本期目录

2020年, 第31卷, 第05期 刊出日期:2020-05-22
  

  • 全选
    |
    综述
  • Yi Cheng, Dengfeng Li, Xin Pang, Gang Liu
    中国化学快报. 2020, 31(05): 1049-1050. https://doi.org/10.1016/j.cclet.2019.09.032
    摘要 ( ) PDF全文 ( ) HTML 可视化 收藏
    Infectious diseases have always been a major cause of mobility and mortality, early and accurate diagnosis is important for their management. However, current clinical diagnosis for bacterial infection still remains troublesome. Recently, many attempts on molecular imaging have been made for prompt bacteria detection, especially for early and precise disease diagnosis. Among them, maltohexaose-based probes serve as a superb candidate due to the bacteria-specific maltodextrin transport pathway. These probes can visualize bacterial foci with unparalleled sensitivity and specificity. Such metabolism-based targeting strategy offers a powerful delivery platform for imaging and theranostic agents, providing good translational potential for developing antibacterial agents.
  • 评论
  • Qiwen Zhu, Madiha Saeed, Rundi Song, Tao Sun, Chen Jiang, Haijun Yu
    中国化学快报. 2020, 31(05): 1051-1059. https://doi.org/10.1016/j.cclet.2019.12.002
    摘要 ( ) PDF全文 ( ) HTML 可视化 收藏
    Drug delivery systems (DDSs) are of paramount importance to deliver drugs at the intended targets, e.g., tumor cells or tissue by prolonging blood circulation and optimizing the pharmaceutical profiles. However, the therapeutic efficacy of DDSs is severely impaired by insufficient or non-specific drug release. Dynamic chemical bonds having stimuli-liable properties are therefore introduced into DDSs for regulating the drug release kinetics. This review summarizes the recent advances of dynamic covalent chemistry in the DDSs for improving cancer therapy. The review discusses the constitutions of the major classes of dynamic covalent bonds, and the respective applications in the tumor-targeted DDSs which are based on the different responsive mechanisms, including acid-activatable and reduction-activatable. Furthermore, the review also discusses combination strategies of dual dynamic covalent bonds which can response to the complex tumor microenvironment much more accurately, and then summarizes and analyzes the prospects for the application of dynamic covalent chemistry in DDSs.
  • Shu Zhang, Xibo Pei, Huile Gao, Song Chen, Jian Wang
    中国化学快报. 2020, 31(05): 1060-1070. https://doi.org/10.1016/j.cclet.2019.11.036
    摘要 ( ) PDF全文 ( ) HTML 可视化 收藏
    In the past decade, nanoscale metal-organic frameworks (nMOFs) have drawn a great attention due to their high porosity, wide range of pore shapes, tunable frameworks and relatively low toxic. With the development of nanotechnology, many researchers studied the synthesis, characterization, functionalization and biotoxicity of nMOFs, and a more thorough understanding was developed about numerous nMOFs as promising platforms for biomedical applications. This review highlights the up-to-date progress of nMOFs related to their bio-applications such as drug delivery, bioimaging, biosensing and biocatalysis, and the common surface modification methods were classified into four categories:covalent post-synthetically modification, coordinative post-synthetically modification, noncovalent postsynthetically modification and modification on the external surface. At the same time, the challenges and perspectives of nMOFs were discussed as well.
  • Keiichi Tomishige, Yoshinao Nakagawa, Masazumi Tamura
    中国化学快报. 2020, 31(05): 1071-1077. https://doi.org/10.1016/j.cclet.2019.07.014
    摘要 ( ) PDF全文 ( ) HTML 可视化 收藏
    Rhenium is one of important components for heterogeneous catalysts, which has been recently used for the catalytic reactions related to the production of biomass-derived chemicals such as deoxydehydration of vicinal OH groups, C-O hydrogenolysis, and hydrogenation of carboxylic acids, and so on. Suitable oxidation state of Re as a catalytic active species is strongly dependent on the catalytic reactions. The control of the oxidation state of Re species on the catalysts is crucial on the catalyst development.
  • Chao Chen, Yitao Cao, Xixi Wu, Yuanli Cai, Jian Liu, Lin Xu, Kehong Ding, Lei Yu
    中国化学快报. 2020, 31(05): 1078-1082. https://doi.org/10.1016/j.cclet.2019.12.019
    摘要 ( ) PDF全文 ( ) HTML 可视化 收藏
    Herein we wish to propose the concept of "element-transfer reaction", which may afford the access to elemental compounds by transferring certain elements from easily available resources efficiently, concisely and precisely. A good element-transfer reaction with industrial application potential shall not generate waste and is performed under energy-saving and environment-friendly conditions. During the past decade, we have developed a series of methods for the synthesis of fluorine-and seleniumcontaining compounds via the fluorine-and selenium-transfer reactions, while the redox reactions were considered to be the oxygen-and hydrogen-transfer reactions as well and were also widely studied by our group for producing the high-value-added fine chemicals. Some of these technologies have been successfully industrialized. This review summarizes our staged research results on fluorine-, oxygen-, hydrogen-and selenium-transfer reactions and makes a prospect on the developing trend in the field.
  • 通信
  • Hailiang Zhang, Pengfei Xu, Xintong Zhang, Xiaozheng Cao, Wenxiu Han, Meihui Liu, Xiaohui Liu, Wenbin Zeng
    中国化学快报. 2020, 31(05): 1083-1086. https://doi.org/10.1016/j.cclet.2019.10.005
    摘要 ( ) PDF全文 ( ) HTML 可视化 收藏
    Au or other metal nanostructures have the ability to strongly quench the fluorescence of fluorophores. This feature has made AuNP-conjugates attractive for the construction of platforms for various bioanalytes to overcome the limitations of small molecule fluorophores (poor solubility, long reaction time). In this paper, an ultrafast "Turn-On" fluorescent sensor for biothiols was constructed. The sensor is based on the fluorescent resonance energy transfer (FRET) effect between the fluorophore (PN) and AuNPs, which effectively quenches the fluorescence of the fluorophore. In the presence of thiols, PN is displaced and released from AuNP surfaces, and thus, the fluorescence is rapidly restored. The sensor features appreciable water solubility and ultrafast response time (a few seconds for Cys). In addition, it exhibits high selectivity and a detection limit as low as 12 nmol/L for Hcy. Moreover, the sensor presents good biocompatibility and has been successfully applied for imaging biothiols in living cells.
  • Kaijie Wang, Qing Kong, Xiaoqiang Chen, Juyoung Yoon, K. M. K. Swamy, Fang Wang
    中国化学快报. 2020, 31(05): 1087-1090. https://doi.org/10.1016/j.cclet.2019.11.013
    摘要 ( ) PDF全文 ( ) HTML 可视化 收藏
    A new simple bifunctional chemosensor 1 based on rhodamine was synthesized by hydrazide and formylformic acid, which could detect Cu2+ and Hg2+ via different detecting methods in CH3CN-HEPES buffer solution (20 mmol/L, pH 7.4) (1:9, v/v) respectively. When sensor 1 bound with Cu2+, it showed a colorimetric change, while a selective enhancement in fluorescence occurred upon 1 binding with Hg2+, resulting from the spirolatam-ring opening process. The binding modes of 1 with Cu2+ and Hg2+ were investigated based on UV, fluorescence change, ESI-Mass and Job's Plot data. Moreover, sensor 1 could selectively detect target ion in a mixed solution of Cu2+ and Hg2+, and the two metal ions do not interfere with each other in the process of detecting Cu2+ or Hg2+ with 1.
  • Yu Yan, Xiaodong Zhang, Xinfu Zhang, Ning Li, Huizi Man, Lingcheng Chen, Yi Xiao
    中国化学快报. 2020, 31(05): 1091-1094. https://doi.org/10.1016/j.cclet.2019.10.025
    摘要 ( ) PDF全文 ( ) HTML 可视化 收藏
    Inflammation, as the pathophysiological response of body to harmful stimuli, leads to changes in cellular microenvironment. To research pH changes in lysosomes of macrophages during inflammation, we designed a FRET (Förster resonance energy transfer) based probe, BDP-RhB. The probe showed good lysosome targeting ability, wide response range of pH from 8.0 to 4.0 with significant ratio (I582/I518) change from 0.6 to 3.4, and good reversibility and sustainability. By applying BDP-RhB, we found a decrease of lysosomal pH of macrophages during inflammation.
  • Dandan Yang, Yuanyuan Sun, Fu Chang, Hui Tian, Chenghui Liu, Zhengping Li
    中国化学快报. 2020, 31(05): 1095-1098. https://doi.org/10.1016/j.cclet.2019.09.015
    摘要 ( ) PDF全文 ( ) HTML 可视化 收藏
    Accurate quantitation of site-specific mRNA mutation in single cells or in peripheral blood is of great significance for both biological and biomedical studies. How to eliminate the false-positive interference from the abundant normal mRNA is still a big challenge. Herein, we have proposed an LNA (locked nucleic acid)-assisted high-specificity strategy which can selectively guide the RNase H to cleave only the wildtype mRNA (wtRNA) while the mutant mRNA (mutRNA) will remain intact. The intact mutRNA can be amplified and detected by real-time reverse transcription (RT)-PCR but the disconnected wtRNA will be not replicated at all. Based on the highly selective depletion of wtRNA, this elegant design effectively avoids the false-positive interference from the high background of normal mRNA and thus can guarantee the accurate and reliable detection of rare mutRNA in real biomedical samples. Besides for the excellent specificity, ultrahigh sensitivity is also achieved for this proposed assay, which allows the quantification of mutRNA at single molecule and single cell level. Due to its easy design, high sensitivity and specificity, the established LNA probe-assisted RT-PCR strategy provides a powerful tool for studying the function of mutRNA at the single cell level and for the mutRNA-associated liquid biopsy.
  • Jiajie Li, Tianjun Ni, Haiquan Liu, Long Wu, Yingjie Pan, Yong Zhao, Yongheng Zhu
    中国化学快报. 2020, 31(05): 1099-1103. https://doi.org/10.1016/j.cclet.2019.11.005
    摘要 ( ) PDF全文 ( ) HTML 可视化 收藏
    Rapid and simultaneous in situ detection of multi-components is extremely crucial for the real-time monitoring of nutrients in fruits. Herein, a facile and user-friendly poly(carboxybetaine methacrylate)-coated paper-based microfluidic device (pCBMA-μPAD) has been exploited to synchronously identify and semi-quantify vitamin C, glucose, sucrose and fructose in fruits. The pCBMA was successfully grafted from the surface of paper sensor using a convenient and robust method, which was confirmed by Fourier transform infrared spectroscopy (FT-IR) and X-ray photoelectron spectrometry (XPS). The superior hydrophilicity and ultra-low fouling of pCBMA endowed the pCBMA-mPAD with remarkably rapid response (3 min), high sensitivity, good linear relationship and low detection limit (LOD) (vitamin C:y=33.809 + 5.175x, R2=0.993, LOD=0.179 mmol/L; glucose:y=-0.113 + 30.066lg(x), R2=0.988, LOD=0.095 mmol/L; sucrose:y=-5.334 + 34.858lg(x), R2=0.996, LOD=0.097 mmol/L; fructose:y=4.996 + 23.325lg(x), R2=0.994, LOD=0.140 mmol/L). Furthermore, satisfactory results were yielded in the detection of these nutrients in 9 fruits, which were much agreed well with those obtained by spectrophotometry. Such a portable and versatile pCBMA-mPAD will profoundly shape the future of food analysis, especially for the assessment of food quality and nutrition in the process of agricultural production and marketing.
  • Shaokang Jia, Shixi Yang, Huimin Ji, Shuang Peng, Kun Chen, Zhiyong He, Xiang Zhou
    中国化学快报. 2020, 31(05): 1104-1108. https://doi.org/10.1016/j.cclet.2019.10.021
    摘要 ( ) PDF全文 ( ) HTML 可视化 收藏
    Bioorthogonal cleavage and ligation reactions together form one more integrated system about the repertoire of bioorthogonal chemistry, capacitating an array of thrilling new biological applications. The bond-cleavage type and position of biomolecular remain a great challenge, which determines the metabolic pathway of the targets in living systems. Herein we designed two linkages of methylene and carbonyl group attached the N-3 position of the 5-ethynyl-2'-deoxyuridine (EdU) base or the oxygen atom at deoxyribose 3' position to a photocaging group, which would be cleaved by irradiation with 365 nm ultraviolet light. EdU derivatives linked by methylene at the N-3 position had better photodecage efficiency and stability in the absence of light. This paper provides a strategy for studying the nucleoside metabolic pathways in cells, which can easily and conveniently evaluate the effect of the position and type of the linkages. The developed strategy affords a reference for controlling spatial and temporal metabolism of small-molecule drugs, allowing direct manipulation of intact cells under physiological conditions.
  • Jing Zheng, Dandan Song, Hong Chen, Jingli Xu, Njud S. Alharbi, Tasawar Hayat, Min Zhang
    中国化学快报. 2020, 31(05): 1109-1113. https://doi.org/10.1016/j.cclet.2019.09.037
    摘要 ( ) PDF全文 ( ) HTML 可视化 收藏
    The exploitation of multifunctional nanocomposites is highly desired in environmental monitoring, biosensors, and medical diagnosis. In this paper, a simple approach has been proposed to fabricate MoS2 decorated N-doped carbon nanotubes (NCNTs@MoS2) hybrid composites as efficient peroxidase-like mimics. The combination of the MoS2 and N-doped carbon nanotubes (NCNTs) brings about an enhanced synergistic effect, leading to remarkably decent intrinsic peroxidase-mimic activities than that of the single components. Due to the high catalytic efficiency of the resultant NCNTs@MoS2 hybrid nanotubes as peroxidase-like mimics, a convenient colorimetric approach for the sensitive determination of H2O2 and ascorbic acid have been developed with a detection limit of about 0.14 μmol/L and 0.12 μmol/L, respectively. The work offers a new strategy for the fabrication of peroxidase-like nanomaterials with excellent catalytic activity, which indicates great promising applications in sensitive detections in real samples.
  • Fanpeng Duanmu, Zhurui Shen, Qian Liu, Shuhui Zhong, Huiming Ji
    中国化学快报. 2020, 31(05): 1114-1118. https://doi.org/10.1016/j.cclet.2019.07.032
    摘要 ( ) PDF全文 ( ) HTML 可视化 收藏
    Herein, a WO3-CuWO4 nanostructured heterojunction was prepared by a facile two-step hydrothermal method. It is composed of a WO3 square microplate and CuWO4 nanoparticles. Then, the gas sensing properties were investigated under optimal operating temperature (120 ℃). The WO3-CuWO4 heterostructure shows good sensing performance towards n-butanol, with a response value up to 9.4 to towards 30 ppm n-butanol, and the response value is about 3 times higher than that of pristine WO3. Its detection limit for n-butanol is 0.1 ppm, which indicates a potential application in lower concentration detection. Moreover, the response time of WO3-CuWO4 nanostructured heterojunction and the pristine WO3 are 21 s and 240 s respectively, revealing that there is a faster gas sensing process in the heterostructure. A possible sensing mechanism was then proposed on the basis of experimental data and band structure analysis. The significant enhancement of WO3-CuWO4 heterostructure could be attributed to the formation of heterojunction, which brings electronic sensitization and electron transport pathway modulation. The work offered a kind of novel and cost-effective sensing materials, and inspired more novel devices based on nanostructured heterojunction mechanism.
  • Changyao Wang, Yuhui Li, Pengpeng Qiu, Linlin Duan, Wei Bi, Yan Chen, Dingyi Guo, Yupu Liu, Wei Luo, Yonghui Deng
    中国化学快报. 2020, 31(05): 1119-1123. https://doi.org/10.1016/j.cclet.2019.08.042
    摘要 ( ) PDF全文 ( ) HTML 可视化 收藏
    Mesoporous semiconducting metal oxides (SMOs) heterojunctions are appealing sensors for gas detecting. However, due to the different hydrolysis and condensation mechanism of every metal precursor and the contradiction between high crystallinity and high surface area, the synthesis of mesoporous SMOs heterojunctions with highly ordered mesostructures, highly crystallized frameworks, and high surface area remains a huge challenge. In this work, we develop a novel "acid-base pair" adjusted solvent evaporation induced self-assembly (EISA) strategy to prepare highly crystallized ordered mesoporous TiO2/WO3 (OM-TiO2/WO3) heterojunctions. The WCl6 and titanium isopropoxide (TIPO) are used as the precursors, respectively, which function as the "acid-base pair", enabling the coassembly with the structure directing agent (PEO-b-PS) into highly ordered mesostructures. In addition, PEO-b-PS can be converted to rigid carbon which can protect the mesostructures from collapse during the crystallization process. The resultant OM-TiO2/WO3 heterojunctions possess primitive cubic mesostructures, large pore size (~21.1 nm), highly crystalline frameworks and surface area (~98 m2/g). As a sensor for acetone, the obtained OM-TiO2/WO3 show excellent response/recovery performance (3 s/5 s), good linear dependence, repeatability, selectivity, and long-term stability (35 days).
  • Xiaoyu Lin, Jing Wang, Zengyong Chu, Dongqing Liu, Taotao Guo, Lingni Yang, Zhenyu Huang, Sitong Mu, Shun Li
    中国化学快报. 2020, 31(05): 1124-1128. https://doi.org/10.1016/j.cclet.2019.07.003
    摘要 ( ) PDF全文 ( ) HTML 可视化 收藏
    In this study, flower-like MoS2 constructed by nanosheets was synthesized by a simple hydrothermal method. The hydrothermal process was optimized and the effects of hydrothermal condition, including reaction temperature, reaction time and the ratio of Mo source to S source (Mo:S) in precursor, on microwave absorption performances and dielectric properties were investigated. Our results showed that when the reaction temperature was 180 ℃, the reaction time was 18 h, and the Mo:S was 1:3.5, the synthesized MoS2 had the best performance:Its minimum reflection loss could reach -55.78 dB, and the corresponding matching thickness was 2.30 mm with a wide effective bandwidth of 5.17 GHz. Further researches on the microwave absorption mechanism revealed that in addition to the destructive interference of electromagnetic waves, various polarization phenomena such as defect dipole polarization were the main reasons for microwave loss. We believe that MoS2 is a candidate for a practical microwave absorbent.
  • Tianhui Zhang, Jiuxu Yao, Jiamei Tian, Mingxiao Deng, Xiuli Zhuang, Chunsheng Xiao
    中国化学快报. 2020, 31(05): 1129-1132. https://doi.org/10.1016/j.cclet.2019.07.010
    摘要 ( ) PDF全文 ( ) HTML 可视化 收藏
    Stimuli-responsive polypeptides have been intensively investigated for controlled drug release, owing to their favorable biocompatibility and biodegradability. In this work, we designed and synthesized a new kind of polypeptide bearing 1,4-dithiane pendants for reactive oxygen species (ROS)-responsive drug release. The polypeptide-based block copolymer was facilely synthesized by ring-opening polymerization (ROP) of 1,4-dithian-substituted L-glutamate N-carboxyanhydride (DTG-NCA) monomer using an amino-terminated poly(ethylene glycol) methyl ether (mPEG-NH2) as the macromolecular initiator. The resultant block copolymer, mPEG-b-PDTG, could self-assemble into uniform micelles in aqueous medium owing to its amphiphilic structure. Then, the H2O2-triggered oxidation behaviors of the mPEG-b-PDTG micelles were studied by dynamic light scattering (DLS), FT-IR and turbidimetric assay. It was revealed that the oxidation of thioether into sulfoxide in the side chains would result in disassembly of the micelles. Furthermore, the ROS-responsive drug release behavior of the mPEG-b-PDTG micelles was verified by using Nile Red as a model drug. MTT assay also proved that mPEG-b-PDTG was non-toxic in B16F10 and L929 cells. Therefore, such a new class of oxidation-responsive polypeptide might provide a promising platform for ROS-responsive drug delivery.
  • Ao Liu, Mengmeng Li, Jingxiang Wang, Fan Feng, Yu Zhang, Zhiwei Qiu, Yuzhu Chen, Benjamin Edem Meteku, Congying Wen, Zifeng Yan, Jingbin Zeng
    中国化学快报. 2020, 31(05): 1133-1136. https://doi.org/10.1016/j.cclet.2019.10.011
    摘要 ( ) PDF全文 ( ) HTML 可视化 收藏
    Due to the serious harm of diabetes to human health, development of sensitive assays for glucose level is of high significance for early prevention and treatment of diabetes. Currently, most conventional enzyme-based glucose sensors suffer from high cost and low stability due to the inherent defects of natural enzymes. Herein, we develop a pure nanozyme-based glucose detection method using Ag@Au core/shell triangular nanoplates (TNPs), which combines glucose oxidase (GOD)-and horseradish peroxidase (HRP)-like activities of the Au shell and inherent plasmonic properties of Ag TNPs. The sensing mechanism is based on the fact that the Au shell possessed GOD-like activity, enabling the oxidation of glucose to produce H2O2, which can further etch the silver core, leading to the decrease of absorbance at 800 nm and the color change from blue to colorless. Compared with the previous nanozymes-based glucose sensors, our method avoids the use of enzymes and organic chromogenic agent. Moreover, the stability of the Ag@Au core/shell TNPs is much better than that of Ag TNPs due to the protection by the coating of the Au shell. This method was successfully applied to the detection of urine samples from patients with diabetes, indicating its practical applicability for real sample analysis.
  • Young-Youb Kim, Yongbin Bang, Dayoung Lee, Mingyu Kang, Yoon-Kyu Song
    中国化学快报. 2020, 31(05): 1137-1140. https://doi.org/10.1016/j.cclet.2019.07.008
    摘要 ( ) PDF全文 ( ) HTML 可视化 收藏
    Here, we use two important biomaterials, protein and DNA, to construct self-assembled linear nanostructures through Watson-Crick base-paring of DNAs. We apply a simple magnetic separation method to purify traptavidin-DNA conjugates, and demonstrate synthesis of linear arrays of traptavidinDNA conjugates via the step-growth polymerization approach with pre-determined DNA sequences. Using the traptavidin-DNA array as a template, we assemble gold nanoparticles to form linear plasmonic nanostructures in a programmable manner. The traptavidin-DNA conjugates thus provide a convenient platform for one-dimensional assembly of biotinylated nanomaterials for many biomedical applications from drug delivery to bio-sensing.
  • Ximing Pu, Xingxing Zhou, Zhongbing Huang, Guangfu Yin, Xianchun Chen
    中国化学快报. 2020, 31(05): 1141-1146. https://doi.org/10.1016/j.cclet.2019.07.002
    摘要 ( ) PDF全文 ( ) HTML 可视化 收藏
    Non-nerve cell-derived extracellular matrix (ECM) was coated on the aligned porous polypyrrole-poly(L-lactide) (PPy-PLLA) fiber-films with the conductivity of ~12 mS/m via L929 cells culture and lysing, resulting in~10% increase of PC12 cells attachment and 26 μm increase of neurites length. The neurite length of ~149 μm in EGF/NGF group (optimal concentration radio of 12.5/50 (ng/mL)) on aligned and ECM-conjugated fiber-films was significantly larger than ~94 μm in only NGF group (50 ng/mL), confirming the synergy of EGF, NGF and aligned ECM-conjuaged PPy-PLLA fibers. When differentiated PC12 cells were exerted electrical stimulation (ES) of 100 mV/cm for 4 h/day in 2 day through ECM-PPyPLLA fiber-films, their neurite length reached to ~251 μm, significantly larger than~149 μm of group without ES, due to the higer expression of related neural proteins in ES group. A simple mechanism was proposed to analyze synergistical effect of ECM, EGF, NGF on axons adhesion and elongation along the aligned ECM-coated fibers under ES condition.
  • Shengnan Zhao, Jinhua Li, Fazhan Wang, Ting Yu, Yang Zhou, Lili He, Yi Zhang, Jian Yang
    中国化学快报. 2020, 31(05): 1147-1152. https://doi.org/10.1016/j.cclet.2019.07.009
    摘要 ( ) PDF全文 ( ) HTML 可视化 收藏
    The rigidity of nanoparticles was newly reported to influence their oral delivery. Semi-elastic nanoparticles can enhance the penetration in mucus and uptake by epithelial cells. However, it is still challenging and unclear that the semi-elastic core-shell nanoparticles can enhance the oral bioavailability of peptide drugs. This study was for the first time to validate the semi-elastic coreshell poly(lactic-co-glycolic acid) (PLGA)-lipid nanoparticles (LNPs) as the carrier of the oral peptide drug. The antihypertensive peptide Val-Leu-Pro-Val-Pro (VP5) loaded LNPs (VP5-LNPs) were prepared by a modified thin-film ultrasonic dispersion method. Uptake experiment was performed in Caco-2 and HT-29 cells and monitored by high content screening (HCS) and flow cytometric (FCM). Pharmacokinetics of VP5-LNPs was carried out in Sprague-Dawley (SD) rats and analyzed by DAS 2.0. The optimal VP5-LNPs had an average particle size of 247.3 3.8 nm, zeta potential of 6.57 0.45 mV and excellent entrapment efficiency (EE) of 89.88% 1.23%. Transmission electron microscope (TEM) and Differential scanning calorimeter (DSC) further confirmed the core-shell structure. VP5-LNPs could increase the cellular uptake in vitro and have a 2.55-fold increase in AUC0-72 h, indicating a great promotion of the oral bioavailability. The semi-elastic LNPs remarkably improved the oral availability of peptide and could be a promising oral peptide delivery system for peptide drugs in the future.
  • Yuxuan Chen, Bowen Li, Xiaohong Chen, Min Wu, Yongtao Ji, Guping Tang, Yuan Ping
    中国化学快报. 2020, 31(05): 1153-1158. https://doi.org/10.1016/j.cclet.2019.06.022
    摘要 ( ) PDF全文 ( ) HTML 可视化 收藏
    We herein propose a co-delivery approach where small interference RNA (siRNA) and anticancer chemotherapeutic drug are simultaneously loaded into a single delivery carrier for the combined treatment of breast cancer and metastasis prevention. The co-delivery vector is composed of chondroitin sulfate (CS)-coated β-cyclodextrin-polyethylenemine polymer, which is capable of loading paclitaxel (PTX) and siRNA simultaneously to form therapeutic nanocomplexes. The nanocomplex, termed as CPPTX-siCD146-CS, is demonstrated to have strong active targeting ability towards CD44-overexpresing breast cancer cells. Moreover, the co-delivery of PTX and siRNA not only effectively inhibits cancer cells proliferation and induces apoptosis, but also well prevents metastasis. Importantly, CP-PTX-siCD146-CS nanocomplexes exhibit stronger cytotoxic effects and anti-metastatic effects on MBA-MD-231 breast cancer cells, in comparison with PTX or siCD146 mono-treatment. The current study defines a potential therapeutic strategy for the combined breast cancer treatment and metastasis prevention from a codelivery perspective.
  • Luyuan Tian, Yuxiao Ma, Ming Li, Qiaorong Tang, Luyang Miao, Bing Geng, He Li
    中国化学快报. 2020, 31(05): 1159-1161. https://doi.org/10.1016/j.cclet.2019.10.007
    摘要 ( ) PDF全文 ( ) HTML 可视化 收藏
    A friendly biomimetic process was adopted for the mild preparation of "all-inclusive" organic-inorganic nanospheres, which effectively integrate biorecognition function and signal amplification function. The resulted Ca3(PO4)2-Ab2-BSA nanospheres were employed as signal labels for enhancing detection of nuclear matrix protein 22 (NMP 22). The fabricated electrochemical immunosensor exhibited a linear range (0.08-77.00 U/mL) and an ultralow limit of detection (0.01 U/mL) towards NMP 22, which can be taken as a promising tool for clinical diagnosis of bladder cancer.
  • Liming Zeng, Zonglang Liao, Wenwei Li, Qijuan Yuan, Peng Wu, Zhipeng Gu, Zhongqiu Liu, Guochao Liao
    中国化学快报. 2020, 31(05): 1162-1164. https://doi.org/10.1016/j.cclet.2019.10.015
    摘要 ( ) PDF全文 ( ) HTML 可视化 收藏
    Herein, we firstly developed a non-covalent glycosylated gold nanoparticles/peptides nanovaccine which is assembled by β-cyclodextrin (β-CD) based host-guest recognitions. This nanovaccine can generate significant titers of antibodies and improve the therapeutic effect against melanoma, suggesting the immunogenicity of peptide antigens can be improved by loading with this carrier. The novel vaccine carrier provides a platform for the transport of various antigens especially T cell-independent antigens.
  • Wei Zhang, Qiming Kan, Lu Chen, Luyao Xie, Mingshu Cui, Ziyue Xi, Yanru Xi, Sanming Li, Lu Xu
    中国化学快报. 2020, 31(05): 1165-1167. https://doi.org/10.1016/j.cclet.2019.05.059
    摘要 ( ) PDF全文 ( ) HTML 可视化 收藏
    Core-shell structured mesoporous silica nanoparticles have been firstly synthesized with the new template from L-leucine methyl ester hydrochloride (H-Leu-OMe HCl). LMSNs were characterized by transmission electron microscopy (TEM), nitrogen adsorption/desorption, and small-angle X-ray diffraction (SAXRD), demonstrating a well-ordered mesostructure. After loading doxorubicin hydrochloride (Dox) into pores, considerable loading capacity of 30.5% and favorable cumulative release amount were obtained. MTT assay suggested that Dox-loaded LMSNs demonstrated great promise to anti-tumor. The use of MSNs with the synthesized template, as a drug delivery carrier, will extend the pharmaceutical applications of silica materials.
  • Kaili Ding, Cuixia Zheng, Lingling Sun, Xinxin Liu, Yanyan Yin, Lei Wang
    中国化学快报. 2020, 31(05): 1168-1172. https://doi.org/10.1016/j.cclet.2019.10.040
    摘要 ( ) PDF全文 ( ) HTML 可视化 收藏
    Near-infrared (NIR) light-triggered photothermal therapy (PTT) is a promising treatment strategy for treating cancer. The combination of nanotechnology and NIR has been widely applied. However, the therapeutic efficacy of the drug-delivery system depends on their ability to avoid phagocytosis of endothelial system, cross the biological barriers, prolong circulation life, localize and rapidly release the therapeutic at target sites. In this work, we designed a platelet membrane (PM)-camouflaged hollow mesoporous bismuth selenide nanoparticles (BS NPs) loading with indocyanine green (ICG) (PM@BS-ICG NPs) to achieve the above advantages. PM-coating has active tumor-targeting ability which could prevent drug leakage and provide drug long circulation, causing drug delivery systems to accumulate in tumor sites effectively. Moreover, as a type of the photothermal sensitizers, BS NPs are used as the inner cores to improve ICG stability and are served as scaffolds to enhance the hardness of this drug delivery system. For one hand, the thermal vibration of BS NPs under NIR laser irradiation causes tumor inhibition through hyperthermia. For another hand, this hyperthermia process could damage PM and let ICG rapid release from PM@BS-ICG NPs. The in vitro and in vivo results showed that this biomimetic nano-drug delivery system exhibits obvious antitumor activity which has good application prospect.
  • Jianhua Xie, Yao Lu, Baiqing Yu, Jun Wu, Jie Liu
    中国化学快报. 2020, 31(05): 1173-1177. https://doi.org/10.1016/j.cclet.2019.10.030
    摘要 ( ) PDF全文 ( ) HTML 可视化 收藏
    Nanomaterials as drug carriers hold promise for the treatment of carcinomas, but integrating multiple functions into a single vector is difficult. In this study, we aim to develop efficient materials as vectors for co-delivery of microRNA-122 (miR-122) and sorafenib (SRF). We successfully synthesized amphiphilic galactose-modified PEGylated poly(amino-co-ester) (Gal-PEG-PPMS) copolymers consisted of hydrophilic Gal-PEG5k chain segments and hydrophobic poly(ω-pentadecalactone-co-N-methyldiethyleneamine-co-sebacic acid) chain segments, which self-assembled to form cationic micelles at pH 5.2. The results showed that the micelles could encapsulate SRF and bind miR122 simultaneously, increase cellular uptake efficiency. Furthermore, the micelles showed favorable transfection efficiency in enhancing miR122 expression level, the migration and invasion ability of hepatocellular carcinoma (HCC) cells were significantly inhibited after being transfected with miR122-loaded micelles. Most importantly, the co-delivery micelles decreased cell activities of HepG2 cells, which was more effective than miR122 or SRF loaded micelles alone. Collectively, Gal-PEG-PPMS nanoparticles are promising multifunctional carriers for miR122 and SRF co-delivery system to treat HCC.
  • Pan Zheng, Yang Liu, Jinjin Chen, Weiguo Xu, Gao Li, Jianxun Ding
    中国化学快报. 2020, 31(05): 1178-1182. https://doi.org/10.1016/j.cclet.2019.12.001
    摘要 ( ) PDF全文 ( ) HTML 可视化 收藏
    Cancer therapy with nanoscale drug formulations has made significant progress in the past few decades. However, the selective accumulation and release of therapeutic agents in the lesion sites are still great challenges. To this end, we developed a cRGD-decorated pH-responsive polyion complex (PIC) micelle for intracellular targeted delivery of doxorubicin (DOX) to upregulate tumor inhibition and reduce toxicity. The PIC micelle was self-assembled via the electrostatic interaction between the positively charged cRGD-modified poly(ethylene glycol)-block-poly(L-lysine) and the anionic acid-sensitive 2,3-dimethylmaleic anhydride-modified doxorubicin (DAD). The decoration of cRGD enhanced the cell internalization of PIC micelle through the specific recognition of αvβ3 integrin on the membrane of tumor cells. The active DOX was released under intracellular acidic microenvironment after endocytosis following the decomposition of DAD. Moreover, the targeted PIC micelle exhibited enhanced inhibition efficacies toward hepatoma in vitro and in vivo compared with the insensitive controls. The smart multifunctional micelle provides a promising platform for target intracellular delivery of therapeutic agent in cancer therapy.
  • Chaojie Li, Yaping Wang, Yulin Lu, Jing Guo, Chengyi Zhu, Haozhe He, Xiaohui Duan, Mei Pan, Chengyong Su
    中国化学快报. 2020, 31(05): 1183-1187. https://doi.org/10.1016/j.cclet.2019.09.034
    摘要 ( ) PDF全文 ( ) HTML 可视化 收藏
    An Ir8Pd4-heteronuclear metal-organic cage (MOC-51) was assembled from bipodal metalloligand[Ir(ppy)2(qpy)(BF4)] (qpy=4,4':2',2":4",4"'-quaterpyridine; ppy=2-phenylpridine) with Pd(II) salt. The cubic barrel shaped MOC shows one-photon and two-photon excited deep-red emission, as well as large singlet oxygen quantum yields under visible light irradiation, therefore exhibiting great potentials in organelles-targeted cell imaging and photodynamic therapy (PDT). Compared with the Ir(III) metalloligand, the Ir8Pd4-MOC showed less dark toxicity and higher mitochondria-targeting efficiency. The localization in mitochondria overcomes the limitation of short lifetime and diffusion distance of ROS in cell, thus improved PDT effect can be obtained in low light dose usage of the MOC. This study presents the first case of Ir-based metal-organic cages for bio-applications in successful integration of imaging diagnosis and photodynamic therapy
  • Bowen Li, Xiang'an Song, Xi Jiang, Zhiyi Li, Fengyun Guo, Ying Wang, Liancheng Zhao, Yong Zhang
    中国化学快报. 2020, 31(05): 1188-1192. https://doi.org/10.1016/j.cclet.2019.06.033
    摘要 ( ) PDF全文 ( ) HTML 可视化 收藏
    Achieving stable deep blue organic light emitting diodes (OLEDs) with narrow full width at half maximum (FWHM) and color gamut in the range of the commission International de L'Eclairage (CIE) of y ≤ 0.10 is still challenging in display and lighting applications. In this investigation, three donor-acceptor (D-A) deep-blue emitters were designed and synthesized via integrating asymmetric quinazoline (PQ) acceptor with weak donating carbazole (Cz) donor. The effect of the position and number of Cz group in PQ unit are investigated, which is also first examples for systematic research about the effect of different position of asymmetric PQ as acceptor on deep OLEDs. Their bandgaps of 3.12~3.19 eV and the singlet state energy levels of 3.12~3.19 eV were found to be sufficiently large to achieve deep blue light. As expected, these emitters-based OLEDs exhibit deep blue emission with the maximum wavelength ≤ 450 nm and narrow FWHM ≈ 60 nm. Especially, a CIE of y=0.080 was achieved for 4PQ-Cz-based OLED. Significantly, the deep blue electroluminescence (EL) spectra of these three emitters-based OLEDs are very stable and the corresponding CIE coordinates deviation △CIE (x, y)) can be negligible under the applied voltage ranging from 5 V to 9 V.
  • Linan Li, Ying Gao, Chuandong Dou, Jun Liu
    中国化学快报. 2020, 31(05): 1193-1196. https://doi.org/10.1016/j.cclet.2019.11.018
    摘要 ( ) PDF全文 ( ) HTML 可视化 收藏
    For organnoboron compounds, the substituents on boron atoms are very important because they not only impact on the molecular stability but also significantly modulate the electronic structures and properties. In this manuscript, we synthesized two new B←N-containing azaacenes with propynyl groups on boron atoms through one-step Grignard reaction. Replacing fluorine atoms by propynyl groups greatly impacts on the electronic energy levels, especially enhancing the HOMO levels, thus leading to the narrowed HOMO-LUMO bandgaps. These B←N-containing azaacenes exhibit the NIR light-absorption (λabs=706 nm for 2a and 762 nm for 2b) and fluorescence properties (λem=740 nm for 2a and 802 nm for 2b), as well as multiple reversible redox behaviors, which are significantly different from the analogs with fluorine atoms. This study thus provides a functional substituent of boron atom, which may lead to new organoboron materials with fascinating properties.
  • Xiao-Yong Zhai, Xiao-Qing Wang, Yi-Xuan Ding, Yong-Gui Zhou
    中国化学快报. 2020, 31(05): 1197-1200. https://doi.org/10.1016/j.cclet.2019.07.017
    摘要 ( ) PDF全文 ( ) HTML 可视化 收藏
    Partially biobased polysilylethers (PSEs) are synthesized via dehydrocoupling polymerization catalyzed by an anionic iridium complex. Different types (AB type or AA and BB type) of monomers are suitable. Levulinic acid (LA) and succinic acid (SA) have been ranked within the top 10 chemicals derived from biomass. BB type monomers (diols) derived from LA and SA have been applied to the synthesis of PSEs. The polymerization reactions employ an air-stable anionic iridium complex bearing a functional bipyridonate ligand as catalyst. Moderate to high yields of polymers with number-average molecular weights (Mn) up to 4.38× 104 were obtained. A possible catalytic cycle via an Ir-H species is presented. Based on the results of kinetic experiments, apparent activation energy of polymerization in the temperature range of 0-10 ℃ is about 38.6 kJ/mol. The PSEs synthesized from AA and BB type monomers possess good thermal stability (T5=418 ℃ to 437 ℃) and low glass-transition temperature (Tg=-49.6 ℃).
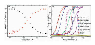
  • Muhammad Waqas, Patrick Mountapmbeme Kouotou, Achraf El Kasmi, Yu Wang, Zhen-Yu Tian
    中国化学快报. 2020, 31(05): 1201-1206. https://doi.org/10.1016/j.cclet.2019.06.042
    摘要 ( ) PDF全文 ( ) HTML 可视化 收藏
    The effective valuation of catalyst supports in the catalytic oxidation makes the contribution to understand the support effect of great interest. Here, the role of active substrate in the performance and stability of Cu-Fe-Co ternary oxides was studied towards the complete catalytic oxidation of CO. The Cu-Fe-Co oxide thin filmsweredepositedoncoppergridmesh(CUGM)usingone-steppulsed-sprayevaporationchemicalvapor deposition method. Crystalline structure and morphology analyses revealed nano-crystallite sizes and dome-top-like morphology. Synergistic effects between Cu, Fe and Co, which affect the surface Cu2+, Fe3+, Co3+ and chemisorbed oxygen species (O2- and OH-) of thin films over the active support and thus result in better reducibility. The thin film catalysts supported on CUGM exhibited attractive catalytic activity compared to the ternary oxides supported on inert grid mesh at a high gas hourly space velocity. Moreover, the stability in time-on-stream of the ternary oxides on CUGM was evaluated in the CO oxidation for 30 h. TheadopteddepositionstrategyofternaryoxidesonCUGMpresentsanexcessiveamountofadsorbedactive oxygen species that play an important role in the complete CO oxidation. The catalysts supported on CUGM showed better catalytic conversion than that on inert grid mesh and some literature-reported noble metal oxidesaswellastransitionmetaloxidescounterparts,revealingthebeneficialeffectoftheCUGMsupport in the improvement of the catalytic performance.
  • Libing Hu, Feng Yu, Fu Wang, Shengchao Yang, Banghua Peng, Long Chen, Gang Wang, Juan Hou, Bin Dai, Zhi-Qun Tian
    中国化学快报. 2020, 31(05): 1207-1212. https://doi.org/10.1016/j.cclet.2019.06.041
    摘要 ( ) PDF全文 ( ) HTML 可视化 收藏
    Developing high efficiency and low cost electrocatalysts is critical for the enhancement of oxygen reduction reaction (ORR), which is the fundamental for the development and commercialization of renewable energy conversion technology. Herein, zinc-nitrogen-carbon (Zn-N-C) was prepared by using biomass resource chitosan via a facile carbon bath method. The obtained Zn-N-C delivered a high specific surface area (794.7 cm2 /g) together with pore volume (0.49 cm3 /g). During the electrochemical evaluation of oxygen reduction reaction (ORR), Zn-N-C displayed high activity for ORR with an onset potential E0=0.96 VRHE and a half wave potential E1/2=0.86 VRHE, which were more positive than those of the commercial 20 wt% Pt/C benchmark catalyst (E0=0.96 VRHE and E1/2=0.81 VRHE). In addition, the ZnN-C catalyst also had a better stability and methanol tolerance than those of the Pt/C catalyst.
  • Zhaoxia Song, Wei Liu, Xiaofei Wei, Quan Zhou, Hongda Liu, Zheng Zhang, Guichang Liu, Zhongfu Zhao
    中国化学快报. 2020, 31(05): 1213-1216. https://doi.org/10.1016/j.cclet.2019.07.022
    摘要 ( ) PDF全文 ( ) HTML 可视化 收藏
    The widely accepted theory concerning the electrochemical energy storage mechanism of copper hexacyanoferrate (CuHCF) for supercapacitors is that CuHCF stores charge by the reversible redox processes of Fe3+/Fe2+ couple and Cu cations are electrochemically inactive. In this work, CuHCF nanocubes (CuHCF-NC) were synthesized in the presence of potassium citrate and its electrochemical properties were tentatively studied in 1 mol/L Na2SO4 aqueous electrolyte. Good supercapacitive performance was exhibited. The combined analyses of cyclic voltammogram (CV) and X-ray photoelectron spectroscopy (XPS) disclosed that the CuHCF nanocubes underwent the redox reactions of Fe3+/Fe2+ and Cu2+/Cu+ couples to store charges. The Cu2+/Cu+ redox couple was activated due to the strong coordination interaction between the carboxylate groups of citrate ions and surface Cu cations.
  • Manshu Zhang, Renjie Liu, Zekun Wang, Xiyuan Xing, Yangai Liu, Bingbing Deng, Tao Yang
    中国化学快报. 2020, 31(05): 1217-1220. https://doi.org/10.1016/j.cclet.2019.07.055
    摘要 ( ) PDF全文 ( ) HTML 可视化 收藏
    Because of their high capacity and low potential, lithium metal anodes are considered to be promising candidates for next generation electrode materials. However, the safety concerns and limited cycling life associated with uncontrollable dendrite growth hamper practical applications. In this work, the acidified cellulose ester, which is a mixed fiber microporous membrane film, was used as a novel electrolyte additive that effectively improves the cycle stability of the lithium metal anode and inhibits dendrite growth. The focus of this paper is on inhibiting the formation and growth of lithium dendrites. The coulombic efficiency of a Li|Cu battery with this acidified cellulose ester additive remains stable at 99% after 500 cycles under a current density of 1 mA/cm2 . Symmetric batteries also remain stable after 500 cycles (1000 h) under a current density of 1 mA/cm2 . These superior properties can be ascribed to the induced nucleation and the uniform distribution of lithium ion flux. This study uncovers an approach for effectively enabling stable cycling of dendrite-free lithium metal anodes.
  • Na Zhang, Xin Li, Tianyi Hou, Jinze Guo, Anran Fan, Shibo Jin, Xiaohong Sun, Shu Cai, Chunming Zheng
    中国化学快报. 2020, 31(05): 1221-1225. https://doi.org/10.1016/j.cclet.2019.09.050
    摘要 ( ) PDF全文 ( ) HTML 可视化 收藏
    MnS as anode material for sodium-ion batteries (SIBs) has recently attracted great attention because of the high theoretical capacity, great natural abundance, and low cost. However, it suffers from inferior electrical conductivity and large volume expansion during the charge/discharge process, leading to tremendous damage of electrodes and subsequently fast capacity fading. To mitigate these issues, herein, a three-dimensional (3D) interlaced carbon nanotubes (CNTs) threaded into or between MnS hollow microspheres (hollow MnS/CNTs composite) has been designed and synthesized as an enhanced anode material. It can effectively improve the electrical conductivity, buffer the volume change, and maintain the integrity of the electrode during the charging and discharging process based on the synergistic interaction and the integrative structure. Therefore, when evaluated as anode for SIBs, the hollow MnS/CNTs electrode displays enhanced reversible capacity (275 mAh/g at 100 mA/g after 100 cycles), which is much better than that of pure MnS electrode (25 mAh/g at 100 mA/g after 100 cycles) prepared without the addition of CNTs. Even increasing the current density to 500 mA/g, the hollow MnS/CNTs electrode still delivers a five times higher reversible capacity than that of the pure MnS electrode. The rate performance of the hollow MnS/CNTs electrode is also superior to that of pure MnS electrode at various current densities from 50 mA/g to 1000 mA/g.
  • Ziyang Zhou, Ling Miao, Hui Duan, Zhiwei Wang, Yaokang Lv, Wei Xiong, Dazhang Zhu, Liangchun Li, Mingxian Liu, Lihua Gan
    中国化学快报. 2020, 31(05): 1226-1230. https://doi.org/10.1016/j.cclet.2020.02.026
    摘要 ( ) PDF全文 ( ) HTML 可视化 收藏
    Highly active N, O-doped hierarchical porous carbons (NOCs) are fabricated through the in-situ polymerization and pyrolysis of o-tolidine and p-benzoquinone. As-prepared NOCs have a variety of faradaic-active species (N-6, N-5 and O-I), high ion-accessible platform (1799 m2 /g) and hierarchically micro-meso-macro porous architecture. Consequently, the resultant NOC electrode delivers an advantageous specific capacitance (311 F/g), with a pseudocapacitive contribution of 37% in a threeelectrode configuration, and an enhanced energy output of 18.0 Wh/kg@350 W/kg owing to the enlarged faradaic effect in an aqueous redox-active cell. Besides, a competitive energy density (74.9 Wh/kg) and high-potential durability (87.8%) are achieved in an ionic liquid (EMIMBF4)-assembled device. This study sheds light on a straightforward avenue to optimize the faradaic activity and nanoarchitecture for advanced supercapacitors.
  • Hong Yao, Qi Zhou, Youming Zhang, Yinping Hu, Xiaotong Kan, Yanyan Chen, Guanfei Gong, Qinpeng Zhang, Taibao Wei, Qi Lin
    中国化学快报. 2020, 31(05): 1231-1234. https://doi.org/10.1016/j.cclet.2019.09.046
    摘要 ( ) PDF全文 ( ) HTML 可视化 收藏
    An ultrasensitive detection and effective removal material was successfully developed by using a pillar[n] arene-based supramolecular polymer gel (MTP5HB). The MTP5HB can ultrasensitively recognize Cu2+ and Fe3+, and the limits of detection (LODs) for Cu2+ and Fe3+ are 1.55 and 2.68 nmol/L, respectively. Additionally, the in-situ generated metallogel MTP5HB-Cu can exclusively detect CN-, and the LOD for CN- is 1.13 nmol/L. Noticeably, the xerogel of MTP5HB-Cu can effectively remove CN- from aqueous solution with 94.40% removal rate. Test kit based on MTP5HB-Cu is also prepared for convenient detection of CN-.
  • Qian Cheng, Shengke Li, Yanlong Ma, Hang Yin, Ruibing Wang
    中国化学快报. 2020, 31(05): 1235-1238. https://doi.org/10.1016/j.cclet.2019.10.020
    摘要 ( ) PDF全文 ( ) HTML 可视化 收藏
    A supramolecular dimer of doxorubicin (DOX) was constructed via ternary host-guest interactions between cucurbit[8]uril (CB[8]) and tryptophan modified DOX (DOX-Trp, connected with an acid-labile bond) and we demonstrate for the first time that a supramolecular dimer of DOX can be formed upon homo-dimerization by CB[8], which may act as a stimuli pH-responsive, supramolecular DOX dimer prodrug system. This supramolecular DOX dimer transported DOX efficiently and selectively to cancer cells, thereby exhibiting significantly minimized cytotoxicity against noncancerous cells while maintaining effective cytotoxicity against cancer cells. Under this strategy, many other anticancer drugs could be chemically modified and loaded as a dimeric "ammunition" into CB[8] as supramolecular dimer prodrug systems (or a "jet fighter") for improved cancer therapy.
  • Xin Liu, Kaiya Wang, Marlen Externbrink, Jochen Niemeyer, Michael Giese, Xiao-Yu Hu
    中国化学快报. 2020, 31(05): 1239-1242. https://doi.org/10.1016/j.cclet.2019.10.036
    摘要 ( ) PDF全文 ( ) HTML 可视化 收藏
    Peptide amphiphiles with well-organized secondary structure are an important family of molecules that are known to assemble into a variety of nanostructures. In this work, we present three guanidiniocarbonylpyrrole (GCP) containing peptide amphiphiles, which show versatile morphology and secondary structure changes as a result of different chain lengths and in different concentration regimes. The random coil conformation, α-helix, and β-sheet are obtained for peptide 1, peptide 2, and peptide 3, respectively under neutral aqueous conditions. Furthermore, all peptide amphiphiles can aggregate to form nanoparticles at low concentrations. However, at high concentrations, peptide 1 selfassembles into left-handed twisted helical fibers, while longer bamboo-like morphology can be observed exclusively for peptide 2. For peptide 3, freshly prepared samples show uniform spherical morphology, whereas an obvious morphological transition from original nanoparticles to disordered fibers was realized after incubating for one week. These fascinating morphology changes were determined by the combination of circular dichroism, dynamic light scattering, transmission electron microscopy, atomic force microscopy, and theoretical calculations.
  • Xiaofang Li, Kun Li, Dan Su, Fugang Shen, Shuying Huo, Hongbing Fu, Chuanlang Zhan
    中国化学快报. 2020, 31(05): 1243-1247. https://doi.org/10.1016/j.cclet.2019.10.029
    摘要 ( ) PDF全文 ( ) HTML 可视化 收藏
    In this study, we report a new small molecule acceptor (named TT-4F) which uses 3,6-dimethoxylthieno[3,2-b]thiophene (TT) as the π-bridge. Addition of 0.05 weight ratio amount of TT-4F into the host binary blend of PTB7-Th:IEICO-4F, resulting in a ternary blend in a weight ratio of 1:1:0.05, enables increased open-circuit voltage (Voc), short-circuit current-density (Jsc), and fill-factor (FF) at the same time. Finally, 12.1% efficiency is obtained. Compared to the 3-(2-ethylhexyloxylthiophene) bridge on IEICO-4F, the additional methoxyl group on the TT-6 position is involved in the lowest unoccupied molecular orbital (LUMO) and the larger π-system on TT increases the electron-donating nature, both of which help to raise the LUMO level, one reason of the increased Voc. Upon addition of 0.05 TT-4F, the hole mobility is increased, the monomolecular recombination is reduced, and the charge dissociation and collection is enhanced. All of these contribute to the increased Jsc and FF.
  • Chuan Li, Kailing Xu, Chuangjun Li, Jie Ma, Xiaoliang Wang, Dongming Zhang
    中国化学快报. 2020, 31(05): 1248-1250. https://doi.org/10.1016/j.cclet.2019.09.058
    摘要 ( ) PDF全文 ( ) HTML 可视化 收藏
    (±)-Magoilgomer A[(±)-1] and magoilgomer B (2) were identified from the bark of Magnolia officinalis var. biloba. (+)-1 and (-)-1 were a pair of novel biphenyl derivatives featuring three C6-C3 subunits. 2 was an unprecedented adduct containing magnolol and honokiol. These three oligomers possessed new parallel mode which should be biosynthesized from the coupling of three or four C6-C3 subunits. The structures of (±)-1 and 2 were elucidated based on the spectroscopic data analyses and electronic circular dichroism (ECD) calculations. 2 exhibited neuroprotective effects of oxygen glucose deprivation-induced SK-N-SH cell injury.
  • Xin Fang, Qiang Ma, Yi Feng, Shuang Liang
    中国化学快报. 2020, 31(05): 1251-1253. https://doi.org/10.1016/j.cclet.2019.12.012
    摘要 ( ) PDF全文 ( ) HTML 可视化 收藏
    (+)-6-3'a,7-6'-Isowallichilide and (-)-6-3'a,7-6'-isowallichilide, a pair of enantiomeric phthalide dimers featuring new 6-3'a,7-6' dimerization sites, were isolated from Ligusticum chuanxiong. The structures were elucidated by NMR spectroscopy and X-ray diffraction analysis. Furthermore, the absolute configurations were assigned using experimental and theoretical electronic circular dichroism methods. Their nitric oxide inhibition, antiplatelet aggregation and antioxidant activities were investigated.
  • Rui Guo, Tianming Lv, Fengying Han, Zilin Hou, Guodong Yao, Bin Lin, Xiaobo Wang, Xiaoxiao Huang, Shaojiang Song
    中国化学快报. 2020, 31(05): 1254-1258. https://doi.org/10.1016/j.cclet.2019.09.042
    摘要 ( ) PDF全文 ( ) HTML 可视化 收藏
    (±)-Crataegusnorin A (1a/1b) and B (2a/2b), two pairs of rare 8,9'-epoxy-type norlignan enantiomers featuring a γ-butyrolactone ring, were isolated from the fruit of Crataegus pinnatifida. Their structures were determined via extensive spectroscopic analyses. Gauge-independent atomic orbital (GIAO) NMR chemical shift calculations, combined with the advanced statistical method DP4+ were employed to establish the relative configurations of four compounds. Next, chiral separation was accomplished by chiral chromatographic column and the absolute configurations of the four compounds were unambiguously assigned by comparison between their experimental electronic circular dichroism curves with the quantum-mechanically calculated curves based on time-dependent density functional theory (TDDFT). All the isolates were evaluated for their neuroprotective activities against H2O2-induced cell injury in human neuroblastoma SH-SY5Y cells. The results showed that two pairs of enantiomers 1a/1b and 2a/2b displayed diff;erent effect on neuroprotective activity. Among them, compound 2a displayed the most potent neuroprotective effect. Further flow cytometry analysis indicated that 2a could protect SH-SY5Y cells from oxidative damage through inhibiting cell apoptosis.
  • Huaran Zhang, Lintao Xu, Xiaoqing Liu, Jiangjiang Fan, Xiaoning Wang, Tao Shen, Shuqi Wang, Dongmei Ren
    中国化学快报. 2020, 31(05): 1259-1262. https://doi.org/10.1016/j.cclet.2019.09.036
    摘要 ( ) PDF全文 ( ) HTML 可视化 收藏
    Dracomolphesin A-E (1-5), five 3,4-seco-phenylpropanoids featuring an aromatic ring opened framework, were isolated from the aerial parts of Dracocephalum moldavica. The structures with absolute configurations were determined by spectroscopic methods coupled with Mosher method. Notably, these compounds represented an example of aromatic ring cleavage products of phenylpropanoids. The possible biosynthetic pathway of these compounds was proposed. Compounds 1, 2, 4 and 5 were demonstrated to be Nrf2 pathway activators.
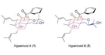
  • Xinyu Jia, Yongmei Wu, Chun Lei, Yanyan Yu, Jianqi Li, Jingya Li, Aijun Hou
    中国化学快报. 2020, 31(05): 1263-1266. https://doi.org/10.1016/j.cclet.2019.10.014
    摘要 ( ) PDF全文 ( ) HTML 可视化 收藏
    Hyperinoids A (1) and B (2), two prenylated acylphloroglucinol related meroterpenoids, were isolated from Hypericum patulum. Compound 1 incorporates an unprecedented 11,12-dioxatetracyclo[5.4.3.01,7.04,14]tetradecane system, while 2 possesses a unique 10,11-dioxatetracyclo[5.3.3.01,7.04,13] tridecane system. Their structures were established by spectroscopic analysis and X-ray crystallographic data. Compounds 1 and 2 were identified as potent NF-κB inhibitors and suppressed the LPS-induced inflammatory responses in RAW 246.7 macrophages and primary mouse BMDM cells
  • Yong Zheng, Fangming Wu, Shenglong Ling, Jia-Bin Li, Changlin Tian
    中国化学快报. 2020, 31(05): 1267-1270. https://doi.org/10.1016/j.cclet.2019.09.038
    摘要 ( ) PDF全文 ( ) HTML 可视化 收藏
    The H3 bivalent modifications of trimethylation at Lys9 and acetylation at Lys18 (H3-K9Me3-K18Ac) were identified to collectively recruit TRIM33 in the nodal signaling pathway. To understand the underlying mechanism of TRIM33 recruitment, the nucleosome core particles (NCPs) containing full-length H3-K9Me3-K18Ac were indispensable samples. Herein we developed a pseudo dipeptide strategy to efficiently prepare peptide segments, facilitating the chemical synthesis of H3-K9Me3-K18Ac at a tens of milligram scale. The synthetic H3-K9Me3-K18Ac was then examined by CD spectroscopy, which demonstrated a prominent shift compared to recombinant H3. Finally, bivalently modified NCPs were assembled and verified by gel mobility shift assay with good homogeneity.
  • Huibin Yang, Huitang Qi, Zesheng Hao, Xusheng Shao, Tian Liu, Qing Yang, Xuhong Qian
    中国化学快报. 2020, 31(05): 1271-1275. https://doi.org/10.1016/j.cclet.2019.11.035
    摘要 ( ) PDF全文 ( ) HTML 可视化 收藏
    Insect chitinase and N-acetyl-β-D-hexosaminidases (Hex) are potential targets for developing new pesticides. Here, a series of thiazolylhydrazones I (with substituted group R1 at N3) and II (with substituted group R1 at N2) were designed, synthesised and evaluated as competitive inhibitors of OfHex1 and OfChi-h, from the agricultural pest Ostrinia furnacalis. Derivatives I-3d and II-3d, with phenoxyethyl group at R1, demonstrated the best inhibitory activities against OfHex1 and OfChi-h. Molecular docking analysis indicated that the branched conformation compound II-3d (Ki=1.5 μmol/L) formed more hydrogen bonds with OfHex1 than the stretched conformation compound I-3d (Ki=5.9 μmol/L). The differences in compounds' binding conformations with OfChi-h explained differences in inhibitory activity of compounds I-3d (Ki=1.9 μmol/L) and II-3d (Ki=4.1 μmol/L). This work suggests a novel scaffold for developing specific Hex and Chi-h inhibitors.
  • Yan Zhang, Junfeng Shang, Huan Li, Hang Liu, Haibin Song, Baolei Wang, Zhengming Li
    中国化学快报. 2020, 31(05): 1276-1280. https://doi.org/10.1016/j.cclet.2019.10.039
    摘要 ( ) PDF全文 ( ) HTML 可视化 收藏
    A series of novel 1,2,4-oxadiazole-containing N-pyridylpyrazole derivatives 12a-h were efficiently synthesized with pivaldehyde, pyridylpyrazole carboxylic acid and arylamine as raw materials via 1,3-dipolar cycloaddition. Their structures were identified by melting points, 1H NMR, 13C NMR and elemental analysis or HRMS. The exploration on the single-crystal structures of 12c and 12g revealed the stereochemical and substituent oriental characteristics, and the relevance of the structure and the reaction activity of this type of compounds. The preliminary bioassays indicated that several compounds had good insecticidal activities, among which 12c showed a lethality rate of 80% towards Mythimna separata Walker at 200 μg/mL; some of the compounds exhibited favorable fungicidal activities at 50 μg/mL against Physalospora piricola, Rhizoctonia cereal, Sclerotinia sclerotiorum, etc. Among which, 12a, 12b, 12c and 12h could be considered as new fungicidal leading compounds for further structural optimization. These discoveries along with the structure-activity relationship analysis in this paper will provide useful guidance for the innovative studies on new pyridylpyrazole derivatives and their applications in agrochemical area.
  • Xianglong Hu, Qiuju Xun, Tao Zhang, Su-Jie Zhu, Qian Li, Linjiang Tong, Mengzhen Lai, Tao Huang, Cai-Hong Yun, Hua Xie, Ke Ding, Xiaoyun Lu
    中国化学快报. 2020, 31(05): 1281-1287. https://doi.org/10.1016/j.cclet.2019.09.044
    摘要 ( ) PDF全文 ( ) HTML 可视化 收藏
    Extensive structure-activity relationships (SARs) study of JND3229 was conducted to yield a series of new reversible 2-oxo-3,4-dihydropyrimido[4,5-d]pyrimidine privileged scaffold as EGFRC797S inhibitors. One of the most potent compound 6i potently suppressed EGFRL858R/T790M/C797S kinase with an IC50 value of 3.1 nmol/L, and inhibited the proliferation of BaF3 cells harboring EGFRL858R/T790M/C797S and EGFR19D/T790M/C797S mutants with IC50 values of 290 nmol/L and 316 nmol/L, respectively. Further, 6i dose-dependently induced suppression of the phosphorylation of EGFRL858R/T790M/C797S and EGFR19D/T790M/C797S in BaF3 cells. Compound 6i may serve as a promising lead compound for further drug discovery overcoming the acquired resistance of non-small cell lung cancer (NSCLC) patients.
  • Minghao Wu, Qing Chen, Yingdi Wang, Yulei Li, Xia Zhao, Qi Chang
    中国化学快报. 2020, 31(05): 1288-1292. https://doi.org/10.1016/j.cclet.2019.10.013
    摘要 ( ) PDF全文 ( ) HTML 可视化 收藏
    HYL derived from the venom of the solitary bee Hylaeus signatus (Hymenoptera:Colletidae) is an α-helical antimicrobial peptide with 16 residues. To explore whether HYL can be applied in anti-tumor therapy, we synthesized HYL and further modified its structure by using a solid-phase synthesis method, and then evaluated their antitumor activities. Firstly, we identified the key residues of HYL by alanine scanning strategy, and then a series of stapled peptides were synthesized by hydrocarbon stapling strategy without destroying the key residues. All the stapled peptides of HYL showed significant improvement not only in α-helicity, but also in antitumor activity and protease resistance when compared to the parent peptide HYL. The results showed that hydrophobicity and amphiphilicity are important factors affecting the antitumor activity of HYL, and the stapling strategy can significantly affect the proteolytic stability and helicity of HYL. What's more, we find that the stapled peptides HYL-14, HYL-16 and HYL-18 show a promising prospect for novel anti-tumor drug development.
  • Xuejie Zou, Yangzi Liu, Shaojing Shang, Wulin Yang, Weiping Deng
    中国化学快报. 2020, 31(05): 1293-1296. https://doi.org/10.1016/j.cclet.2019.09.002
    摘要 ( ) PDF全文 ( ) HTML 可视化 收藏
    A Sc(OTf)3-catalyzed [3 + 3] cycloaddition of 2,2'-diester aziridines with β-(indol-2-yl)-α,β-unsaturated ketones was developed, affording polysubstituted tetrahydro-γ-carbolines in single diastereoisomers in good to excellent yields.
  • Zhen Wu, Xue-Xin Feng, Qing-Dong Wang, Jin-Jin Yun, Weidong Rao, Jin-Ming Yang, Zhi-Liang Shen
    中国化学快报. 2020, 31(05): 1297-1300. https://doi.org/10.1016/j.cclet.2019.09.017
    摘要 ( ) PDF全文 ( ) HTML 可视化 收藏
    An efficient method was developed for the conjugate addition of water to various α,β-unsaturated ketones by using bismuth(III) chloride as a catalyst. The reactions proceeded smoothly in the presence of a catalytic amount of BiCl3 (20 mol%) in aqueous media to furnish a variety of synthetically useful β-hydroxyl ketones in moderate to good yields. Apart from water molecule, various alcohols could also be employed as nucleophiles to react with α,β-unsaturated ketones, leading to β-alkoxyl ketones in modest to high yields. In addition, the mild reaction conditions also entailed the conjugate addition reactions to proceed with the tolerance to a range of functional groups.
  • Min Liu, Ling-Jun Li, Jun Zhang, Hui Xu, Hui-Xiong Dai
    中国化学快报. 2020, 31(05): 1301-1304. https://doi.org/10.1016/j.cclet.2019.09.057
    摘要 ( ) PDF全文 ( ) HTML 可视化 收藏
    Palladium-catalyzed highly meta-selective C -H iodination of phenylacetic acid, benzylphosphonate and benzylsulfonate scaffolds with molecular I2 is developed using a pyridine-type template. The practical ester linkages enable the directing template easily installed and readily removed. The substrate scope is broad, and alkyl, methoxyl, trifluomethyl, and halo substituents are compatible with this reaction. Further transformations of ibuprofen iodide intermediates by Pd-catalyzed C -C and C-heteroatom bond formation illustrate the broad utility of this method.
  • Baohua Liu, Qiong Hu, Feihu Yang, Xiaojie Zheng, Yimin Hu
    中国化学快报. 2020, 31(05): 1305-1308. https://doi.org/10.1016/j.cclet.2019.10.003
    摘要 ( ) PDF全文 ( ) HTML 可视化 收藏
    This study presents a facile strategy for the formation of highly substituted butterfly 1,4-adducts/9,10-adducts via the Diels-Alder reaction of benzyne intermediates. The method achieves very good to excellent yields of the respective anthracene derivatives under mild conditions. This practical protocol is compatible with a variety of sensitive functional groups and provides access to difunctionalized bridge 1,4-adducts/9,10-adducts.
  • Tong-De Tan, Xin-Qi Zhu, Mei Jia, Yongjia Lin, Jun Cheng, Yuanzhi Xia, Long-Wu Ye
    中国化学快报. 2020, 31(05): 1309-1312. https://doi.org/10.1016/j.cclet.2019.10.019
    摘要 ( ) PDF全文 ( ) HTML 可视化 收藏
    An efficient gold-catalyzed anti-Markovnikov cycloisomerization-initiated tandem reaction of Bocprotected indole tethered homopropargyl amides has been achieved. This method delivers a wide range of valuable bridged aza-[n.2.1] skeletons (n=3-7) at room temperature with high diastereoselectivity and enantioselectivity by a chirality-transfer strategy. Moreover, the gold-catalyzed tandem reaction of homopropargyl alcohol is also achieved to produce the bridged oxa-[3.2.1] skeleton.
  • Wenchao Yang, Bing Li, Mingming Zhang, Shuang Wang, Yigang Ji, Sa Dong, Jianguo Feng, Shuzhong Yuan
    中国化学快报. 2020, 31(05): 1313-1316. https://doi.org/10.1016/j.cclet.2019.10.022
    摘要 ( ) PDF全文 ( ) HTML 可视化 收藏
    We reveal here a visible-light promoted phosphorylation of 2-isocyanoaryl thioethers for the first time with concomitant C(sp3)-S bond cleavage and imidoyl C-S formation. Additionally, this method features the use of 3 mol% organic dye Rose Bengal as the photocatalyst without external transition-metal or peroxide oxidants, and provides a novel and environmentally friendly approach for the preparation of a variety of 2-phosphoryl benzothiazoles in moderate to good yields.
  • Xin-Dong Jiang, Zhumei Shao, Changliang Sun, Shuai Yue, Rong Shang, Yohsuke Yamamoto
    中国化学快报. 2020, 31(05): 1317-1321. https://doi.org/10.1016/j.cclet.2019.09.053
    摘要 ( ) PDF全文 ( ) HTML 可视化 收藏
    Dipyrrolyldiketone difluoroboron complexes (BONEPYs) were synthesized by condensation of the corresponding pyrroles and malonyl chloride followed by treatment with BF3·OEt2. The aryl-substituted pyrrole is introduced to form a cyclic system in order to investigate anion binding studies. In BONEPYs 1-3 the o-H of the aryl group forms hydrogen bonding with F- to give a more table complex. In contrast, the intramolecular hydrogen-bonded BONEPYendo-4 is more stable than its exo isomer. While adding F-, the hydrogen bonds must be broken first to give 4·(3)F-. Owing to the electron-rich group (-OMe), the o-H of the phenyl group can hardly interact with F- via hydrogen bonding to give the less stable complex 4·(5)F-. The energy differences between the different conformations were calculated using DFT methods, which is consistent to the experimental observations.
  • Wenrui Cai, Renjie Xiong, Cong Mao, Meitian Xiao, Yongjun Liu, Ranjith Kumar Kankala, Xueqin Zhang
    中国化学快报. 2020, 31(05): 1322-1326. https://doi.org/10.1016/j.cclet.2019.09.029
    摘要 ( ) PDF全文 ( ) HTML 可视化 收藏
    To overcome the shortcomings of single component carrier supported platinum (Pt)-based catalysts, herein, we demonstrate the fabrication of alumina combined mesoporous carbon to prepare a series of alumina-carbon composites and their corresponding Pt-based catalysts. The alumina-carbon composites Al@PhFC are synthesized by using phloroglucinol-formaldehyde resin as carbon source and aluminum acetylacetone as the aluminum source. Further, the effect of alumina content on the properties of the composites is investigated. The composites and catalysts are characterized by using XRD, XPS, N2 sorption, and TEM. The Pt/Al@PhFC-1.8 composite with appropriate amounts of alumina, pore diameter, and moderate Pt nanoparticle size, resulted in 99.5% of conversion efficiency and 77.4% of optical selectivity in the asymmetric hydrogenation of ethyl 2-oxo-4-phenylbutanoate (EOPB). Interestingly, this composite can be used more than 20 times without a significant decrease in its performance.
  • Pranab K. Pramanick, Zhibing Zhou, Zhenlin Hou, Yufei Ao, Bo Yao
    中国化学快报. 2020, 31(05): 1327-1331. https://doi.org/10.1016/j.cclet.2019.10.034
    摘要 ( ) PDF全文 ( ) HTML 可视化 收藏
    Direct C(sp3)-H functionalization of N-unprotected aliphatic amines represents one of the most efficient and straightforward strategies for amine synthesis. Despite some recent progress in this field, the NH2-directed γ-C(sp3)-H arylation of primary aliphatic amines except α-amino esters remained an unmet challenge. In this report, we established a simple and efficient method for site-selective C(sp3)-H arylation of primary aliphatic amines by aryl iodides. In the presence of only 5 mol% Pd(OAc)2, a wide range of aliphatic amines including O-benzyl and O-silyl amino alcohols were arylated at γ-or δ-positions by aryl iodides containing a broad scope of functional groups. The synthetic application of this method had also been demonstrated by large-scale synthesis, the synthesis of a fingolimod analogue, and the conjugation with natural D-menthol and fluorescent 1,8-naphthalimide.
  • Jiang Liu, Zhongjin Fang, Xin Liu, Yandong Dou, Jianze Jiang, Fangfang Zhang, Jiaojiao Qu, Qing Zhu
    中国化学快报. 2020, 31(05): 1332-1336. https://doi.org/10.1016/j.cclet.2019.10.035
    摘要 ( ) PDF全文 ( ) HTML 可视化 收藏
    The copper-catalyzed directed dearomatization of indoles with the assistance of directing groups has been developed for the synthesis of 2,3-diazido indolines with good yields and excellent diastereoselectivities in aqueous solution. The resultant 2,3-diazides can be smoothly converted to other functional groups, including vicinal diamines, triazoles and benzotriazoles, in a single step.
  • Ying Han, Hui Zheng, Yuan-Yuan Zhang, Chao-Guo Yan
    中国化学快报. 2020, 31(05): 1337-1341. https://doi.org/10.1016/j.cclet.2019.10.042
    摘要 ( ) PDF全文 ( ) HTML 可视化 收藏
    The three-component reaction of triphenylphosphine, dimethyl hex-2-en-4-ynedioate and arylidene N,N'-dimethylbarbituric acids in dry methylene dichloride at room temperature afforded trans-1,3-disubstituted 7,9-diazaspiro[4.5]dec-1-enes in good yields and with high diastereoselectivity. However, the similar three-component reaction with arylidene Meldrum acids resulted in a mixtures of cis/trans-1,2-disubstituted 7,9-dioxaspiro[4.5]dec-1-enes. Additionally, the three-component reaction of triphenylphosphine, dimethyl but-2-ynedioate and arylidene Meldrum acids gave polysubstituted 5-(triphenyl-λ5-phosphanylidene)cyclopenta-1,3-dienes. A plausible reaction mechanism was proposed for the formation of various products with different regioselectivity and diastereoselectivity.
  • Wenwei Chen, Qi Chen, Yingjie Ma, Xuebing Leng, Sheng-Di Bai, Liang Deng
    中国化学快报. 2020, 31(05): 1342-1344. https://doi.org/10.1016/j.cclet.2019.11.019
    摘要 ( ) PDF全文 ( ) HTML 可视化 收藏
    The limited knowledge on low-coordinate zero-valent transition-metal species has intrigued great synthetic efforts in developing ligand sets for their stabilization. While the combined ligand set of N-heterocyclic carbene (NHC) with vinylsilanes was the only known ligand system amenable to the stabilization of three-coordinate formal zero-valent cobalt, iron, and manganese complexes, the exploration on other ligands has proved that the ligand set of NHCs with styrene is equally effective in stabilizing three-coordinate formal zero-valent metal complexes in the form of (NHC)M(η2-CH2CHPh)2 (NHC=IPr, IMes; M=Co, Fe, Mn). These styrene complexes can be prepared by the one-pot reactions of MCl2 with styrene, NHC and KC8, and have been characterized by various spectroscopic methods. Preliminary reactivity study indicated that the interaction of[(IMes)Fe(η2-CH2CHPh)2] with DippN3 produces the iron(IV) bisimido complex[(IMes)Fe(NDipp)2] and styrene, which hints at the utility of these zero-valent metal styene complexes as synthons of the mono-coordinate species (NHC)M(0).