaction (OER). Herein, we report a powerful puffing method to fabricate hierarchical porous N-doped carbon with numerous embedded Ni nanoparticles. Interestingly, during the puffing and annealing process, rice precursor with N and Ni sources can be in-situ converted into Niembedded N-doped porous carbon (N-PC/Ni) composite. The obtained N-PC/Ni composite possesses a cross-linked porous architecture containing conductive carbon backbone and active Ni nanoparticles electrocatalysts for OER. The pore formation in N-PC/Ni composite is also proposed because of carbothermic reduction. The N-PC/Ni composite is fully studied as electrocatalysts for OER. Due to increased active surface area, enhanced electronic conductivity and reactivity, the designed N-PC/Ni composite exhibits superior OER performance with a low Tafel slope (~88 mV/dec) and a low overpotential as well as excellent long-term stability in alkaline solution. Our proposed rational design strategy may provide a new way to construct other advanced metal/heteroatom-doped composites for widespread application in electrocatalysis.
  • Shuxian Sun, Fuqin Han, Xiaoliang Wu, Zhuangjun Fan
    中国化学快报. 2020, 31(09): 2235-2238. https://doi.org/10.1016/j.cclet.2019.11.023
    摘要 ( ) PDF全文 ( ) HTML 可视化 收藏
    We report a convenient method to synthesize O, N-codoped hierarchical porous carbon by one-step carbonization of the mixture of KHCO3, urea and alginic acid. Benefiting from KHCO3 and urea synergistic effect, the obtained O, N-codoped hierarchical porous carbon (NPC-700) material has a well-developed interconnected porous framework with ultrahigh specific surface area (2846 m2/g) and massive heteroatoms functional groups. Consequence, such porous carbon displays high specific capacitance (324 F/g at 1 A/g), excellent rate performance (212 F/g at 30 A/g) and good electrochemical stabilization in 6 mol/L KOH solution. More importantly, the assembled NPC-700//NPC-700 symmetrical supercapacitor can achieve a high energy density of 18.8 Wh/kg and good electrochemical stabilization in 1 mol/L Na2SO4 solution. This process opens up a new way to design heteroatoms-doped hierarchical porous carbon derived from biomass materials for supercapacitors.
  • Juan Yang, Dan Xu, Ruilin Hou, Junwei Lang, Zhaoli Wang, Zhengping Dong, Jiantai Ma
    中国化学快报. 2020, 31(09): 2239-2244. https://doi.org/10.1016/j.cclet.2019.11.044
    摘要 ( ) PDF全文 ( ) HTML 可视化 收藏
    Lithium-ion hybrid capacitors (LIHCs) is a promising electrochemical energy storage devices which combines the advantages of lithium-ion batteries and capacitors. Herein, we developed a facile multistep pyrolysis method, prepared an amorphous structure and a high-level N-doping carbon nanotubes (NCNTs), and by removing the Co catalyst, opening the port of NCNTs, and using NCNTs as anode material. It is shows good performance due to the electrolyte ions enter into the electrode materials and facilitate the charge transfer. Furthermore, we employ the porous carbon material (APDC) as the cathode to couple with anodes of NCNTs, building a LIHCs, it shows a high energy density of 173 Wh/kg at 200 W/kg and still retains 53 Wh/kg at a high power density of 10 kW/kg within the voltage window of 0-4.0 V, as well as outstanding cyclic life keep 80% capacity after 5000 cycles. This work provides an opportunity for the preparation of NCNTs, that is as a promising high-performance anode for LIHCs.
  • Qianyuan Shan, Wangchen Huo, Man Shen, Chuan Jing, Yan Peng, Huayan Pu, Yuxin Zhang
    中国化学快报. 2020, 31(09): 2245-2248. https://doi.org/10.1016/j.cclet.2020.02.003
    摘要 ( ) PDF全文 ( ) HTML 可视化 收藏
    Supercapacitors with good electrochemical performance and flexibility are in great demand. In this paper, the concept of preparing 3D porous carbon monoliths via direct calcination of melamine sponge is presented. This preparation method is simple and has good control of the structure. Porous carbon composite nickel-manganese oxides can be obtained by hydrothermal method followed with calcination. The electrochemical performances were tested and porous carbon monoliths with NiMn oxides exhibited a specific capacitance of 870 F/g in 1 mol/L KOH at a charge/discharge current density of 0.5 A/g and a capacity retention of 89.9% after 5000 times charge and discharge.
  • Tao Zhu, Yongrui Yang, Suyuan Zhou, Xiang Yao, Lei Liu, Wenping Hu, Xiong Gong
    中国化学快报. 2020, 31(09): 2249-2253. https://doi.org/10.1016/j.cclet.2020.02.004
    摘要 ( ) PDF全文 ( ) HTML 可视化 收藏
    In the past ten years, perovskite solar cells were rapidly developed, but the intrinsic unbalanced charge carrier diffusion lengths within perovskite materials were not fully addressed by either a planar heterojunction or meso-superstructured perovskite solar cells. In this study, we report bulk heterojunction perovskite solar cells, where perovskite materials CH3NH3PbI3 is blended with solution-processed n-type TiOx nanoparticles as the photoactive layer. Studies indicate that one-step solution-processed CH3NH3PbI3:TiOx bulk-heterojunction thin film possesses enhanced and balanced charge carrier mobilities, superior film morphology with enlarged crystal sizes, and suppressed trapinduced charge recombination. Thus, bulk heterojunction perovskite solar cells by CH3NH3PbI3 mixed with 5 wt% of TiO x, which is processed by one-step method rather than typical two-step method, show a short-circuit current density of 20.93 mA/cm2, an open-circuit voltage of 0.90 V, a fill factor of 80% and with a corresponding power conversion efficiency of 14.91%, which is more than 30% enhancement as compared with that of perovskite solar cells with a planar heterojunction device structure. Moreover, bulk heterojunction perovskite solar cells possess enhanced device stability. All these results demonstrate that perovskite solar cells with a bulk heterojunction device structure are one of apparent approaches to boost device performance.
  • Xuan Sun, Ke Tan, Yang Liu, Jinyang Zhang, Linrui Hou, Changzhou Yuan
    中国化学快报. 2020, 31(09): 2254-2258. https://doi.org/10.1016/j.cclet.2020.02.016
    摘要 ( ) PDF全文 ( ) HTML 可视化 收藏
    In the work, we successfully explore a two-step hydrothermal method for scalable synthesis of the hybrid sodium titanate (NaTi8O13/NaTiO2) nanoribbons well in-situ formed on the multi-layered MXene Ti3C2 (designed as NTO/Ti3C2). Benefiting from the inherent structural and componential superiorities, the resulted NTO/Ti3C2 composite exhibits long-duration cycling stability and superior rate behaviors when evaluated as a hybrid anode for advanced SIBs, which delivers a reversible and stable capacity of ~82 mAh/g even after 1900 cycles at 2000 mA/g for SIBs.
  • Bo Fang, Zong Liu, Yufei Bao, Ligang Feng
    中国化学快报. 2020, 31(09): 2259-2262. https://doi.org/10.1016/j.cclet.2020.02.045
    摘要 ( ) PDF全文 ( ) HTML 可视化 收藏
    Significance of unstable species leaching was for the first time demonstrated on MOF-derived catalysts by taking PtNi-C as an example, that was instructive for the relevant catalyst fabrication and performance study. PtNi-C catalyst was synthesized by combining Pt nanoparticles with Ni-BTC after annealing in the tube furnace and the unstable Ni species can be easily leached out in nitric acid, and the stable PtNi nanoparticles trapped in the graphite carbon layer were obtained. The greatly improved catalytic ability for alcohol fuels oxidation was verified by comparing the fresh and acid leached catalysts in terms of the high peak current density, specific and mass activity and rapid charge transfer kinetics and high catalytic stability. The current work guides the importance of unstable assistant promoter removal for the MOF derived catalysts.
  • Chaonan Gu, Jingjing Li, Guang Yang, Liming Zhang, Chun-Sen Liu, Huan Pang
    中国化学快报. 2020, 31(09): 2263-2267. https://doi.org/10.1016/j.cclet.2020.02.044
    摘要 ( ) PDF全文 ( ) HTML 可视化 收藏
    This work introduces a simple and facile approach for the morphology and size controlled synthesis of Co-doped MIL-96. By using different bases as modulators, Co-doped MIL-96 was obtained with sizes that varied from 5 μm to 300 nm, and four different morphologies, including hexagonal prism, icosahedron, hexagonal spindle and ellipsoid. Among these, nano-sized Co-doped MIL-96 with an ellipsoid morphology exhibited the highest electroactive surface area and good conductivity as well as the best electrochemical sensing performance towards α-fetoprotein.
  • Di Xie, Fang Hu, Xin Yu, Fuhan Cui, Guihong Song, Kai Zhu
    中国化学快报. 2020, 31(09): 2268-2274. https://doi.org/10.1016/j.cclet.2020.02.052
    摘要 ( ) PDF全文 ( ) HTML 可视化 收藏
    Aqueous rechargeable zinc-ion batteries (ARZIBs) are expected to replace organic electrolyte batteries owing to its low price, safe and environmentally friendly characteristics. Herein, we fabricated vanadium-based Na1.25V3O8 nanosheets as a cathode material for ARZIBs, which present a high performance by electrochemical de-sodium at high voltage to form Na2V6O16 phase in the first cycle: high capacity of 390 mAh/g at 0.1 A/g, high rate performance (162 mAh/g at 10 A/g) and superior cycle stability (179 mAh/g with a high capacity retention of 88.2% of the maximum capacity after 2000 cycles). In addition, the cell exhibits a high energy density of 416.9 Wh/kg at 143.6 W/kg, suggesting great potential of the as-prepared Na1.25V3O8 nanosheets for ARZIBs.
  • Hao Li, Jiangfeng Gong, Jing-Chang Li, Xincheng Zhang, Chunmei Tang, Hongbing Yao, Qingping Ding
    中国化学快报. 2020, 31(09): 2275-2279. https://doi.org/10.1016/j.cclet.2020.03.010
    摘要 ( ) PDF全文 ( ) HTML 可视化 收藏
    As a significant semiconductor, nickel selenide shows enormous potential and extensive application prospects in the field of sensor, photocatalysis and supercapacitor. In this paper, nickel selenide (Ni3Se2, NiSe) thin films were successfully fabricated on stainless-steel sheet using a facile, effective electrodeposition technique. The morphologies, microstructures and chemical compositions of the thin films are characterized systematically. Electrochemical tests exhibit that the Ni3Se2 and NiSe possess high specific capacitance of 581.1 F/g and 1644.7 F/g, respectively. A flexible, all-solid-state asymmetric supercapacitor is assembled by utilizing NiSe film as positive electrode and activated carbon as negative electrode. The solid device delivers a high areal capacitance of 27.0 mF/cm2 at the current density of 0.7 mA/cm2. The maximum volumetric energy density and power density of the NiSe//AC asymmetric SCs can achieve 0.26 mWh/cm3 and 33.35 mW/cm3, respectively. The device shows robust cycling stability with 84.6% capacitance retention after 10,000 cycles, outstanding flexibility and satisfactory mechanical stability. Moreover, two devices in series can light up a red light-emitting diode, which displayed great potential applications for energy storage.
  • Yan Li, Yuying Shan, Huan Pang
    中国化学快报. 2020, 31(09): 2280-2286. https://doi.org/10.1016/j.cclet.2020.03.027
    摘要 ( ) PDF全文 ( ) HTML 可视化 收藏
    In order to further improve the potential application of nickel-cobalt oxide (NiCoO) in supercapacitors, we use controlled calcination of different Ni-Co-MOF ([NiCo(HBTC)(4,4'-bipy)]) composites to obtain five kinds of nickel doped NiCoO (N-NiCoO) with different Ni/Co molar ratio. These N-NiCoO materials with unique hexagonal nanoplates structure, high specific surface area and high porosity indicate high and stable electrochemical activity. In particular, N-NiCoO-2 with a Ni/Co molar ratio of 2:1 exhibits the highest 945.79 F/g specific capacitance at 1 A/g and a high cycle stability of only 6.7% attenuation after 5000 cycles. Apart from the certain percentage of NiCoO with higher conductivity, nitrogen doping provides more reactive sites and the specific porous hexagonal nanoplates structure of the product itself accelerate electron transfer and promote electrolyte diffusion can more effectively enhance the electrochemical performance. Therefore, N-NiCoO synthesized via a simple method exhibit exciting potential and can be used as an electrode material for supercapacitors with good performance.
  • Sijia Sun, Hao Ding, Lefu Mei, Ying Chen, Qiang Hao, Wanting Chen, Zhuoqun Xu, Daimei Chen
    中国化学快报. 2020, 31(09): 2287-2294. https://doi.org/10.1016/j.cclet.2020.03.026
    摘要 ( ) PDF全文 ( ) HTML 可视化 收藏
    Using low-cost precipitated silica (SiO2) as the carrier, a ternary SiO2-TiO2/g-C3N4 composite photocatalyst was prepared via the sol-gel method associated with a wet-grinding process. The asprepared composite exhibits photocatalytic hydrogen production and pollutant degradation performance under solar-like irradiation. The effect of SiO2 carrier on the properties of the heterostructure between TiO2 and g-C3N4 (CN) was systematically studied. It is found that SiO2 has important effects on promoting the interaction between TiO2 and CN. The particle size of TiO2 and CN was obviously reduced during the calcination process due to the effects of SiO2. Especially, the TiO2 particles exhibit monodispersed state with particle size below 10 nm (quantum dots), resulting in the improvement of the contact area and the interaction betweenTiO2 and CN, and leading to the formation of efficient TiO2/CN Zscheme heterostructure in SiO2-TiO2/CN. Besides, the introduction of SiO2 can increase the specific surface area and light absorption of SiO2-TiO2/CN, further promoting the photocatalytic reaction. As expected, the optimum SiO2-TiO2/CN composite exhibits 12.3, 3.1 and 2.9 times higher photocatalytic hydrogen production rate than that of SiO2-TiO2, CN and TiO2/CN under solar-like irradiation, while the photocatalytic active component in SiO2-TiO2/CN is only about 60 wt%. Moreover, the rhodamine B degradation rate of SiO2-TiO2/CN is also higher than that of SiO2-TiO2, CN and TiO2/CN.
  • Yongli Tong, Hengqi Liu, Meizhen Dai, Li Xiao, Xiang Wu
    中国化学快报. 2020, 31(09): 2295-2299. https://doi.org/10.1016/j.cclet.2020.03.029
    摘要 ( ) PDF全文 ( ) HTML 可视化 收藏
    In this work, we report Co3O4@PPy hybrid structured electrode materials for overall water splitting. The as-synthesized Co3O4/PPy-120 samples present excellent electrocatalytic performances for OER and HER and long durability. It only requires an operating potential of 1.67 V to deliver a current density of 10 mA/cm2 with a remarkable durability for 28 h. The superior electrocatalytic performances mainly can be attributed to the unique heterostructures and the synergistic effects between PPy and Co3O4 electrode materials.
  • Ling Jin, Huan Pang
    中国化学快报. 2020, 31(09): 2300-2304. https://doi.org/10.1016/j.cclet.2020.03.041
    摘要 ( ) PDF全文 ( ) HTML 可视化 收藏
    Metallic phosphides as a crucial class of metal-like compounds show high electric conductivity and electrochemical properties. It is of significant benefit to understanding the relationship between the electrocatalytic performance and phosphating degree of precursors. In this work, using Co3O4@SiO2 as precursor, core-shell structured CoP@SiO2 nanoreactors with outstanding oxygen evolution reaction performance were synthesized through a facile calcination method. The electrocatalytic performance of CoP@SiO2 modified electrode that treated with 500 mg NaH2PO2 was greatly enhanced. The obtained product displays a low overpotential of 280 mV at a current density of 10 mA/cm2 and a Tafel value 89 mV/dec in alkaline conditions. The easy available CoP@SiO2 with outstanding catalytic performance and stability possesses huge potential in future electrochemical applications.
  • Xin Zhang, Jiawei Miao, Peng Zhang, Qizhen Zhu, Mingchi Jiang, Bin Xu
    中国化学快报. 2020, 31(09): 2305-2308. https://doi.org/10.1016/j.cclet.2020.03.040
    摘要 ( ) PDF全文 ( ) HTML 可视化 收藏
    MXene materials have recently attracted considerable attention in energy storage application owing to their metallic conductivity, 2D structure and tunable surface terminations. However, the restacking of 2D MXene nanosheets hinders the ion transport and accessibility to the surface, resulting in adverse effect on their electrochemical performances. Here, with the assistance of hexamethylenetetramine (C6H12N4), 2D Ti3C2Tx MXene nanosheets were fabricated into a 3D architecture with crumbled and porous structure through an electrostatic self-assembly followed by annealing. The resultant 3D structure can expose massive active sites and facilitates the ion transport, which is beneficial for sufficient utilization of the outstanding superiorities of the MXene. Therefore, as a pseudocapacitive material, the 3D crumpled and porous Ti3C2Tx MXene shows a gravimetric capacitance of 333 F/g at 1 A/g, and maintains 261 F/g and 132 F/g at ultrahigh current densities of 100 A/g and 1000 A/g, respectively, revealing promising potential for application in supercapacitors.
  • Wei Du, Yue-Ling Bai, Zhen Yang, Runlong Li, Dan Zhang, Zhiheng Ma, Anbao Yuan, Jiaqiang Xu
    中国化学快报. 2020, 31(09): 2309-2313. https://doi.org/10.1016/j.cclet.2020.04.017
    摘要 ( ) PDF全文 ( ) HTML 可视化 收藏
    Conductive MOFs could exhibit full potential as integrated electrode materials for supercapacitors without interference from additional conductive additives. Here we report an anionic Co-MOF cage with zeolite framework, which was balanced by the redox-active guest [Co(H2O)6]2+ and protonated [(CH3)2NH2]2+ ions. Benefit from the unique ion skeleton structure, Co-MOF exhibits a conductivity higher than most of reported MOFs with the value of 1.42×10-3 S/cm, which can be directly fabricated as electrode for supercapacitors. A maximum specific capacitance of 236.2 F/g can be achieved at a current density of 1 A/g of Co-MOF. Additionally, the electric performance and morphology of this Co-MOF can be modified by cetyltrimethylammonium bromide (CTAB) and the maximum specific capacitance could increase up to 334 F/g at 1 A/g when the ratio of ligand and CTAB is 1:6 (Co-MOF-6). Furthermore, the specific capacitance can retain at 64.04% and 77.92% of the initial value after 3000 cycles of Co-MOF and Co-CTAB-6, respectively. Obviously, the addition of CTAB further improves both capacitance and cycle stability.
  • Xiankun Hou, Wenhao Li, Yingying Wang, Shaofang Li, Yunfeng Meng, Haiyue Yu, Baokuan Chen, Xinglong Wu
    中国化学快报. 2020, 31(09): 2314-2318. https://doi.org/10.1016/j.cclet.2020.04.021
    摘要 ( ) PDF全文 ( ) HTML 可视化 收藏
    Dual ion batteries (DIBs) exhibit broad application prospects in the field of electrical energy storage (EES) devices with excellent properties, such as high voltage, high energy density, and low cost. In the graphitebased DIBs, high voltage is needed to store enough anions with the formation of anion intercalation compound XCn (X = AlCl4-, PF6-, TFSI-, etc.). Hence, it is difficult for graphite-based DIBs to match proper anodes and electrolytes. Here, an Se/graphene composite is prepared via a convenient method, and assembled into a dual-ion full battery (DIFB) as anode with graphite cathode and 1 mol/L NaPF6 in EC: EMC (1:1, v:v). This DIFB has achieved a high discharge capacity of 75.9 mAh/g and high medium output voltage of 3.5 V at 0.1 A/g. Actually, the suitable anode materials, such as the present Se/graphene composite, are extremely important for the development and application of graphite-based DIBs. This study is enlightening for the design of future low-cost EES devices including graphite-based DIBs.
  • Rui Zhang, Wei Jian, Zhao-Di Yang, Fu-Quan Bai
    中国化学快报. 2020, 31(09): 2319-2324. https://doi.org/10.1016/j.cclet.2020.04.055
    摘要 ( ) PDF全文 ( ) HTML 可视化 收藏
    Constructing heterostructures by combining COFs and TMD is a new strategy to design efficient photocatalysts for CO2 reduction reaction (CO2RR) due to their good stability, tunable band gaps and efficient charge separation. Based on the synthesis of completely novel C4N-COF in our previous reported work, a new C4N/MoS2 heterostructure was constructed and then the related structural, electronic and optical properties were also studied using first principle calculations. The interlayer coupling effect and charge transfer between the C4N and MoS2 layer are systematically illuminated. The reduced band gap of the C4N/MoS2 heterostructure is beneficial to absorb more visible light. For the formation of type-II band alignment, a built-in electric field appears which separates the photogenerated electrons and holes into different layers efficiently and produces redox active sites. The band alignment of the heterostructure ensures its photocatalytic activities of the whole CO2 reduction reaction. Furthermore, the charge density difference and charge carrier mobility confirm the existence of the built-in electric field at the interface of the C4N/MoS2 heterostructure directly. Finally, the high optical absorption indicates it is an efficient visible light harvesting photocatalyst. Therefore, this work could provide strong insights into the internal mechanism and high photocatalytic activity of the C4N/MoS2 heterostructure and offer guiding of designing and synthesizing COF/TMD heterostructure photocatalysts.
  • Dawei Zhou, Chunping Li, Furong Yin, Xin Tang, Chunying Pu, Chaozheng He
    中国化学快报. 2020, 31(09): 2325-2329. https://doi.org/10.1016/j.cclet.2020.04.045
    摘要 ( ) PDF全文 ( ) HTML 可视化 收藏
    As electrodes, two-dimensional materials show special advantages including the infinite planar lengths, broad electrochemical window, large surface-volume ratio, and much exposed active sites. In theory, the two-dimensional materials consist of the elements with high electronegativity may absorb more Na atoms, resulting in a high battery storage capacity. Based on the above idea, we selected the two dimensional metallic PS2 with 1T-Type structure as an anode material, and explored its potential applications as an electrode material for Na-ion battery through first-principle calculations. As we expected, when two dimensional PS2 is used as an anode in Na-ion battery, it can adsorb maximum three layers of sodium atoms on both sides of the monolayer, resulting in a maximum theoretical capacity of 1692 mAh/g. Furthermore, it also possesses a rather small sodium diffusion barrier of 0.17 eV, a low average open-circuit voltage of 0.18 V, and a relatively small lattice changes within 13% during the intercalation of Na. These results suggested that the two dimensional PS2 is a potentially excellent Na-ion battery anode. Our idea of designing two-dimensional anode materials with high storage capacity may provide some references for designing the next generation anode materials of metal-ion batteries.
  • Huiyu Duan, Tong Wang, Xinyi Wu, Ziyun Su, Jing Zhuang, Suli Liu, Rongmei Zhu, Changyun Chen, Huan Pang
    中国化学快报. 2020, 31(09): 2330-2332. https://doi.org/10.1016/j.cclet.2020.06.001
    摘要 ( ) PDF全文 ( ) HTML 可视化 收藏
    By integrating the merits of lanthanide elements and quantum dots, we firstly design CeO2 quantum dots doped Ni-Co hydroxide nanosheet via a controllable synthetic strategy, which exhibits a large specific capacitance (1370.7 F/g at 1.0 A/g) and a good cyclic stability (90.6% retention after 4000 cycles). Moreover, we assemble an aqueous asymmetric supercapacitor with the obtained material, which has an extremely high energy density (108.9 Wh/kg at 378 W/kg) and outstanding cycle stability (retaining 88.1% capacitance at 2.0 A/g after 4000 cycles).
  • Li Sun, Kai Wang, Ningning Li, Jun Zhang, Xiangxin Guo, Xianghong Liu
    中国化学快报. 2020, 31(09): 2333-2338. https://doi.org/10.1016/j.cclet.2020.02.006
    摘要 ( ) PDF全文 ( ) HTML 可视化 收藏
    Transition metal oxides with high capacity are considered a promising electrode material for lithium-ion batteries (LIBs). Nevertheless, the huge volume expansion and poor conductivity severely hamper their practical application. In this work, a carbon riveting method is reported to address the above issues by designing multilayered N-doped carbon (N-carbon) enveloped Fe3O4/graphene nanosheets. When evaluated as a negative electrode, the N-carbon/Fe3O4/graphene nanocomposites demonstrate greatly enhanced electrochemical properties compared with Fe3O4/graphene. The N-carbon/Fe3O4/graphene presents a superior reversible capacity (807 mAh/g) over Fe3O4/graphene (540 mAh/g). Furthermore, it affords a considerable capacity of 550 mAh/g at 1 A/g over 700 cycles, indicating superb cycling stability. The structure-property correlation studies reveal that the carbon riveting layer is essential for enhancing the lithium diffusion kinetics. The good electrochemical properties and effective structure design make the carbon riveting strategy quite general and reliable to manipulate high performance electrodes for future LIBs.
  • Junfan Ding, Rui Xu, Chong Yan, Ye Xiao, Yeru Liang, Hong Yuan, Jiaqi Huang
    中国化学快报. 2020, 31(09): 2339-2342. https://doi.org/10.1016/j.cclet.2020.03.015
    摘要 ( ) PDF全文 ( ) HTML 可视化 收藏
    Lithium (Li) metal, possessing an extremely high theoretical specific capacity (3860 mAh/g) and the most negative electrode potential (-3.040 V vs. standard hydrogen electrode), is one the most favorable anode materials for future high-energy-density batteries. However, the poor cyclability and safety issues induced by extremely unstable interfaces of traditional liquid Li metal batteries have limited their practical applications. Herein, a quasi-solid battery is constructed to offer superior interfacial stability as well as excellent interfacial contact by the incorporation of Li@composite solid electrolyte integrated electrode and a limited amount of liquid electrolyte (7.5 μL/cm2). By combining the inorganic garnet Aldoped Li6.75La3Zr1.75Ta0.25O12 (LLZO) with high mechanical strength and ionic conductivity and the organic ethylene-vinyl acetate copolymer (EVA) with good flexibility, the composite solid electrolyte film could provide sufficient ion channels, sustained interfacial contact and good mechanical stability at the anode side, which significantly alleviates the thermodynamic corrosion and safety problems induced by liquid electrolytes. This innovative and facile quasi-solid strategy is aimed to promote the intrinsic safety and stability of working Li metal anode, shedding light on the development of next-generation highperformance Li metal batteries.
  • Qing Sun, Kexin Yao, Yuxin Zhang
    中国化学快报. 2020, 31(09): 2343-2346. https://doi.org/10.1016/j.cclet.2020.03.069
    摘要 ( ) PDF全文 ( ) HTML 可视化 收藏
    The complex-architectured NiFe-LDH@FeOOH negative material was first prepared by simple two-step hydrothermal method. In this study, the porous nanostructure of FeOOH nanosheets features a large number of accessible channels to electroactive sites and the two-dimensional layered structure of NiFe-LDH nanosheets have an open spatial structure with high specific surface area, which enhance the diffusion of ions in the active material. Benefited from above advantages, the excellent electrochemical properties were demonstrated. NiFe-LDH@FeOOH nanocomposites present high specific capacitance (1195 F/g at a current density of 1 A/g), lower resistance and well cycling performance (90.36% retention after 1000 cycles). Furthermore, the NiFe-LDH@MnO2//NiFe-LDH@FeOOH supercapacitor exhibits 22.68 Wh/kg energy density at 750 W/kg power density, demonstrating potential application in energy storage devices.
  • Shifang Jiang, Shuo Huang, Minjie Yao, Jiacai Zhu, Lili Liu, Zhiqiang Niu
    中国化学快报. 2020, 31(09): 2347-2352. https://doi.org/10.1016/j.cclet.2020.04.014
    摘要 ( ) PDF全文 ( ) HTML 可视化 收藏
    Lithium-sulfur (Li-S) batteries have received extensive attention due to their high theoretical specific energy density. However, the utilization of sulfur is seriously reduced by the shuttle effect of lithium polysulfides and the low conductivity of sulfur and lithium sulfide (Li2S). Herein, we introduced bimetalorganic frameworks (Co/Zn-ZIF) derived cobalt and nitrogen-doped carbons (Co/N-C) into Li-S batteries through host design and separator modification. The Co/N-C in Li-S batteries effectively limits the shuttle effect through simultaneously serving as polysulfide traps and chemical catalyst. As a result, the Li-S batteries deliver a high reversible capacity of 1614.5 mAh/g and superior long-term cycling stability with a negligible capacity decay of only 0.04% per cycle after 1000 cycles. Furthermore, they have a high area capacity of 5.5 mAh/cm2.
  • Shuyu Zhou, Xiaozhe Jin, Shengming Zhu, Qian Luo, Zhiwen Qiu, Aimin Wu, Hao Huang
    中国化学快报. 2020, 31(09): 2353-2357. https://doi.org/10.1016/j.cclet.2020.02.042
    摘要 ( ) PDF全文 ( ) HTML 可视化 收藏
    NiS2 has become a research hotspot of anode materials for Na-ion batteries due to its high theoretical specific capacity. However, the volume effect, the dissolution of polysulfide intermediates and the low conductivity during the charge/discharge process lead to the low specific capacity and poor cycling stability. NiS2/rGO nanocomposite was prepared by a facile two-step process: GO was prepared by modified Hummers method, and then NiS2/rGO nanocomposite was synthesized by L-cys assisted hydrothermal method. NiS2/rGO nanocomposite shows excellent cycle performance and rate performance, which could be attributed to the mesoporous structure on the graphene skeleton with high conductivity. Besides, the chemical constraint of a unique S-O bond on NiS2 could inhibit the dissolution of intermediates and the loss of irreversible capacity.
  • Lijun Su, Lingyang Liu, Yue Wang, Yulan Lu, Xingbin Yan
    中国化学快报. 2020, 31(09): 2358-2364. https://doi.org/10.1016/j.cclet.2020.03.014
    摘要 ( ) PDF全文 ( ) HTML 可视化 收藏
    Zinc-based electrochemistry energy storage with high safety and high theoretical capacity is considered to be a competitive candidate to replace lithium-ion batteries. In electrochemical energy storage, multimetal oxide cathode materials can generally provide a wider electrochemical stability window and a higher capacity compared with single metal oxides cathode. Here, a new type of cathode material, MnFe2Co3O8 nanodots/functional graphene sheets, is designed and used for aqueous hybrid Zn-based energy storage. Coupling with a hybrid electrolyte based on zinc sulfate and potassium hydroxide, the asfabricated battery was able to work with a wide electrochemical window of 0.1~1.8 V, showed a high specific capacity of 660 mAh/g, delivered an ultrahigh energy density of 1135 Wh/kg and a scalable power density of 5754 W/kg (calculated based on the cathode), and displayed a long cycling life of 1000 cycles. These are mainly attributed to the valence charge density distribution in MnFe2Co3O8 nanodots, the good structural strengthening as well as high conductivity of the cathode, and the right electrolyte. Such cathode material also exhibited high electrocatalytic activity for oxygen evolution reaction and thus could be used for constructing a Zn-air battery with an ultrahigh reversible capacity of 9556 mAh/g.
  • 评论
  • Ying Li, Xiuxiu Cao, Changlin Tian, Ji-Shen Zheng
    中国化学快报. 2020, 31(09): 2365-2374. https://doi.org/10.1016/j.cclet.2020.04.015
    摘要 ( ) PDF全文 ( ) HTML 可视化 收藏
    D-peptides are recognized as a new class of synthetic chemical drugs and they possess many interesting advantages such as high enzymatic stability, improved oral bioavailability, as well as high binding affinity and specificity. Recently, D-peptide drugs have been attracting increasing attention in both academic and industrial researches over recent years. One D-peptide etelcalcetide has even entered the market that targets the calcium (Ca2+)-sensing receptor (CaSR) to fight secondary hyperparathyroidism. Effective discovery and optimization of D-peptide ligands that can bind to various disease-related targets with high specificity and potency is of great importance for the development of D-peptide drugs. This review surveys the recent method development in this area especially the chemical protein synthesis-assisted high-throughput screening strategies for D-peptide ligands and their application in drug discovery.
  • Junlin Zhang, Jing Zhou, Fuqiang Bi, Bozhou Wang
    中国化学快报. 2020, 31(09): 2375-2394. https://doi.org/10.1016/j.cclet.2020.01.026
    摘要 ( ) PDF全文 ( ) HTML 可视化 收藏
    Furazan and furoxan represent fascinating explosophoric units with intriguing structures and unique properties. Compared with other nitrogen-rich heterocycles, most poly furazan and furoxan-based heterocycles demonstrate superior energetic performances due to the higher enthalpy of formation and density levels. A large variety of advanced energetic materials have been achieved based on the combination of furazan and furoxan moieties with different kinds of linkers and this review provides an overview of the development of energetic poly furazan and furoxan structures during the past decades, with their physical properties and detonation characteristics summarized and compared with traditional energetic materials. Various synthetic strategies towards these compact energetic structures are highlighted by covering the most important cyclization methods for construction of the hetercyclic scaffolds and the following modifications such as nitrations and oxidations. Given the synthetic availabilities and outstanding properties, energetic materials based on poly furazan and furoxan structures are undoubtedly listed as a promising candidate for the development of new-generation explosives, propellants and pyrotechnics.
  • Jingli Xie, Dongyuan Zhao
    中国化学快报. 2020, 31(09): 2395-2400. https://doi.org/10.1016/j.cclet.2020.03.022
    摘要 ( ) PDF全文 ( ) HTML 可视化 收藏
    Understanding the unique characteristics of continuous-flow photochemistry will lead to a paradigm shift in the way we enhance sustainability and wellbeing. In this mini-review, we first provide a succinct overview of working principles of this technique and discuss several recent synthetic protocols. Then, emphasis is given to those representative examples which address environmental issues such as indoor air pollutants and water contamination. Finally, recent progress made using this technique to deal with rising CO2 emission, solar energy utilization and biomedical equipment is described. It is believed that this mini-review could inspire more chemists to utilize this technique in their research, either in the academic or industrial field.
  • Haibo Mei, Attila Márió Remete, Yupiao Zou, Hiroki Moriwaki, Santos Fustero, Lorand Kiss, Vadim A. Soloshonok, Jianlin Han
    中国化学快报. 2020, 31(09): 2401-2413. https://doi.org/10.1016/j.cclet.2020.03.050
    摘要 ( ) PDF全文 ( ) HTML 可视化 收藏
    Eleven new fluorine-containing FDA-approved drugs have been profiled and details of their discovery and preparation are discussed. Therapeutic areas include schizophrenia, migraine, multiple sclerosis, insomnia, rheumatoid arthritis, anti-tuberculosis, breast cancer, lymphoma kinase inhibitor, serotonin receptor antagonist. New pharmaceuticals feature four examples of aromatic fluorine, three aromatic CF3 group, three aliphatic CF3 and one compound with aromatic CF3O group. Furthermore, among the new compounds, six are chiral and seven are derived from tailor-made amino acids.
  • Yue Zhou, Xuewei Liao, Jing Han, Tingting Chen, Chen Wang
    中国化学快报. 2020, 31(09): 2414-2422. https://doi.org/10.1016/j.cclet.2020.05.033
    摘要 ( ) PDF全文 ( ) HTML 可视化 收藏
    In recent decades, the properties and behaviors of nanofluidic devices have been widely explored in varied subjects such as engineering, physics, chemistry, and biology. Among the rich properties of nanofluidics, ionic current rectification (ICR) is a unique phenomenon arising from asymmetric nanofluidic devices with electric double layer (EDL) overlapped. The ICR property is especially useful in applications including energy conversion, mass separation, sea water purification and bioanalysis. In this review, the ICR property in nanofluidics as well as the underlying mechanism is demonstrated. The influencing factors concerning to the ICR property are systematically summarized. The asymmetric geometry as well as the charge distribution is in charge of the ICR behavior occurring in nanofluidic devices. This review is aimed at readers who are interested in the fundamentals of mass transport in nanofluidics in general, as well as those who are willing to apply nanofluidics in various research fields.
  • 通信
  • Huaming Xiao, Ping Liu, Shujian Zheng, Xian Wang, Jun Ding, Yuqi Feng
    中国化学快报. 2020, 31(09): 2423-2427. https://doi.org/10.1016/j.cclet.2020.03.003
    摘要 ( ) PDF全文 ( ) HTML 可视化 收藏
    Direct infusion mass spectrometry (DIMS) is a powerful technique in clinical diagnosis for screening neonatal amino acid metabolic disorders from dried blood spots (DBS). However, DIMS sometimes generated false-positive results for analysis of amino acids. In this work, we utilized a stable isotope derivatization method, combining with liquid chromatography tandem mass spectrometry (SID-LC-MS), to improve the specificity for screening amino acids in DBS specimens. A pair of isotope reagents, p-(dimethylamino)phenyl isothiocyanate (DMAP-NCS) and 4-isothiocyanato-N,N-bis(methyl-[2H2])aniline ([2H4]DMAP-NCS), was synthesized and used to label amino acids in DBS specimens. The [2H4]DMAP-NCS labelled amino acid standards were used as internal standards to compensate the matrix effect. This method was validated by measuring linearity, recovery and accuracy. The results showed that the developed SID-LC-MS method can be used for sensitive and selective determination of 12 diagnostically important amino acids in DBS specimens.
  • Li Zhang, Yanan Sun, Yanping Jiang, Yining Li, Gang Song, Kunlun Huang, Zhiyi Yao
    中国化学快报. 2020, 31(09): 2428-2432. https://doi.org/10.1016/j.cclet.2020.04.003
    摘要 ( ) PDF全文 ( ) HTML 可视化 收藏
    A colorimetric and fluorometric dual probe based on a water-soluble polythiophene derivative (PMTPBA) was designed and synthesized. It can be applied to determination of picric acid (PA) in 100% aqueous solution. The approach relies on the formation of supramolecular polythiophene assemblies in the presence of PA through electrostatic, charge transfer and π-π stacking interactions. This probe could be utilized for the rapid and visual detection of PA both in aqueous solution and solid support with high specificity and sensitivity. The detection limit of this sensor is as low as 5.0×10-8 mol/L.
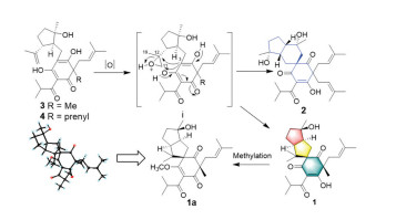
  • Yansong Ye, Nana Jiang, Xianwen Yang, Gang Xu
    中国化学快报. 2020, 31(09): 2433-2436. https://doi.org/10.1016/j.cclet.2020.04.028
    摘要 ( ) PDF全文 ( ) HTML 可视化 收藏
    Spirohypatone A (1), a spirocyclic PPAP (polycyclic polyprenylated acylphloroglucinol) bearing an unprecedented hexahydro-1'H-spiro [cyclohexane-1,2'-pentalene]-2,4,6-trione core and a new homologue (spirohypatone B, 2) were isolated from Hypericum patulum together with two known biosynthetic precursors. Compound 1 represents the first spirocyclic PPAP possessing a 5/5/6 carbon ring system, biogenetically derived from the intermediate 3 (attack from C-3 to C-12), which was differed from normal spirocyclic PPAPs (attack from C-3 to C-11). In addition, through extensive spectroscopic analysis, an interconversion mechanism of keto-enol of 1 was postulated and confirmed by its methylated reaction. The structures and absolute configurations of 1 and 2 were determined by comprehensive spectroscopic and chemical derivatized methods and X-ray crystallography. Compounds 1, 2, and 4 were tested to exhibit cytotoxic activities against several cancer cell lines.
  • Yujian Lai, Lijie Dong, Rui Liu, Shaoyu Lu, Zuoliang He, Wanyu Shan, Fanglan Geng, Yaqi Cai, Jingfu Liu
    中国化学快报. 2020, 31(09): 2437-2441. https://doi.org/10.1016/j.cclet.2020.04.050
    摘要 ( ) PDF全文 ( ) HTML 可视化 收藏
    Alloy and small size nanostructures are favorable to catalytical performance, but not to surface-enhanced Raman spectroscopy (SERS) applications. Integrating SERS and catalytic activity into the nanocrystals with both alloy and small size structures is of great interest in fabrication of SERS platform to in situ monitor catalytical reaction. Herein, we report a facile method to synthesize Au@AgPd trimetallic nanoflowers (Au@AgPd NFs) with both SERS and catalytic activities, through simultaneous selective growth of Ag and Pd on Au core to form highly-branched alloy shell. These nanocrystals have the properties of small sizes, defects abundance, and highly-dispersed alloy shell which offer superior catalytic activity, while the merits of monodisperse, excellent stability, and highly-branched shell and core/alloy-shell structure promise the enhanced SERS activity. We further studied their growth mechanisms, and found that the ratio of Ag to Pd, sizes of Au core, and surfactant cetyltrimethylammonium bromide together determine this special structure. Using this as-synthesized nanocrystals, a monolayer bifunctional platform with both SERS and catalytical activity was fabricated through selfassembly at air/water interface, and applied to in situ SERS monitoring the reaction process of Pdcatalyzed hydrogenation of 4-nitrothiophenol to 4-aminothiophenol.
  • Huihui Wang, Ting He, Ying Du, Wenhui Wang, Yangbin Shen, Shuping Li, Xiaochun Zhou, Feng Yang
    中国化学快报. 2020, 31(09): 2442-2446. https://doi.org/10.1016/j.cclet.2020.03.049
    摘要 ( ) PDF全文 ( ) HTML 可视化 收藏
    Nanobubble is a rising research field, which attracts more and more attentions due to its potential applications in medical science, catalysis, electrochemistry and etc. To better implement these applications, it is urgent to understand one of the most important mechanisms of nanobubbles, the evolution. However, few attentions have been paid in this aspect because of the methodology difficulties. Here we successfully used dark-field microscopy to study the evolution process of single nanobubbles generated from formic acid dehydrogenation on single Pd-Ag nanoplates. We found some of the nanobubbles in this system can exhibit three distinct states representing different sizes, which can transform among each other. These transitions are not direct but through some intermediate states. Further kinetic analysis reveals complicated mechanisms behind the evolution of single nanobubbles. The results acquired from this study can be applicable to nanobubble systems in general and provide insights into the understanding of mechanisms affecting the stability of nanobubbles and their applications.
  • Wenhan Li, Zhirui Guo, Qiuyuan Tai, Yawen Li, Yefei Zhu, Tingting Bai
    中国化学快报. 2020, 31(09): 2447-2451. https://doi.org/10.1016/j.cclet.2020.05.019
    摘要 ( ) PDF全文 ( ) HTML 可视化 收藏
    Facile achievement of gold nanorods (AuNRs) with controllable longitudinal surface plasmon resonance (LSPR) is of great importance for their applications in various fields. The LSPR of AuNRs is sensitive to their aspect ratio, which is still hard to be precisely tuned by direct synthesis. In this work, we report a simple approach for end-selective etching of AuNRs by a rapid oxidation process with Au(III) in cetyltrimethylammonium bromide (CTAB) solution at a mild temperature. The LSPR wavelength and the length of AuNRs blue shifted linearly as a function of the amount of Au(III), while the diameter of AuNRs remained nearly constant. The oxidative rate is temperature dependent, and the oxidative process for a desired LSPR can be accomplished within 15 min at 60 ℃. Further investigations indicated that Br- determine the occurrence of the oxidation between AuNRs and Au(III), and a small amount of surfactant chain (CTA+) is crucial for stabilizing AuNRs. This method presents a quick but robust strategy for acquiring AuNRs with an arbitrary intermediate LSPR wavelength using the same starting AuNRs, and can be a powerful tool for subsequent applications.
  • Lin Shao, Fei Tong, Mengbing Zhu, Hao Xia, Wenhong Peng, Hua Tan, Bin Zhang, Yu Liu, Weiguo Zhu
    中国化学快报. 2020, 31(09): 2452-2458. https://doi.org/10.1016/j.cclet.2020.03.036
    摘要 ( ) PDF全文 ( ) HTML 可视化 收藏
    In order to boost power conversion efficiency (PCE) and operation stability of organic solar cells (OSCs), we propose a new idea of phase junction materials (PJMs) used as a photoactive layer component to improve device performance and stability. For this purpose, a novel PJM of H-TRC8 based on rhodanine unit was designed with a conjugated AH-D-A framework. Here, AH is a hydrogen-donating electron acceptor unit, D-A is an electron donor-acceptor unit. It is found that H-TRC8 has a good carriertransporting ability, as well as definite hydrogen-bond and D-A interaction with donor/acceptor materials. While H-TRC8 is added into the PBDB-T/PC60BM blend film with 1.0 vol% DIO (1,8-diiodooctane), the resulting blend film exhibited an enhanced absorption and improved morphology. The intermolecular hydrogen bond between H-TRC8 and PBDB-T plays an important role for them, which is confirmed via FT-IR spectra and 2D 1H NMR. As a result, the PBDB-T/PC60BM-based devices with 1.25 wt% H-TRC8 and 1.0 vol% DIO exhibit a significantly improved PCE of 8.06%, which is increased by 20.6% in comparison to that in the binary devices with 1.0 vol% DIO only (PCE = 6.68%). Furthermore, the device stability is significantly enhanced with only 43% PCE roll-off at 150 ℃ for 120 h. This work indicates that AH-D-A-type PJMs are promising photovoltaic materials used as photoactive-layer components to achieve high-performance fullerene OSCs with high device stability.
  • Zuoji Liu, Chengjia Bao, Guangjun Zhang, Kai Zhang, Gangtie Lei, Qiang Zhang, Qiang Peng, Yu Liu
    中国化学快报. 2020, 31(09): 2459-2464. https://doi.org/10.1016/j.cclet.2020.02.021
    摘要 ( ) PDF全文 ( ) HTML 可视化 收藏
    In this article, three novel and simple molecular structure with donor-acceptor (D-A) type copolymers via only head-to-head alkoxy (OR) and/or alkylthio (SR) side chains onto the bithiophene (BT) as donor units and fluorinated benzotriazole (FBTA) as acceptor unit, namely, PBTOR-FBTA, PBTOSR-FBTA and PBTSRFBTA, were successfully designed and synthesized. The impacts of sulfur-oxygen (S…O) or sulfur-sulfur (S…S) noncovalent interactions on their physicochemical properties, molecular stacking, carrier mobility, morphologies of blend films, as well as their photovoltaic performance were deeply and systematically studied. The introduction of SR side-chains suddenly lowered the highest occupied molecular orbital (HOMO) energy levels, blue-shifted absorption, enhanced π-π stacking, as well as improved morphology of the photoactive layer blends in comparison with the reference polymer without SR side-chain. Polymer solar cells (PSCs) were fabricated to estimate their photovoltaic performance of the polymers. Under an optimized blend ratio of PBTSR-FBTA:PC71BM (1:0.8, w/w), the PBTSR-FBTAbased device exhibits a higher power conversion efficiency (PCE) of 6.25%, which is about 3.34 and 1.87 folds than that of the PBTOR-FBTA and PBTOSR-FBTA-based devices, respectively. Our research results demonstrate that the modification of the simple and low-cost SR side chains is an effective strategy to improve the photovoltaic performance of the polymers.
  • Xiaohan Yuan, Shuai Wang, Jialing Cheng, Bin Yu, Hong-Min Liu
    中国化学快报. 2020, 31(09): 2465-2468. https://doi.org/10.1016/j.cclet.2020.03.025
    摘要 ( ) PDF全文 ( ) HTML 可视化 收藏
    The first HFIP-promoted catalyst-free cascade reactions for the synthesis of biologically relevant 3,3-di (indolyl)indolin-2-ones (27 examples, up to 98% yield) from readily available indoles and isatin derivatives are described. This protocol shows well tolerance of different functional groups and features mild reaction conditions such as short reaction time (~1 h), no usage of catalyst, easy operation and product isolation. Of particular interest is the formation of two C-C bonds and one all-carbon quaternary center. This protocol could serve as an alternative strategy to synthesize biologically important 3,3-di (indolyl)indolin-2-ones for biological testing.
  • Pengyu Han, Tan Tan, Fei Wu, Ping Cai, Gongzhen Cheng, Wei Luo
    中国化学快报. 2020, 31(09): 2469-2472. https://doi.org/10.1016/j.cclet.2020.03.009
    摘要 ( ) PDF全文 ( ) HTML 可视化 收藏
    The development of efficient and cost-effective electrocatalysts toward anodic oxygen evolution reaction (OER) is crucial for the commercial application of electrochemical water splitting. As the most promising electrocatalysts, the OER performances of nickel-iron-based materials can be further improved by introducing metalloid elements to modify their electron structures. Herein, we developed an efficient hybrid electrocatalyst with nickel-iron boride (NiFeB) as core and amorphous nickel-iron borate (NiFeBi) as shell (NiFeB@NiFeBi) via a simple aqueous reduction. The obtained NiFeB@NiFeBi exhibits a small overpotential of 237 mV at 10 mA/cm2 and Tafel slope of 57.65 mV/dec in 1.0 mol/L KOH, outperforming most of the documented precious-metal-free based electrocatalysts. Benefiting from the in situ formed amorphous NiFeBi layer, it shows excellent stability toward the oxygen evolution reaction (OER). These findings might provide a new way to design advanced precious-metal-free electrocatalysts for OER and the application of electrochemical water splitting.
  • Wentao Li, Xiaomei Sun, Xuan Zhao, Wei Wang, Shenghao Xu, Xiliang Luo
    中国化学快报. 2020, 31(09): 2473-2477. https://doi.org/10.1016/j.cclet.2020.04.027
    摘要 ( ) PDF全文 ( ) HTML 可视化 收藏
    Discrimination of different types of sulfur-containing species not only helps us to deeply understand how sulfur affects cellular signaling, but also contribute to the early diagnosis of diseases. However, the current investigation about sulfur-containing species discrimination is mainly concentrated in biothiols, which is relatively limited for practical application. Toward circumventing this limitation, herein, a convenient sensor array consisting of three kinds of Au NCs-Cu2+ for simultaneous and rapid identification of different types of sulfur-containing species is reported. Based on the fingerprint-like fluorescence responses generated by competitive binding between Au NCs-Cu2+ and different sulfurcontaining species, not only ten different types of sulfur-containing species separately but also their binary or ternary randomly selected mixtures can be well discriminated even in human urine and serum samples. It is worth noting that it only takes 2 min to obtain the best response signals for sulfurcontaining species discrimination. Most importantly, serums from cancer patients (such as liver cancer and breast cancer) and healthy people as well as sulfur-oxidizing bacteria (SOB) and sulfur-free bacteria can be both effectively and rapidly identified within 2 min, respectively, making it a promising approach for point-of-care disease diagnostic.
  • Huifang Sun, Qi Zeng, Chen Ye, Yangguang Zhu, Feiyue Chen, Mingyang Yang, Li Fu, Shiyu Du, Jinhong Yu, Nan Jiang, Jianxiong Liu, Tianzhun Wu, Cheng-Te Lin
    中国化学快报. 2020, 31(09): 2478-2482. https://doi.org/10.1016/j.cclet.2020.03.032
    摘要 ( ) PDF全文 ( ) HTML 可视化 收藏
    High-performance nanomaterial catalysts for hydrogen evolution reaction via electrochemical water splitting are significant to the development of hydrogen energy. In this work, we report a robust and highly active catalyst fabricated through direct electrochemical deposition of Pt nanodendrites at the surface of activated carbon (Pt NDs). Owing to the large electrochemically active area and the exposed (111) facet of Pt, Pt NDs exhibits outstanding activity towards hydrogen evolution reaction with a low requiring overpotential of 0.027 V at 10 mA/cm2 and Tafel slope of ≈22 mV/dec in acidic media. In addition, the hydrogen yield of Pt NDs is 30%-45% larger than that of commercial Pt/C at the same Pt loadings. Moreover, Pt NDs exhibits excellent long-term durability whose hydrogen production efficiency remains unchanged after six-hour hydrogen production, while the efficiency of commercial Pt/C catalyst decayed 9% under the same circumstance. Considering the superiority of catalytic activity and stability, this Pt NDs present great potentiality towards practical hydrogen production application.
  • Dengmeng Song, Xuyun Gao, Bo Li, Jun Li, Xuzhuo Sun, Chengbo Li, Jiale Zhao, Lin Chen, Ning Wang
    中国化学快报. 2020, 31(09): 2483-2486. https://doi.org/10.1016/j.cclet.2020.01.033
    摘要 ( ) PDF全文 ( ) HTML 可视化 收藏
    Structural and functional biomimicking of the active site of [NiFe]-hydrogenases can provide helpful hints for designing bioinspired catalysts to replace the expensive noble metal catalysts for H2 generation and uptake. Treatment of dianion [Ni(phma)]2- [H4phma = N,N'-1,2-phenylenebis(2-mercaptoacetamide)] with [NiCl2(dppp)] (dppp = bis(diphenylphosphino)propane) yielded a dinickel product [Ni(phma)(μ-S,S')Ni(dppp)] (1) as the model complex relevant to the active site of [NiFe]-H2ases. The structure of complex 1 has been characterized by single-crystal X-ray analysis. From cyclic voltammetry and controlled potential electrolysis studies, complex 1 was found to be a moderate electrocatalyst for the H2-evoluting reaction using ClCH2COOH as the proton source.
  • Jiaojiao Guo, Tsegaye Tadesse Tsega, Ibrahim Ul Islam, Asma Iqbal, Jiantao Zai, Xuefeng Qian
    中国化学快报. 2020, 31(09): 2487-2490. https://doi.org/10.1016/j.cclet.2020.02.019
    摘要 ( ) PDF全文 ( ) HTML 可视化 收藏
    Electrocatalytic N2 reduction to ammonia is a fascinating alternative to Haber-Bosch process and also considered as an energy storage method. This work, Fe doped MoS2/carbon cloth (CC) has been studied on the electro-catalysis fix nitrogen indicating the doped Fe can indeed enhance the MoS2 material ability. Compared with MoS2/CC, Fe-Mo-S-3/CC not only increases 10 times in the rate of production ammonia, but also 5 times in Faraday efficiency.
  • Yue Sun, Haiyan Xiang, Huimin Li, Gang Yu, Hong Chen, Song Liu
    中国化学快报. 2020, 31(09): 2491-2494. https://doi.org/10.1016/j.cclet.2020.04.025
    摘要 ( ) PDF全文 ( ) HTML 可视化 收藏
    In addition to the theoretical research, direct ethanol fuel cells have great potential in practical applications. The performance of direct ethanol fuel cells largely depends on the electrocatalysts. Ptbased electrocatalysts have been promising candidates for advancing direct ethanol fuel cells for its high catalytic activity and great durability. Here, a PtSn catalyst with unique three-dimensional porous nanostructure has been designed and synthesized via a two-step liquid phase reduction reaction. Sn formed a self-supporting framework in PtSn alloy particles (~3.5 nm). In ethanol electro-oxidation reaction, the PtSn catalyst exhibited high mass activity and excellent recycling time compared with that of Pt/C. After the morphology characterization before and after potential cycling, the PtSn alloy-based nano-catalyst showed good stability. The PtSn catalysts effectively avoid structural instability due to the external carriers, and prolong the leaching time of Sn. In addition, the introduction of a certain amount of Sn can also solve the poisoning phenomenon of active sites on Pt surface. The design strategy of porous alloy nano-catalyst sheds light on its applications in direct ethanol fuel cells.
  • Zhiling Huang, Qin Xu, Xiaoya Hu
    中国化学快报. 2020, 31(09): 2495-2498. https://doi.org/10.1016/j.cclet.2020.06.017
    摘要 ( ) PDF全文 ( ) HTML 可视化 收藏
    Developing a fast, sensitive and convenient method for the detection of hydroxyl radicals (·OH) in the atmosphere could help us know the precursor levels of atmospheric species and control air pollution. In this work, the carbon fiber paper (CFP) functionalizing with a kind of covalent organic frameworks (COFs), formed from 1,3,5-triformylphloroglucinol (Tp) and benzidine (BD) (COF(TpBD)), was firstly used a new platform for ·OH trapping and detection. The COF(TpBD) modified CFP was acted as a filter to impregnate salicylic acid (SA) and a detector to detect 2,5-dihydroxybenzoic acid (2,5-DHBA) which was produced from the reaction between the impregnated SA and ·OH in the atmosphere. This method provided a linearity for 2,5-DHBA from 5.0×10-14 mol/L 1.0×10-9 mol/L with a detection limit of 6.9×10-15 mol/L, which is corresponding to the amount of ·OH from 3.0×107 to 6.0×1011 molecules/cm3 with the detection limit of 4.1×106 molecules/cm3. This COF(TpBD)-CFP platform has been successfully applied for the detection of ·OH concentration under different conditions of Yangzhou when the sampling time was shortened to 30 min. This work has provided a new method for atmospheric ·OH detection with excellent sensitivity, simplicity, and high speed.
  • Chao Zhang, Tingting Li, Lei Pu, Weijia Wen, Xiangdong Luo, Lijuan Zhao
    中国化学快报. 2020, 31(09): 2499-2502. https://doi.org/10.1016/j.cclet.2020.01.013
    摘要 ( ) PDF全文 ( ) HTML 可视化 收藏
    A ternary complex combining dual-phase perovskites - Cs4PbBr6/CsPbBr3 (DP-CPB) with ZnSe micropsheres (ZnSe-DP-CPB) was successfully prepared using supersaturated recrystallization technique at room temperature. It was showed that the DP-CPB composites were partially embedded in ZnSe microsphere composed with ZnSe NCs. The light absorption range of ZnSe-DP-CPB composites was extended from visible to near infrared light. Highly enhanced luminescence from ZnSe-DP-CPB composite was observed and the excitation power-dependent photoluminescence showed that the recombination involves excitons. The recombination lifetimes of the ternary composites increased compared with DP-CPB composite, indicating that the non-radiative combination was suppressed which may be possibly due to the decrease of both bulk and surface defects, owing to the passivation of ZnSe, as well as the suitable band alignments of these three components. The ternary complex also showed improved stability of photoluminescence (PL), which opens a new avenue for enhancing the stability of PL and optoelectronic applications for semiconductor-perovskite composites.
  • Waseem Muhammad, Jie Ni, Zvonko Jagličić, Ping Cui, Linna Gao, Di Sun
    中国化学快报. 2020, 31(09): 2503-2506. https://doi.org/10.1016/j.cclet.2020.01.031
    摘要 ( ) PDF全文 ( ) HTML 可视化 收藏
    An iron (III) cluster, namely [Fe10(μ3-O)8L8(NO3)6] (1), has been synthesized by treatment of Fe (NO3)3·9H2O with 3,5-dimethyl-1-(hydroxymethyl)-pyrazole (HL) under ambient temperature. The core skeleton of {Fe10III} can be regarded as a pear-like cage with eight triangular {Fe3III(μ3-O)} units, in which each three FeIII centers is held together by one μ3-O2- group with FeIII centers as corner-sharing triangle units. Importantly, {Fe10III} cluster is not only stable in solid state but also in solution, which is confirmed by powder X-ray diffraction (PXRD) pattern and electrospray ionization mass spectrometry (ESI-MS), respectively. Furthermore, 1 shows antiferromagnetic exchange behavior arising from the interactions between the iron(III) centers.
  • Chen Ye, Fan Zhang, Xue Tan, Huifang Sun, Wen Dai, Ke Yang, Minghui Yang, Shiyu Du, Dan Dai, Jinhong Yu, Nan Jiang, Weitao Su, Li Fu, He Li, Jing Kong, Cheng-Te Lin
    中国化学快报. 2020, 31(09): 2507-2511. https://doi.org/10.1016/j.cclet.2020.01.021
    摘要 ( ) PDF全文 ( ) HTML 可视化 收藏
    The realization of good aqueous dispersibility of commercial graphene products composed of exfoliated graphene sheets is of significance for downstream applications. However, the tap density of commercial graphene powder is quite low (0.03-0.1 kg/m3), meaning that 1 kg graphene powder occupies about 10-30 m3 in volume during transportation. And, the available content of commercial graphene dispersion/slurry in aqueous medium cannot exceed 5 wt%, although the density is high (≈1050 kg/m3). In this work, a graphene monolith was prepared by oven-drying of graphene sheets prefunctionalized with poloxamer surfactants. Our graphene monoliths not only have a high density (1500 kg/m3) and high graphene content (≈10 wt%), but also a full capability to be completely redispersed (≈100%) in water by bath sonication to obtain solubilized graphene sheets, whose lateral size and thickness are unchanged compared to as-exfoliated ones. Moreover, a simple empirical method was proposed to predict the redispersion capability of graphene monoliths using different poloxamers by contact angle measurements. Our results provide a universal approach to make exfoliated graphene-based products with better downstream availability and lower transportation cost.
  • Jiapeng Zhang, Fanzhen Lin, Lijing Yang, Hua Dong
    中国化学快报. 2020, 31(09): 2512-2515. https://doi.org/10.1016/j.cclet.2020.03.072
    摘要 ( ) PDF全文 ( ) HTML 可视化 收藏
    Ru and Co are highly dispersed on the surface of TiO2 nanoparticles with an easy coprecipitation method to fabricate a novel Ru-based catalyst (Ru/Co-TiO2). The fabricated Ru/Co-TiO2 catalyst exhibits superior catalytic performance for promoting NaBH4 hydrolysis in alkaline medium, showing an impressive hydrogen generation rate per gram Ru as high as 172 L min-1 gRu-1, which is better than most of recently reported Ru-based catalysts. In addition, the fabricated Ru/Co-TiO2 catalyst also shows excellent durability in cycle use,with only 2.9% activity loss after being used for 5 cycles.These advantages make the developed Ru/ Co-TiO2 catalyst a potential choice for promoting hydrogen generation from NaBH4 hydrolysis.
  • Fengfeng Xiao, Bing Cao, Liewei Wen, Yanhong Su, Meixiao Zhan, Ligong Lu, Xianglong Hu
    中国化学快报. 2020, 31(09): 2516-2519. https://doi.org/10.1016/j.cclet.2020.06.038
    摘要 ( ) PDF全文 ( ) HTML 可视化 收藏
    Pathogen infection is the main cause of human morbidity and death. Traditional antibiotics usually sterilize bacteria in chemical ways, which tends to develop serious antibiotic resistance. Cationic polymers exhibit good bacterial inhibition with less resistance, but often face severe cytotoxicity toward normal cells. The optimization of polymeric antimicrobials for enhanced bactericidal capacity and improved biocompatibility is quite meaningful. In addition, photodynamic therapy (PDT) is a therapeutic modality with less susceptibility to develop resistance. Herein, a typical commercial polymeric antimicrobial, polyhexamethylene guanidine (PHMG) was selected for current proof-of-concept optimization due to its excellent bactericidal capacity but moderate biocompatibility. Eosin-Y (EoS) was copolymerized to afford EoS-labeled polymer conjugates, poly(2-(dimethylamino) ethyl methacrylate-co-eosin), P(DMAEMA-co-EoS), which was conjugated with PHMG to afford a novel polymeric antimicrobial, P(DMAEMA-co-EoS)-b-PHMG-b-P(DMAEMA-co-EoS), noted as PEoS-PHMG. It could efficiently kill broad-spectrum bacteria by physical damage and photodynamic therapy. Compared with PHMG, the bacterial inhibition of PEoS-PHMG was potentiated after the functionalization. Furthermore, PEoS-PHMG exhibited low cytotoxicity and minimal hemolysis, which was demonstrated by cell viability assays toward LO2 cells and RAW 264.7 cells as well as hemolytic assays against red blood cells. These results confirmed that the resultant PEoS-PHMG could act as promising alternative antibacterial materials with excellent broad-spectrum bacterial inhibition and favorable biocompatibility.
  • Lifen Wang, Jiajia Song, Xiaofei Wang, Honglan Qi, Qiang Gao, Chengxiao Zhang
    中国化学快报. 2020, 31(09): 2520-2524. https://doi.org/10.1016/j.cclet.2020.06.032
    摘要 ( ) PDF全文 ( ) HTML 可视化 收藏
    A highly sensitive electrochemiluminescence (ECL) biosensing method was developed for monitoring casein kinase II (CK2) at subcellular level via bio-bar-code assay. A bio-bar-code probe (h-DNA/AuNPs/pDNA) prepared by conjugating phosphorylated DNA (p-DNA) and hairpin DNA (h-DNA) onto gold nanoparticles (AuNPs) was used as a carrier for ECL signal reagent (Ru(phen)32+) while a specific peptide was used as a recognition substance. A gold ultramicroelectrode with a diameter of 400 nm was fabricated and then modified with the specific peptide via self-assembly technique to obtain peptide modified gold ultramicroelectrode. The peptide on gold ultramicroelectrode was phosphorylated in the presence of CK2 and adenosine 5'-triphosphate, and then the phosphorylated peptide was integrated with the h-DNA/AuNPs/p-DNA through a process mediated by zirconium cations (Zr4+), and finally Ru(phen)32+ was intercalated into h-DNA. A “signal on” ECL method was developed for the detection of CK2 in the range of 0.005-0.2 U/mL with a detection limit of 0.001 U/mL. Additionally, combined efficient subcellular phosphorylation in vivo with bio-bar-code-based ECL biosensing method, the ECL method was further applied to monitor CK2 at subcellular level without tedious subcellular fractionation. It was found that the concentration of CK2 by inserting the peptide modified gold ultramicroelectrode into the nucleus was higher than that into cytoplasm of HeLa cells. A distinct heterogeneity among CK2 concentrations in single cells was observed for cellular heterogeneity assessment.