本期目录

2019年, 第30卷, 第02期 刊出日期:2019-02-22
  

  • 全选
    |
    评论
  • Tangxin Xiao, Ling Zhou, Lixiang Xu, Weiwei Zhong, Wei Zhao, Xiao-Qiang Sun, Robert B. P. Elmes
    中国化学快报. 2019, 30(02): 271-276. https://doi.org/10.1016/j.cclet.2018.05.039
    摘要 ( ) PDF全文 ( ) HTML 可视化 收藏
    Pillar[n]arenes are a new kind of supramolecular macrocyclic hosts which have developed rapidly due to their unique topology and high functionality, giving rise to many applications in the construction of interesting and functional materials. Among them, water-soluble pillar[n]arenes bearing triethylene oxide (TEO) chains have drawn increasing research interest due to their advantageous properties. In this review, we summarized the recent progress of dynamic materials fabricated from water soluble pillar[n] arenes bearing TEO groups, including thermoresponsive materials with lower critical solution temperature (LCST) behavior, cyclic host liquids, and smart windows. It is anticipated that more and more ‘smart’ supramolecular materials based on modified pillar[n]arenes will be developed in this burgeoning area of research.
  • Dong Yao, Yi Liu, Jing Li, Hao Zhang
    中国化学快报. 2019, 30(02): 277-284. https://doi.org/10.1016/j.cclet.2018.07.012
    摘要 ( ) PDF全文 ( ) HTML 可视化 收藏
    During the past three decades, metal selenide and telluride quantum dots (QDs) have been deemed one of the most vital nanomaterials in virtue of their extensive applications, including lighting, solar harvesting, photocatalysis, biolabelling, quantum computing and so forth. With the growing demands for the QDrelated products, environmental friendly, energy-efficient and timesaving approaches to synthesize functional metal selenide and telluride QDs are greatly welcome. On the basis of the development in synthesis of chalcogen precursors, this mini review summarizes the recent progress in the green methods for synthesizing metal selenide and telluride QDs. At first, the panorama of basic synthetic methodology of metal chalcogenide QDs is briefly introduced. Then, numerous evolving colloidal synthetic methods are discussed, highlighting the phosphine-free precursors and the aqueous ionic precursors. Finally, this review ends with remaining challenges and future prospects in synthetic schemes. We hope this review will provide some stimulating information to promote further advancement in this area.
  • Jingtai Fu, Zhuomin Zhang, Gongke Li
    中国化学快报. 2019, 30(02): 285-291. https://doi.org/10.1016/j.cclet.2018.10.031
    摘要 ( ) PDF全文 ( ) HTML 可视化 收藏
    Nowadays, DNA-mediated metal nanomaterials have received more and more attention due to their distinctive properties of easy synthesis, high stability and good biocompatibility. As a kind of efficient template to mediate the precise synthesis of metal nanomaterials, DNA can not only increase their recognition and biocompatibility, but also precisely control their morphology, structure and further analytical performance. DNA-mediated metal nanomaterials as ultrasensitive and selective probes have unique advantages for in situ rapid analysis of targets in complex samples. Herein, we reviewed the recent progress on synthesis strategies, morphologies, specific properties of DNA-mediated metal nanomaterials including nanoparticles and nanoclusters. Moreover, the applications of DNA-mediated metal nanomaterials to environmental and biological analysis were also summarized. Finally, the developing prospect of DNA-mediated metal nanomaterials in analytical chemistry was discussed and proposed.
  • Jianqiao Li, Yuxin Qian, Wubiao Duan, Qingdao Zeng
    中国化学快报. 2019, 30(02): 292-298. https://doi.org/10.1016/j.cclet.2018.05.037
    摘要 ( ) PDF全文 ( ) HTML 可视化 收藏
    Host-guest chemistry in two-dimensional (2D) networks has gained much interest for the new functionalities and potential applications, such as separation technology, photogenic crystals and biomimetic surfaces. Nanoporous supramolecular networks are assembled by a range of non-covalent forces like hydrogen bonds, van der Waals interactions and coordinate bonds, to immobilize guest molecules of different sizes and shapes. In this review, we mainly presented the effect of coronene on the host-guest architecture. Coronene (COR) is chosen to be the promising guest molecule and it can embed, cover, or change the host networks in different host-guest systems. All of the research in the review was finished with assistance of scanning tunneling microscope (STM). These studies were called upon impose controlling on host-guest systems and revealed the behaviors of COR clusters as guest molecules.
  • 通信
  • Xupo Liu, Yunfeng Zhang, Shaofeng Deng, Cuicui Li, Jiaming Dong, Jiaying Wang, Zehui Yang, Deli Wang, Hansong Cheng
    中国化学快报. 2019, 30(02): 299-304. https://doi.org/10.1016/j.cclet.2018.09.021
    摘要 ( ) PDF全文 ( ) HTML 可视化 收藏
    Low methanol permeability of proton exchange membranes (PEMs) is greatly important for direct methanol fuel cells (DMFCs). Here, sulfonated poly(ether ether ketone) (SPEEK) based semiinterpenetrating polymer networks (semi-IPNs) are successfully prepared by interpenetrating SPEEK into the in-situ synthesized crosslinking networks. The polymeric networks are formed by the covalent bonds between bromobenzyl groups of bromomethylated poly(phenylene oxide) and amine groups of diamine linkers as well as the ionic bonds between amine species and sulfonated groups. Two linkers without and with sulfonated groups are applied to fabricate the semi-IPNs. The core properties of the membranes, like phase separation, water uptake, proton conductivity and methanol permeability, are systematically studied and compared. The DMFCs assembled by using the semi-IPN membranes display better performance than Nafion 117 in high concentration methanol solutions. The present work provides a facile way to prepare PEMs with enhanced DMFC performance.
  • Ce Shi, Shixia Xi, Yingchun Han, Hao Zhang, Jingsheng Liu, Yunqi Li
    中国化学快报. 2019, 30(02): 305-310. https://doi.org/10.1016/j.cclet.2018.07.010
    摘要 ( ) PDF全文 ( ) HTML 可视化 收藏
    Electrospun fiber mats (EFM) integrated proteins and biocompatible polymers have been widely used as tissue scaffold, wound dressing and food packaging. The morphology of EFM has strong correlation with the structure and rheology of the solutions. We studied the structure and rheology of polyethylene oxide (PEO) and zein in 80% ethanol aqueous solutions and the resulted EFM. In solutions, zein with rod-like conformation tends to aggregate and form oligomer, the number of proteins in the oligomer spans from 2.5 to 55.2, while PEO always behaves like Gaussian chain in good solvent. Zein preferred to distribute along PEO chains in their mixed solutions, and the structures decomposed from small angle X-ray scattering have consistent relaxation spatial-temporal characteristics with rheological behaviors. Further, the aging of zein solutions enhanced shear thinning and resulted thicker fibers in EFM, which are attributed to the rod-like growth of zein aggregates. Aggregates in viscous media with long enough relaxation time are probably crucial for the formation of continuous electrospun fibers or ribbons. This study provides a clear correlation of the structure, rheology of solutions with the morphologies of EFM made up of proteins and polymers.
  • Hang Bian, Xuejian Zhang, Dexin Huang, Ning Zhang
    中国化学快报. 2019, 30(02): 311-313. https://doi.org/10.1016/j.cclet.2018.07.002
    摘要 ( ) PDF全文 ( ) HTML 可视化 收藏
    As an emerging two-dimensional (2D) nanomaterial, single layer or a few layers of molybdenum disulfide (MoS2) has drawn significant attention in the past decade. In the present work, we report a strategy in direct creating polymer brushes on MoS2 surfaces via S-C bond in the presence of UV light. The modification of MoS2 nanosheets can be achieved bilaterally or homolaterally by performing the UV-grafting polymerization on exfoliated MoS2 nanosheets or a single layer of MoS2 deposited on a silicon substrate. A series of vinyl monomers including methyl methacrylate (MMA), styrene (St) and 2-isopropenyl-2-oxazoline (IPOx) could be applied to this approach, leading to the formation of poly (methyl methacrylate) (PMMA), polystyrene (PS) and poly(2-isopropenyl-2-oxazoline) (PIPOx) brushes. AFM, IR, and XPS characterizations indicate the successful formation of homogeneous brush layers on MoS2 surfaces. The polymer brushes modified MoS2 may found potential applications in photo dynamic therapy and sensing technologies.
  • Tian Qin, Yao Qian, Fan Zhang, Bo-Lin Lin
    中国化学快报. 2019, 30(02): 314-318. https://doi.org/10.1016/j.cclet.2018.07.003
    摘要 ( ) PDF全文 ( ) HTML 可视化 收藏
    The electrochemical reduction of carbon dioxide can convert the greenhouse gas into value-added chemical products or fuels, which provides a promising strategy to address current energy and environmental issues. Increasing the selectivity for C2&C2+ products, particularly ethylene, remains an important goal in this field. We chose cuprous chloride as the catalyst precursor for electrochemical reduction of CO2, which efficiently converted carbon dioxide to ethylene. CuCl powder exhibited a maximum ethylene faradaic efficiency (FE) of 37%, ethylene partial current density of 14.8 mA/cm2, and selectivity of 57.5% for C2&C2+ products at -1.06 V (vs. reversible hydrogen electrode, RHE). Electron microcopy (TEM, SEM) and time-resolved ex situ X-ray diffraction (XRD) demonstrated that the catalyst was transformed gradually into a mixed phase of copper and cuprous oxide, with the morphological change into a cubic structure during reduction process. The presence of Cu1+ and the unique electrode morphology may simultaneously lead to the enhanced electrochemical activity.
  • Xinyue Zhao, Jing Meng, Zhenhua Yan, Fangyi Cheng, Jun Chen
    中国化学快报. 2019, 30(02): 319-323. https://doi.org/10.1016/j.cclet.2018.03.035
    摘要 ( ) PDF全文 ( ) HTML 可视化 收藏
    It is desirable to exploit cost-effective and earth-abundant catalysts for the oxygen evolution reaction (OER) in developing electrochemical energy conversion and storage technologies. Here we report a facile hydrothermal synthesis of NiMoO4 nanorods as active and stable OER catalyst in alkaline condition. The prepared NiMoO4 nanorods exhibit a considerably low overpotential of 340 mV at the current density of 10 mA/cm2 and a low Tafel slope of 45.6 mV/dec, which is comparable to the benchmark RuO2. Furthermore, the performance of NiMoO4 significantly surpasses binary NiO and MoO3 oxides due to enhanced charge transfer and promoted formation of catalytically active Ni3+ species. The results highlight the importance of designing ternary oxides in oxygen electrocatalysis.
  • Xuanyu Yang, Xiaowei Cheng, Ahmed A. Elzatahry, Jinyang Chen, Abdulaziz Alghamdi, Yonghui Deng
    中国化学快报. 2019, 30(02): 324-330. https://doi.org/10.1016/j.cclet.2018.06.026
    摘要 ( ) PDF全文 ( ) HTML 可视化 收藏
    A versatile wet impregnation method was employed to conveniently and controllably deposit Fe2O3 nanoparticles on zeolites including commercial Y, mordenite and ZSM-5 with the similar framework Si/Al ratios and crystal sizes, respectively. The ultrafine Fe2O3 nanoparticles in size of 5 nm can be highly dispersed on zeolite Y matrix due to its much better wettability than ZSM-5 and mordenite. By using the obtained Fe2O3/zeolite composite as the heterogeneous Fenton-like catalysts, the degradation of phenol as a model reaction was systematically investigated, including the zeolite supports, particle size and dispersion of Fe2O3, and reaction conditions of H2O2 concentration, temperature, and pH value. The catalyst based on zeolite Y with Fe loading of 9% exhibited the best phenol degradation efficiency (> 90%) in neutral pH within 2 h. Its high catalytic activity in Fenton reaction can be attributed to the bifunctional properties of strong surface Brønsted acidity and high reactivity of octahedral Fe3+ in the highly-dispersed ultrafine Fe2O3 nanoparticles in size of 5 nm, which were the primary active centers to quickly decompose H2O2 into hydroxyl radicals. Since phenol degradation can be performed under mild conditions of ambient temperature (283-323 K) and a wide pH range (4.0-7.0), the catalysts can be easily recovered for recyclable use with stable degradation activity, which own the immense potential in deep treatment of organic pollutants in industrial wastewater.
  • Tianying Yuan, Dan Gao, Shangfu Li, Yuyang Jiang
    中国化学快报. 2019, 30(02): 331-336. https://doi.org/10.1016/j.cclet.2018.07.013
    摘要 ( ) PDF全文 ( ) HTML 可视化 收藏
    Recapitulating the tumor microenvironment is a major challenge in the development of in vitro tumor model for the study of cancer biology and therapeutic treatments. 3D multicellular tumor spheroids (MCTS) have been used as reliable models of mimicking in vivo solid tumors. Macrophages and extracellular matrix (ECM), regarded as two key factors of the tumor microenvironment, play significant roles in tumor progression and drug resistance. In order to investigate their effects on tumor cell migration, a microfluidic chip-based 3D breast cancer model was developed by co-culturing monodisperse MCTS with monocytes in 3D collagen matrix. A reversible bonding technique was employed for the fabrication of the microfluidic chip, which made it easier for MCTS formation and tailoring the MCTS co-culture conditions. When co-culturing monocytes with low invasive T47D spheroids or high invasive MD-MBA-231 spheroids, we found that T47D cells with the stimulation of macrophage colony-stimulating factor (M-CSF) and MD-MBA-231 cells could polarize monocytes into tumor-associated macrophages (TAMs). The increased stiffness via increasing collagen concentration decreased tumor cell migration, whereas the presence of TAMs enhanced the migration ability of cells. Moreover, M-CSF-activated TAMs promoted the migration of T47D tumor cells via the regulation of TGFβ1. Overall, this 3D co-culture microfluidic model may be useful for studying tumor progress and may offer a reliable and low-cost method for evaluation of drug efficiency.
  • Hongxing Xu, Qiaochun Wang
    中国化学快报. 2019, 30(02): 337-339. https://doi.org/10.1016/j.cclet.2018.03.014
    摘要 ( ) PDF全文 ( ) HTML 可视化 收藏
    4-Nitro-benzendiazonium (4-NBD) was found to form a 1:1 host-guest complex (NBD@CB) with cucurbit [7]uril (CB[7]) in aqueous solution and 4-NBD enters into the cavity of CB[7] with a binding constant of 1.28×105 L/mol. NBD@CB can be decomposed into a nitrobenzene/4-nitrophenol mixture in a high total yield (61% + 33%) in the presence of CuCl, unlike the decomposition of 4-NBD in the presence of either CB[7] or CuCl, or both absence, where would result in significant amounts of unknown byproducts. This work might provide an economic and effective way to obtain arenes or phenols through the substitution of diazonium salts.
  • Letian Zhang, Kun Liu, Xusheng Shao, Zhong Li, Xiaoyong Xu
    中国化学快报. 2019, 30(02): 340-344. https://doi.org/10.1016/j.cclet.2018.09.012
    摘要 ( ) PDF全文 ( ) HTML 可视化 收藏
    A novel synthesis of 2,3-dihydroimidazo[1,2-a]pyridin-5(1H)-one 4 and its derivatives were described. Preliminary bioassays showed that some of the target compounds exhibited excellent insecticidal activities against brown planthopper (Nilaparvata lugens), cowpea aphids (Aphis craccivora) (4, 5a, 5c, 5g, 5h, 5j, 5r, 6b, 6e) and carmine spider mite (Tetranychus cinnabarinus (5f, 5s, 6a) at 500 mg/L. Among them, compound 4 was still active against brown planthopper and cowpea aphids at 4 mg/L. The insecticidal activities were influenced by the types and position of the substituents, which provided guidance for the structure modifications.
  • Mengjun Wang, Xusheng Du, Huasheng Tian, Qiong Jia, Rong Deng, Yahan Cui, Chunyu Wang, Kamel Meguellati
    中国化学快报. 2019, 30(02): 345-348. https://doi.org/10.1016/j.cclet.2018.10.014
    摘要 ( ) PDF全文 ( ) HTML 可视化 收藏
    Two strategies for the design of new pillar[5]arene-based mechanically self-interlocked molecules (MSMs) are reported here. The first strategy is based on the construction of an intermediate pseudo[1]rotaxane followed by the desired bis-[1]rotaxane. The other one is based on the construction of the desired bis-[1]rotaxane directly via a condensation reaction through host-guest interactions between a mono-functionalized pillar[5]arene and the axle. The newly synthesized bis-[1]rotaxane BR was characterized by 1H NMR, 13C NMR, 2D NMRs (1H-13C HSQC, 1H-1H COSY and NOESY) and LC-ESI-MS, which indicated compound BR displayed an self-interlocked structure in CDCl3. Surprisingly, the results of SEM, TEM and DLS showed that the compound BR could assemble into spherical nanoparticles in MeOH.
  • Liping Zhao, Juan Qiao, Hongyi Zhang, Fangnan Xie, Li Qi
    中国化学快报. 2019, 30(02): 349-352. https://doi.org/10.1016/j.cclet.2018.03.007
    摘要 ( ) PDF全文 ( ) HTML 可视化 收藏
    A new open-tubular capillary electrochromatography (OT-CEC) method for analysis of β-lactam antibiotics has been developed with unique block co-polymer coating. To obtain the highly ordered block polymer chains, reversible addition fragmentation chain transfer radical polymerization method was used to synthesize poly(maleic anhydride-styrene-N-isopropylacrylamide). The prepared block copolymer coating was characterized with NMR, fourier transform infrared spectroscopy and scanning electron microscope. Several key separation factors of OT-CEC, which including polymer amount, stability of the coating, temperature, species of organic additives, buffer pH and concentration, were investigated in detail. Our results indicated that the separation efficiency was improved greatly with the coating capillary and the three test analytes could be baseline separated. Then, the separation mechanism was briefly explored. Moreover, the proposed OT-CEC method displayed promising quantitative analysis property of the three test analytes with good linearity (R2 > 0.99), repeatability (relative standard deviations <0.9%) and high recovery (95.4%-106.2%). Further, the assay was applied in monitoring the three test β-lactam antibiotics (cephradine, cephalexin and amoxicillin) in serum samples, providing a useful platform for construction of novel polymer coatings in OT-CEC system and for analysis of drugs in real bio-samples.
  • Zhenyu Wang, Chaoxiong Wu, Ting Fan, Xianwei Han, Qiong Wang, Jincan Lei, Jun Yang
    中国化学快报. 2019, 30(02): 353-358. https://doi.org/10.1016/j.cclet.2018.12.001
    摘要 ( ) PDF全文 ( ) HTML 可视化 收藏
    Giant liposome is an important lipid structure widely used in biological and medical fields. In its main preparation method, electroformation, many influencing factors must be optimized for good effect. How to collect the desired giant liposomes is another major issue. In this work, a microchip with a reactor chamber array was used to study the influences of multiple parameters, and a suitable condition could be achieved rapidly and efficiently. A tailor-made collection chamber was also integrated on the chip. Based on the multifactor and multilevel orthogonal experiment, optimal conditions of the lipid solution, buffer solution, and electric signal were achieved with high efficiency. More than one thousand giant liposomes could be formed in each microscale reactor chamber, and most of them were unilamellar. The on-chip collection ratio of giant liposome carriers could also approximate to 40%.
  • Yongdi Xie, Wenwen Yuan, Yi Huang, Chunyan Wu, Haijun Wang, Yongmei Xia, Xiang Liu
    中国化学快报. 2019, 30(02): 359-362. https://doi.org/10.1016/j.cclet.2018.03.026
    摘要 ( ) PDF全文 ( ) HTML 可视化 收藏
    A novel catalyst, Zr(IV)-salen-MCM-41 with Lewis acid and base sites, was prepared and characterized by FT-IR, TG, XRD, SEM, TEM, BET, NH3-TPD, and CO2-TPD. The as-synthesized catalyst was applied to the conversion of fructose into 5-hydroxymethylfurfural (HMF). In this work, the heterogeneous catalyst had a superior activity for the dehydration of fructose into HMF. 92.0% HMF yield was obtained from fructose at 140℃ for 4 h in dimethyl sulfoxide (DMSO). In addition, the effect of reaction temperature, reaction time, solvents and catalyst dosages were also investigated in detail. Meanwhile, the Zr(IV)-salen-MCM-41 could be reused four times with a slight decrease in catalytic activity.
  • Wei Sun, Feng Jiang, Honglei Liu, Xing Gao, Hao Jia, Cheng Zhang, Hongchao Guo
    中国化学快报. 2019, 30(02): 363-366. https://doi.org/10.1016/j.cclet.2018.04.024
    摘要 ( ) PDF全文 ( ) HTML 可视化 收藏
    The double [3+2] cycloaddition of allenoates with nitrile oxides is presented. The reaction worked well under mild reaction conditions to give the spirobidihydroisoxazole in moderate to excellent yields with excellent diastereoselectivities. The two dihydroisoxazole rings have been formed via a sequential double [3+2] cycloaddition.
  • Jianxi Ying, Peng Chen, Yile Wu, Xu Yang, Kaili Yan, Pengxiang Xu, Yufen Zhao
    中国化学快报. 2019, 30(02): 367-370. https://doi.org/10.1016/j.cclet.2018.06.015
    摘要 ( ) PDF全文 ( ) HTML 可视化 收藏
    Prebiotic peptide synthesis is a central issue concerning life’s origins. Many studies considered that life might come from Hadean deep-sea environment, that is, under high hydrostatic pressure conditions. However, the properties of prebiotic peptide formation under high hydrostatic pressure conditions have seldom been mentioned. Here we report that the yields of dipeptides increase with raised pressures. Significantly, effect of pressure on the formation of dipeptide was obvious at relatively low temperature. Considering that the deep sea is of high hydrostatic pressure, the pressure may serve as one of the key factors in prebiotic peptide synthesis in the Hadean deep-sea environment. The high hydrostatic pressure should be considered as one of the significant factors in studying the origin of life.
  • Chao Zhou, Pinhui Diao, Xiaoji Li, Yanqin Ge, Cheng Guo
    中国化学快报. 2019, 30(02): 371-374. https://doi.org/10.1016/j.cclet.2018.06.019
    摘要 ( ) PDF全文 ( ) HTML 可视化 收藏
    A selective protocol for the synthesis of either α-ketoamides or quinoxaline derivatives under the same reaction conditions has been achieved simply by varying substitution number of amino-groups. The method features metal-free, room temperature and broad substrate scopes as well as no extra oxidant. This process applies to various substituent groups and gives products in moderate to good yield. Finally, a rational mechanism was proposed.
  • Xiaopeng Zhang, Shuxiang Dong, Qianqian Ding, Xuesen Fan, Guisheng Zhang
    中国化学快报. 2019, 30(02): 375-378. https://doi.org/10.1016/j.cclet.2018.07.017
    摘要 ( ) PDF全文 ( ) HTML 可视化 收藏
    A facile one-pot, economical approach to 1,2,3-thiadiazol-5-ylureas was developed via seleniumcatalyzed oxidative carbonylation of 1,2,3-thiadiazol-5-amine with a series of amines in one-pot manner in the presence of CO and O2. This approach is featured with cheap and easily available raw materials, cheap and reusable catalyst selenium, one-pot procedure, high atomic economy, simple operations and no emission of corrosive wastes.
  • Fei Wang, Tian-Qi Wei, Pei Xu, Shun-Yi Wang, Shun-Jun Ji
    中国化学快报. 2019, 30(02): 379-382. https://doi.org/10.1016/j.cclet.2018.08.006
    摘要 ( ) PDF全文 ( ) HTML 可视化 收藏
    A manganese(Ⅲ)-promoted oxidative radical cascade reaction of easily accessible arylboronic acids with isocyanides to construct diimide derivatives was studied. This protocol provides a new way to synthesis of acetyl diimide derivatives. New C—C, C—N and C=O bonds were formed in one step.
  • Ting Wei, Yongming Zeng, Wei He, Lili Geng, Liang Hong
    中国化学快报. 2019, 30(02): 383-385. https://doi.org/10.1016/j.cclet.2018.03.031
    摘要 ( ) PDF全文 ( ) HTML 可视化 收藏
    A facile transformation of alkynes into α-amino ketones by an N-bromosuccinimide-mediated one-pot cascade strategy is described. A variety of α-amino ketones are obtained in moderate to good yields under mild conditions. To overcome the multi-step synthesis, N-bromosuccinimide is involved in multiple tasks, playing a key role in the reaction course.
  • Zhijuan Li, Weihua Wang, Hui Jian, Wenjuan Li, Bin Dai, Lin He
    中国化学快报. 2019, 30(02): 386-388. https://doi.org/10.1016/j.cclet.2018.04.003
    摘要 ( ) PDF全文 ( ) HTML 可视化 收藏
    The cascade O-insertion/1,6 conjugate addition between benzynes and ortho-hydroxyphenyl substituted para-quinone methides has been reported, affording 9-phenol substituted xanthenes in 49%-84% yields.
  • Wei Lv, Junling Duan, Shiyun Ai
    中国化学快报. 2019, 30(02): 389-391. https://doi.org/10.1016/j.cclet.2018.06.002
    摘要 ( ) PDF全文 ( ) HTML 可视化 收藏
    A pair of “pinwheel-like” metal free phthalocyanines, (D)- and (L)-1,8,15,22-tetrakis(2-isopropyl-5-methylcyclohexoxyl)phthalocyanine (1) were isolated for the first time from cyclic tetramerization of (D)- and (L)-3-(2-isopropyl-5-methylcyclohexoxyl)-1,2-dicyanobenzene (2), respectively, in refluxing n-pentanol in the presence of lithium pentanoate followed by treatment with acetic acid. Owing to the steric hindrance of the bulky menthol groups, C4 tetra-α-substituted phthalocyanine 1 is the main phthalocyanine product generated and then could be purified readily by column chromatography. The newly prepared phthalocyanine has been characterized by a series of spectroscopic technique including MALDI-TOF mass, NMR, electronic absorption and IR spectroscopy in addition to elemental analysis. In addition, their electrochemical properties have also been studied by cyclic voltammetry measurement.
  • Fusong Zhang, Qi Lai, Xiaodong Shi, Zhiguang Song
    中国化学快报. 2019, 30(02): 392-394. https://doi.org/10.1016/j.cclet.2018.05.036
    摘要 ( ) PDF全文 ( ) HTML 可视化 收藏
    A gold-catalyzed three-component coupling reaction (A3 reaction) was developed as an efficient approach for the synthesis of challenging 2, 4-disubstituted quinoline derivatives. Compared to previously reported Cu/Au bi-catalyst system, this protocol enables achieving A3 reaction only in the presence of triazole-gold catalyst. Notably, 4-alkyl substituted or 2-alkyl substituted quinoline derivatives were obtained with good yields, which highlighted the unique advantage of this new strategy.
  • Lang Tong, Zhifeng Mao, Xiangzheng Tang, Xuejing Zhang, Ming Yan
    中国化学快报. 2019, 30(02): 395-397. https://doi.org/10.1016/j.cclet.2018.06.018
    摘要 ( ) PDF全文 ( ) HTML 可视化 收藏
    A facile synthesis of tetraarylpyrazoles has been developed via t-BuOK/DMF promoted intermolecular cycloaddition of hydrazones and 1,2-diarylalkynes. A possible reaction pathway via a hydrazone radical is proposed.
  • Shengping Wang, Shihui Hou, Chao Wu, Yujun Zhao, Xinbin Ma
    中国化学快报. 2019, 30(02): 398-402. https://doi.org/10.1016/j.cclet.2018.06.021
    摘要 ( ) PDF全文 ( ) HTML 可视化 收藏
    A series of efficient ruthenium chloride (RuCl3)-anchored MOF catalysts, such as RuCl3@MIL-101(Cr)-Sal, and RuCl3@MIL-101(Cr)-DPPB, have been successfully synthesized by post-synthetic modification (PSM) of the terminal amino of MIL-101(Cr)-NH2 with salicylaldehyde, 2-diphenylphosphinobenzaldehyde (DPPBde) and anchoring of Ru(Ⅲ) ions. The stronger coordination electron donor interaction between Ru(Ⅲ) ions and chelating groups in the RuCl3@MIL-101(Cr)-DPPB enhances its catalytic performance for CO2 hydrogenation to formic acid. The turnover number (TON) of formic acid was up to 831 in reaction time of 2 h with dimethyl sulfoxide (DMSO) and water (H2O) as mixed solvent, trimethylamine (Et3N) as organic base, and PPh3 as electronic additive.
  • Hechen Wang, Tianjiao Li, Yongrui Bao, Shuai Wang, Xiansheng Meng
    中国化学快报. 2019, 30(02): 403-405. https://doi.org/10.1016/j.cclet.2018.08.016
    摘要 ( ) PDF全文 ( ) HTML 可视化 收藏
    A multifunctional integrated microfluidic biochip device was engineered to estimate the activity-toxicity and composition principle of medicine in a cell model in vitro. This biochip could be used for disease cells and healthy cells in two modules of “Yin-Yang” on the same chip for detecting the medicine efficacytoxicity simultaneously, as well as adjust different gradient ratios of concentration through the Christmas tree structure in both “Yin-Yang” modules autonomously for detecting the best compatibility of medicine in maximum efficacy and minimal toxicity. In the applicability experiment, the best concentration of three chemical compounds including dinatin, diosmetin and cisplatin, were detected using the biochip and traditional 96-cell plate. Biochip assays showed perfect positive correlation compared with the results of traditional 96-cell plate, in addition presented advantages as less detection time and much lower price than the traditional 96-cell plate, which indicated the biochip is both convenient and feasible. Thus, the novel microfluidic chip-based multifunctional integrated system congregated the virtues of high throughput, rapid, sensitive, specific, cost-effective, and similar to the physical environment of the human body, which was especially suitable for the medicine efficacy-toxicity and compatibility evaluation.
  • Shenquan Guo, Niuniu Zhang, Xiangzheng Tang, Zhifeng Mao, Xuejing Zhang, Ming Yan, Yining Xuan
    中国化学快报. 2019, 30(02): 406-408. https://doi.org/10.1016/j.cclet.2018.08.021
    摘要 ( ) PDF全文 ( ) HTML 可视化 收藏
    An efficient synthesis of β-alkoxycarbonyl vinylsulfonium salts had been developed. Their reaction with indene-1,3-diones and other active methylene compounds provided cyclopropane carboxylates in good yields. A tentative reaction mechanism was proposed.
  • Yaoyao Wang, Jun Shen, Qun Chen, Liang Wang, Mingyang He
    中国化学快报. 2019, 30(02): 409-412. https://doi.org/10.1016/j.cclet.2018.09.009
    摘要 ( ) PDF全文 ( ) HTML 可视化 收藏
    A nickel-catalysed reduction of phenol derivatives activated by 2,4,6-trichloro-1,3,5-triazine (TCT) in ecofriendly 2-methyltetrahydrofuran (2-MeTHF) is described. The phenol-TCT derivatives were readily prepared using grinding method in short time without further purification. This catalytic system allowed the facile C-O cleavage of phenol-TCT derivatives under mild reaction conditions with high efficiency and good functional group tolerance. Gram-scale reaction was also achieved. Particularly, sequential functionalization of phenol-TCT derivatives followed by C-O bond reduction could also be realized, affording the high value-added products in moderate to good yields.
  • Hongjian Wang, Kai Lv, Xiaoning Li, Bo Wang, Apeng Wang, Zeyu Tao, Yunhe Geng, Bin Wang, Menghao Huang, Mingliang Liu, Huiyuan Guo, Yu Lu
    中国化学快报. 2019, 30(02): 413-416. https://doi.org/10.1016/j.cclet.2018.08.005
    摘要 ( ) PDF全文 ( ) HTML 可视化 收藏
    We report herein the design and synthesis of a series of novel nitrobenzamide derivatives. Results reveal that many of them display considerable in vitro antitubercular activity. Four N-benzyl or N-(pyridine-2-yl)methyl 3,5-dinitrobenzamides A6, A11, C1 and C4 have not only the same excellent MIC values of <0.016 μg/mL against both drug-sensitive MTB strain H37Rv and two drug-resistant clinical isolates as PBTZ169 and the lead 1, but also acceptable safety indices (SI > 1500), opening a new direction for further development.
  • Weijie Liu, Jiao Li, Kai He, Fangfang Huang, Yi Ma, Yuxin Li, Qingshan Li, Fengbo Xu
    中国化学快报. 2019, 30(02): 417-420. https://doi.org/10.1016/j.cclet.2018.05.023
    摘要 ( ) PDF全文 ( ) HTML 可视化 收藏
    To study the pesticide effect, action mode, structure-activity relationships (SARs) of anthranilic diamide insecticide and screen highly active pesticides, novel anthranilic diamide derivatives were synthesized. Bioassays indicated that all of the title compounds displayed 100% mortality against diamondback moth and oriental armyworm at 100 mg/L, among which 12v and 12w showed 100% insecticidal acitvity at 5 mg/L. Surprisingly compound 12w exhibited better insecticidal acitvity than commercialized chlorantraniliprole against Pyrausta nubilalis (0.1 mg/L) and Cnaphalocrocis Medinalis (2 mg/L). 3D-QSAR and SARs statistical analysis revealed that title compounds with R2 fixed as methoxy had the highest probability possessing high activity. The calcium fluorescence measurements on neurons revealed that E series compounds containing pyrazinyl may have a molecular target different from caffeine on ryanodine receptors rather than the voltage-gated calcium channel present on cytomembran.
  • Junmei Xia, Wenjing Wang, Xin Hai, Shuang E, Yang Shu, Jianhua Wang
    中国化学快报. 2019, 30(02): 421-424. https://doi.org/10.1016/j.cclet.2018.07.008
    摘要 ( ) PDF全文 ( ) HTML 可视化 收藏
    In general, copper nanoclusters (CuNCs) possess very low or even virtually no bactericidal effect. Herein, we report a novel CuNCs possessing significantly high antibacterial activity, that is tannic acid (TA) capped CuNCs (TA-CuNCs). TA-CuNCs exhibit strong absorption and excitation-dependent fluorescence within pH 2-12, resulting from the functional groups of TA-CuNCs due to two prototropic equilibria, phenol↔phenolate and carboxylic↔carboxylate. There exists synergistic effect of TA and copper nanoclusters which endows TA-CuNCs remarkable antibacterial capability as a microbicide, as characterized by the effective inhibition on the growth of gram-positive bacteria by damaging the cell membrane. By incubating 1×107 CFU/mL of gram-positive bacteria Staphylococcus aureus and Bacillus subtilis with 30 μg/mL of TA-CuNCs for 10 min, the bacteria are completely inhibited, while under same conditions the viabilities of gram-negative bacteria Escherichia coli O157:H7 and Pseudomonas aeruginosa remain 85.0%, 72.0%, respectively. In addition, TA-CuNCs exhibit low cytotoxicity and favorable biocompatibility demonstrated by standard methyl thiazolyl tetrazolium (MTT) assay with HepG2 and 293 T cells, giving rise to cell viability of 94.2% for HepG2 and 96.7% for 293 T by incubating 106 cell/mL with 200 μg/mL of TA-CuNCs for 24 h. These results make TA-CuNCs a potential alternative as bactericide for infection treatment caused by gram-positive bacteria.
  • Zhehui Zhao, Apeng Wang, Xiaoxi Zhang, Shuang Yang, Zhigang Luo, Pingsheng Lei
    中国化学快报. 2019, 30(02): 425-427. https://doi.org/10.1016/j.cclet.2018.04.014
    摘要 ( ) PDF全文 ( ) HTML 可视化 收藏
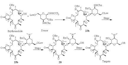
    A new and facile procedure was developed to synthesize novel 5-O-(6'-O-modified)-desosamine 14-membered ketolides by adopting different protective strategies and comparing various glycosylation conditions. Two trichloroacetimidate donors, with Lev or Ac substituent groups at the C-6 position, were synthesized to couple with the erythronolide. Several novel 5-O-(6'-O-modified)-desosamine 14-membered ketolides were obtained to verify the utility of the method.
  • Xikang Zheng, Xiaoqing Zheng, Chen Zhang, Qingying Zhang, Yong Jiang, Pengfei Tu
    中国化学快报. 2019, 30(02): 428-430. https://doi.org/10.1016/j.cclet.2018.09.011
    摘要 ( ) PDF全文 ( ) HTML 可视化 收藏
    Phytochemical investigation on the roots and rhizomes of Notopterygium incisum led to the isolation of a new polyacetylene, notopolyenol A (1), along with thirteen known analogues (2-14). Their structures were elucidated by extensive analyses of NMR and HRMS data, and the absolute configuration of 1 was unambiguously determined as 3R by comparison of its retention time and ECD curve with those of synthetic enantiomers (-)-1 and (+)-1, whose absolute configurations were established by using the modified Mosher's method. Subsequent activity screening revealed that (3S)-1 exhibited the most significant cytotoxicity against MCF-7, H1299, and HepG2 cancer cells with IC50 values of 1.3 μmol/L, 0.6 μmol/L and 1.4 μmol/L, respectively.
  • Yanchao Xu, Liping Wang, Guoliang Zhu, Mingxing Zuo, Qianyu Gong, Wenwen He, Mingpeng Li, Chunmao Yuan, Xiaojiang Hao, Weiming Zhu
    中国化学快报. 2019, 30(02): 431-434. https://doi.org/10.1016/j.cclet.2018.08.015
    摘要 ( ) PDF全文 ( ) HTML 可视化 收藏
    Citridones E-G (1-3), three new phenylpyridone derivatives together with two known curvularins (4 and 5) were isolated from the solid culture of the endophytic fungus Penicillium sumatrense GZWMJZ-313 in Garcinia multiflora. The structures of new compounds were determined in the light of spectroscopic data, X-ray and ECD calculation. Compounds 1 and 3 are racemates, while compound 2 is optically pure. Compounds 1 and 4 showed antibacterial and antifungal activities against Staphylococcus aureus, Pseudomonas aeruginosa, Clostridium perfringens, Escherichia coli and Candida albicans with MIC values ranging from 8 μg/mL to 64 μg/mL.
  • Min Zhang, Jiamin Feng, Xiaona Jia, Jinlian Zhao, Jimei Liu, Ridao Chen, Kebo Xie, Dawei Chen, Yan Li, Dan Zhang, Jungui Dai
    中国化学快报. 2019, 30(02): 435-438. https://doi.org/10.1016/j.cclet.2018.04.031
    摘要 ( ) PDF全文 ( ) HTML 可视化 收藏
    Bistachybotrysins D and E (1 and 2), one stereoisomeric pair of phenylspirodrimane dimers, were isolated from Stachybotrys chartarum CGMCC 3.5365. They represent novel phenylspirodrimane dimers with a central [6,5,6]-tricyclic carbon scaffold containing a cyclopentanone core. The structures of 1 and 2 were elucidated through extensive spectroscopic data analysis, and their absolute configurations were characterized by calculated electronic circular dichroism (ECD). Compounds 1 and 2 displayed potent cytotoxic activity against the four human tumor cell lines HCT116, BGC823, Daoy and HepG2 with IC50 values ranging from 6.7 μmol/L to 11.6 μmol/L. Furthermore, a plausible biogenetic pathway for 1 and 2 is proposed.
  • Jianlin Xu, Haibo Tan, Yuchan Chen, Saini Li, Heng Guo, Zilei Huang, Haohua Li, Xiaoxia Gao, Hongxin Liu, Weimin Zhang
    中国化学快报. 2019, 30(02): 439-442. https://doi.org/10.1016/j.cclet.2018.09.018
    摘要 ( ) PDF全文 ( ) HTML 可视化 收藏
    Lithocarpinols A (1) and B (2), a pair of tenellone diastereoisomers with novel fused skeleton were isolated from the deep-sea derived fungus Phomopsis lithocarpus FS508. Their structures were elucidated by comprehensive spectroscopic analyses, X-ray diffraction and quantum molecular calculation. Their plausible biogenetic pathway featured an intriguing carbonyl-ene cyclization. Lithocarpinol A exhibited moderate inhibitory effect against HepG-2 and A549 tumor cell lines with IC50 values of 9.4 μmol/L and 10.9 μmol/L, respectively.
  • Yujiao Zhang, Kebo Xie, Aijing Liu, Ridao Chen, Dawei Chen, Lin Yang, Jungui Dai
    中国化学快报. 2019, 30(02): 443-446. https://doi.org/10.1016/j.cclet.2018.05.010
    摘要 ( ) PDF全文 ( ) HTML 可视化 收藏
    Enzymatic glycosylation catalyzed by glycosyltransferases (GTs) has great potential in creating diverse novel and bioactive glycosides. Herein, three new GTs (UGT84A33, UGT71AE1 and UGT90A14) from Carthamus tinctorius exhibited robust catalytic promiscuity to benzylisoquinoline alkaloids, and were used as enzymatic tools in glycosylation of bioactive benzylisoquinoline alkaloids. Seven novel benzylisoquinoline alkaloids O-glycosides were synthesized with high efficiency. These studies indicate the significant potential of promiscuous GTs in synthesis of benzylisoquinoline alkaloids glycosides for drug discovery.
  • Jiwu Huang, Chuangjun Li, Junzi Cao, Jie Ma, Yiqian Du, Xinyi Liu, Jingzhi Yang, Dongming Zhang
    中国化学快报. 2019, 30(02): 447-450. https://doi.org/10.1016/j.cclet.2018.04.015
    摘要 ( ) PDF全文 ( ) HTML 可视化 收藏
    Two new triterpenoid saponins named notoginsenoside-Ng3 (1) and notoginsenoside-Ng4 (2) along with three known saponins (3-5), were isolated from a water extract of the leaves of Panax notoginseng. Their structures were elucidated by HRESIMS, NMR, X-ray techniques and acid hydrolysis. Moreover, compound 2 was characterized with the conjugated double bonds side-chain, which was rarely found in this plant. The absolute configuration of notoginsenoside Fa (3) with five sugars was confirmed by the single-crystal X-ray diffraction for the first time. Acetylcholinesterase inhibitory activity experiments were also conducted, all the isolated saponins showed weak inhibitory activities in the final concentration of 0.16 mmol/L.
  • Zhongnan Wu, Yubo Zhang, Wen Li, Nenghua Chen, Qianwen Niu, Yingying Li, Qingguo Li, Dan Yang, Yaolan Li, Guocai Wang
    中国化学快报. 2019, 30(02): 451-453. https://doi.org/10.1016/j.cclet.2018.05.038
    摘要 ( ) PDF全文 ( ) HTML 可视化 收藏
    Four new ent-kaurane diterpenes with chiral epoxyangelate moieties, (2'R,3'R)-3α-(2',3'-epoxyangeloyloxy)-kaur-16-en-19-oic acid (1), (2'S,3'S)-3α-(2',3'-epoxyangeloyloxy)-kaur-16-en-19-oic acid (2), (2'S,3'S)-3α-(2',3'-epoxyangeloyloxy)-kaur-16-en-19-oic acid (3) and (2'R,3'S)-3α-(2',3'-epoxyangeloyloxy)-kaur-16-en-19-oic acid (4), along with eight known diterpenes (5-12), were isolated from Wedelia prostrata. The absolute configurations of the new structures were determined by X-ray crystallography, ECD calculations and chemical methods. All compounds were evaluated for their cytotoxicity activities on human HepG-2 cells, with IC50 values of 11.72±0.22 μmol/L to 54.75±1.12 μmol/L.
  • Shengrui Zhang, Qin Wang, Jiajun Yang, Xiao-Feng Yang, Zheng Li, Hua Li
    中国化学快报. 2019, 30(02): 454-456. https://doi.org/10.1016/j.cclet.2018.03.011
    摘要 ( ) PDF全文 ( ) HTML 可视化 收藏
    A photocalibrated NO donor, N-nitrosated rhodamine 6G acid (NOG) was designed for monitoring the kinetics or the dose of NO release in a real-time fashion with spectroscopic methods Upon irradiation, a drastic fluorescence turn-on was observed, and the NO release from NOG was not interfered by biothiols. Furthermore, this NO donor enabled time- and site-controlled NO release in living cells. With these merits, NOG can be a useful molecular tool in NO biology.
  • Chenguang Liu, Wenchen Zheng, Ruoxiao Xie, Yupeng Liu, Zhe Liang, Guoan Luo, Mingyu Ding, Qionglin Liang
    中国化学快报. 2019, 30(02): 457-460. https://doi.org/10.1016/j.cclet.2018.09.010
    摘要 ( ) PDF全文 ( ) HTML 可视化 收藏
    Aqueous microdroplets are of significant interest in biological fields, while the employment of water-inoil (w/o) emulsion and lack of spatial control precluded its widespread application. Herein a novel microfluidic approach is developed to generate water-in-water (w/w) microdroplets embedded in hydrogel microfibers. Aqueous two phase system (ATPS) is applied to generate w/w droplets, and alginate is introduced to continuous phase to form microfibers, which offers spatial restriction and manipulation possibility to droplets. The size and pattern of aqueous droplets can be precisely controlled, and immobilization within hydrogel fiber facilitates easy manipulation and observation. The microdroplets surrounded by hydrophilic environment can act as a cell-cell interaction model, and their potential for biological and environmental applications are demonstrated by long-term culture of encapsulated cells and water remediation of Bacillus subtilis.
  • Yiwei Lv, Tiegang Li, Chengan Guo, Chenglong Sun, Fei Tang, Luojiao Huang, Zhigang Luo, Xin Li, Ruiping Zhang, Qingce Zang, Jiuming He, Zeper Abliz
    中国化学快报. 2019, 30(02): 461-464. https://doi.org/10.1016/j.cclet.2018.06.006
    摘要 ( ) PDF全文 ( ) HTML 可视化 收藏
    Mass spectrometry imaging (MSI) technology can simultaneously obtain the spatial distribution of thousands of chemical compounds and has unique advantages compared to other techniques that allow mapping the surface of bio-tissue. Here, we combined an air flow-assisted desorption electrospray ionization (AFADESI) MSI device with a high-resolution mass spectrometer to optimize the system parameters and achieve more accurate spatial distribution characteristics for compounds of interest while investigating bio-tissue sections. The platform set-up, required instrumentation, sample pretreatment, parameter optimization and bio-tissue characterization are described and discussed. Finally, the parameter conditions that can provide optimal ionic intensity and enhanced resolution were confirmed. The reasonable resolution and sensitivity improvements of AFADESI-MSI have been achieved through tandem a high-resolution mass spectrometer system, therefore, it would be a promising technique for the bio-tissue imaging analysis.
  • Peng Yao, Zhongping Huang, Qiulian Zhu, Zuoyi Zhu, Lili Wang, Yan Zhu
    中国化学快报. 2019, 30(02): 465-469. https://doi.org/10.1016/j.cclet.2018.03.029
    摘要 ( ) PDF全文 ( ) HTML 可视化 收藏
    An approach for preparation of a novel composite anion exchanger composed of polystyrene/ divinylbenzene (PS/DVB) beads and quaternized nanodiamods (QND) were proposed. Oxidized nanodiamonds (OND) were quaternized by the condensation polymerization between methylamine (MA) and 1,4-butanediol diglycidyl ether (BDDE), which were characterized by Fourier transform infrared (FTIR) spectra, X-ray phtoelectron spectroscopy (XPS), thermogravimetric analysis (TGA). QND with layers of cationic polyelectrolyte was attached onto the surface of sulfonated PS/DVB beads electrostatically. Subsequently, hyperbranched reaction of QND agglomerated on the PS/DVB bead surface was performed by the alternate reaction between MA and BDDE to increase the exchange capacity. The composite anion exchanger showed good stability in organic solvent and a wide pH range. The surface of these microspheres was characterized by scanning electron microscopy. In addition, ion exchange selectivity and separation efficiency of the anion exchangers were assessed using the mixtures of anions (F-, Cl-, NO2-, Br-, NO3-, HPO42- and SO42-) with carbonate/bicarbonate as eluent, and the anion exchanger with high exchange capacity could be used to analyze chloride in aqueous solution with high concentration of fluoride. This work explores the potential of nanodiamods as an agglomerated material for ion chromatography stationary phases for the separation of inorganic anions.
  • Sainan Zhang, Feifang Zhang, Bingcheng Yang, Xinmiao Liang
    中国化学快报. 2019, 30(02): 470-472. https://doi.org/10.1016/j.cclet.2018.04.013
    摘要 ( ) PDF全文 ( ) HTML 可视化 收藏
    A reversed phase (RP)/hydrophilic interaction (HILIC)/ion exchange (IEX) mixed tri-mode stationary phase (TMSP) has been prepared via a divergent synthesis scheme starting from propylamine on silica then by amine-epoxy reactions with 1,4-butanedioldiglycidyl ether and tertiary amines (N,N-dimethyldecylamine, DMDA). Its retention mechanism was found to follow RP/HILIC/IEX mixed-mode. The stop-flow test revealed that TMSP had good compatibility with 100% aqueous mobile phase. It demonstrated effective separation towards several kinds of compounds or drug molecules and their counterions within a single run.
  • Xiaolin Shi, Jingyang Jiang
    中国化学快报. 2019, 30(02): 473-476. https://doi.org/10.1016/j.cclet.2018.01.040
    摘要 ( ) PDF全文 ( ) HTML 可视化 收藏
    Lithium amides have been proved to be effective anionic initiators for the anionic polymerization of acrylonitrile to get high molecular weight polyacrylonitrile in this study. Polyacrylonitrile with weightaverage molecular weight ranging from 1.02×106 g/mol to 1.23×106 g/mol (Mw/Mn=1.9-2.2) could be prepared utilizing lithium amides derived from diisopropylamine, diethylamine, hexamethyldisilazane, dicyclohexylamine, and 2,2,6,6-tetramethylpiperidine as initiators. The polymerization of acrylonitrile proceeded in a homogeneous manner in N,N-dimethylformamide and insignificant contribution of side reactions was confirmed.
  • Tongbing Sun, Xiaoli Yang, Caizhen Zhu, Ning Zhao, Haixia Dong, Jian Xu
    中国化学快报. 2019, 30(02): 477-480. https://doi.org/10.1016/j.cclet.2018.07.014
    摘要 ( ) PDF全文 ( ) HTML 可视化 收藏
    Self-assembly of homo-polymers has rarely been reported. Herein, PAA-NH4 assemblies varying from nanospheres to large particles and yolk-shell vesicles were obtained by adding different amount of HCl solution into the dispersion of PAA-NH4 in ethanol. The changes of zeta potentials, pH value and microstructure of the PAA-NH4 assemblies were characterized, and the influences of molecular weight and different alcohols on the assembly morphologies were studied. A possible assembly mechanism based on the solubility and electrostatic interaction was proposed. Our study offered an interesting example of homo-polymer assembly and may extend the practical application due to the simple polymers used.
  • Yuanwen Zou, Wei Zhang, Hongqiao Zhou, Changhui Fu, Longfei Tan, Zhongbing Huang, Xiangling Ren, Jun Ren, Xudong Chen, Xianwei Meng
    中国化学快报. 2019, 30(02): 481-484. https://doi.org/10.1016/j.cclet.2018.06.016
    摘要 ( ) PDF全文 ( ) HTML 可视化 收藏
    Although surgical resection and chemotherapy were widely applied in tumor therapy, the dysfunction of normal cells resulted in the side effects (such as anorexia, nausea). MW thermal therapy is a non-invasive anticancer strategy under the help of MW sensitizer, with the safety and higher efficacy. Zirconium metal-organic framework nanocubes (ZrMOF NCs) modified with polyethylene glycol, were prepared via one pot method and carbodiimide technique, resulting in their large specific surface area and porosity. Our results showed that non-ion-loaded ZrMOF NCs in 0.9% NaCl solution exhibited better heating effect, higher than that in pure water, due to the robust collision among the ions under MW irradiation. The in vivo experiments confirmed that ZrMOF-PEG NCs + MW group exhibited the higher temperature in the tumor region than that of only MW treatment, suggesting a better MW thermal therapeutic anticancer efficacy. This work provides a new preparation strategy of biosafety nanomaterial as MW sensitizer for enhancing MW thermal anticancer therapy.
  • Qihong Liu, Hao Wang, Guotao Li, Miaochang Liu, Jinchang Ding, Xiaobo Huang, Wenxia Gao, Huayue Wu
    中国化学快报. 2019, 30(02): 485-488. https://doi.org/10.1016/j.cclet.2018.06.009
    摘要 ( ) PDF全文 ( ) HTML 可视化 收藏
    A photocleavable low-molecular-weight hydrogelator (LMWG) was synthesized based on coumarin derivative. 1H NMR and UV spectroscopy study suggested that the gelator had good gelling ability, and the driving force for the gelation were hydrogen bonding and π-π stacking. This molecular hydrogel exhibited satisfied photocleavage at C-N bond in 7-amino coumarin with the light irradiation (365 nm, 77.5 mW/cm2). The promising photo-triggered drug release of antineoplastics cytarabine hydrochloride has been obtained, due to the photocleavage motived gel-sol transition.
  • Xiangming Li, Yihe Zhang, Zequn Ma, Chengjun He, Yaling Wu, Qi An
    中国化学快报. 2019, 30(02): 489-493. https://doi.org/10.1016/j.cclet.2018.03.019
    摘要 ( ) PDF全文 ( ) HTML 可视化 收藏
    An effective cancer nanodrug not only needs to load a large fraction of pharmaceutical molecules and release them in responsive ways, to function as imaging and photothermal agents, but also needs to possess the favorable morphologies that are favored by the EPR effect of cancer tissues. In this study, we designed a spherical nanodrug by forming clusters using DOX and a polymer-engineered rGO. These spherical nanodrugs had a diameter of around 750 nm and assumed both functionalities of chemical therapy and the photothermal effect. In addition, this nanodrug featured a high-loading capability of DOX, a pH-responsive release profile, a self-fluorescent capability, and an effective accumulation in cancer cells. The layer-by-layer assembly of three cycles of polyethylene glycol (PEG) and polyacrylic acid (PAA) around the rGO core was indispensable in achieving a chemically-modified rGO precursor that assembled with DOX to produce the spherical nanodrug. The spherical nanodrug effectively decreased cell viability upon NIR irradiations.
  • Yamei Li, Yujun Zhao, Shengping Wang, Xinbin Ma
    中国化学快报. 2019, 30(02): 494-498. https://doi.org/10.1016/j.cclet.2018.04.012
    摘要 ( ) PDF全文 ( ) HTML 可视化 收藏
    The dehydration of 2-picolinamide to produce 2-cyanopyridine was investigated thoroughly using silica supported potassium oxide as a heterogeneous catalyst. Both large specific surface area and pore size of SiO2 (B) contributed to the favorable catalytic performance for the synthesis of 2-CP. In addition, the yield of 2-CP showed the linear relationship with the amounts of medium basicity of the catalysts, demonstrating that medium basic sites were the active sites of silica supported potassium oxide catalysts. The catalysts were further characterized by XRD and FT-IR to clarify the active species. The results indicated the Si-O-K group produced by the reaction of K2CO3 with Si-OH was the active species, which was further evidenced by the adjustment of the amount of Si-OH by silylation and hydroxylation procedure.
  • Kai Li, Kunhuan He, Quanwen Li, Bin Xia, Qinglun Wang, Yinghui Zhang
    中国化学快报. 2019, 30(02): 499-501. https://doi.org/10.1016/j.cclet.2018.05.001
    摘要 ( ) PDF全文 ( ) HTML 可视化 收藏
    A new metal-organic framework (MOF), {[Zn7(BPS)4(OH)6(H2O)2]·5H2O]n} (1), (H2BPS = 4,4'-bibenzoic acid-2,2'-sulfone), based on a wavy and infinite chain-shaped secondary building units, has been synthesized under solvothermal conditions and characterized by single crystal X-ray diffraction and further confirmed by PXRD, TGA and IR spectrum. The solid-state emission spectra reveal that compound 1 presents strong luminescence emission bands at room temperature. The fluorescent properties of compound 1 in diverse organic solvents indicated that 1 has palpable luminescent sense effects for DMF and DMAC.
  • Xuefeng Zhang, Yu Guo, Yijia Li, Yong Liu, Shangli Dong
    中国化学快报. 2019, 30(02): 502-504. https://doi.org/10.1016/j.cclet.2018.07.007
    摘要 ( ) PDF全文 ( ) HTML 可视化 收藏
    A potassium titanate-Ti3C2Tx nanocomposite was synthesized using a facile, low-temperature and environmentally friendly process. The morphology and microstructure of the as-prepared samples were analyzed by means of XRD, SEM, TEM, and XPS. The tribological property of the nanocomposite as additive in base oil was evaluated. The results reveal that the in-situ formed potassium titanate nanowires with average diameter of 30 nm and the uniform distribution on the surface of Ti3C2Tx nanosheets. Compare to Ti3C2Tx nanosheets, the average friction coefficient and wear scar width of the oil containing potassium titanate-Ti3C2Tx nanocomposites are decreased by 4.9% and 22% under the same conditions. The excellent tribological performance is attributed to the synergic effects of the two components in the nanocomposite structure.
  • Zeyao Zhang, Yitan Li, Sheng Zhu, Xiyan Liu, Xiulan Zhao, Meihui Li, Haoyu Li, Feng Yang, Yan Li
    中国化学快报. 2019, 30(02): 505-508. https://doi.org/10.1016/j.cclet.2018.06.008
    摘要 ( ) PDF全文 ( ) HTML 可视化 收藏
    Controlled growth of patterned single-walled carbon nanotubes (SWNTs) is an important issue in many applications. Herein, we demonstrated a method to pattern catalyst via inkjet printing for the growth of SWNTs, using metal salt solutions as the inks and an ordinary office-use printer. We printed water solutions of cobalt acetate on hydrophilic Si substrates and grew high quality SWNT films. The composition of the precursor solutions and the hydrophilicity of the substrates were crucial factors to the patterning.
  • Daibing Luo, Shanhu Liu, Kazuya Nakata, Akira Fujishima
    中国化学快报. 2019, 30(02): 509-512. https://doi.org/10.1016/j.cclet.2018.06.010
    摘要 ( ) PDF全文 ( ) HTML 可视化 收藏
    In this research a novel electrochemical system using dual boron-doped diamond (BDD) electrodes as the anode and cathode, for the first time, has been developed for CO2 conversion and wastewater treatment in a synergetic and simultaneous process. On the BDD cathode CO2 is converted into formaldehyde while in the anodic side organic wastes are decomposed on the BDD anode. Interestingly, when potassium hydrogen phthalate (KHP) was used as the organic model to be degraded in the anodic side, a higher efficiency of formaldehyde generation from CO2 was observed on the BDD cathode. The enhanced effect of formaldehyde formation in the presence of KHP oxidation suggests that this novel electrochemical system can combine conversion of CO2 to the form of high-value chemicals and wastewater purification in a simultaneous and harmonious process.
  • Zhitao Zhang, Na Zhao, Kui Ma, Qingpeng Cheng, Jing Zhang, Lirong Zheng, Ye Tian, Xingang Li
    中国化学快报. 2019, 30(02): 513-516. https://doi.org/10.1016/j.cclet.2018.05.032
    摘要 ( ) PDF全文 ( ) HTML 可视化 收藏
    Herein, we prepared a series of H-Zn-mordenite (H-Zn-MOR) catalysts by adding zinc source into the initial sols during the synthesis of mordenite (MOR). The results indicated that isolated Zn ions were highly dispersed in the catalysts. The addition of zinc led to the increase of Si/Al in the framework of MOR, the change of the distribution of acid sites and the change of acid strength. We investigated the catalytic performance of the H-Zn-MOR catalysts and the HMOR catalysts for carbonylation of dimethyl ether to methyl acetate. The addition of zinc improved the catalytic performance and made the drop of the conversion over the Zn-0.003 and Zn-0.005 catalysts to be about the half of that over the HMOR catalyst. We attributed it to the change of the acid properties, which further change the rate of coke deposition.
  • Hanqing Dai, Wenqian Xu, Kehan Yu, Wei Wei
    中国化学快报. 2019, 30(02): 517-520. https://doi.org/10.1016/j.cclet.2018.06.020
    摘要 ( ) PDF全文 ( ) HTML 可视化 收藏
    NaTi2(PO4)3 (NTP) nanocrystals with high room-temperature ionic conductivity of 1.1×10-3 S/cm were prepared by a concise solvothermal method at 140℃ for 3 h, and the aspect ratios of all the NTP nanocrystals are the closest to 0.7. It implies a moderate size-distribution of NTP nanocrystals obtained at 140℃ for 3 h is helpful for increasing packing density, and the packing density is the larger, so its conductivity is the higher. The controllability over size and morphology of the NTP nanocrystals via solvothermal temperature and time were investigated. The results suggest that our method is of great potential in synthesizing NTP nanocrystals with high room-temperature ionic conductivity at low cost.
  • Yawei Chen, Shuzhang Niu, Wei Lv, Chen Zhang, Quanhong Yang
    中国化学快报. 2019, 30(02): 521-524. https://doi.org/10.1016/j.cclet.2018.04.019
    摘要 ( ) PDF全文 ( ) HTML 可视化 收藏
    As polar materials, transition-metal oxides have shown great potentials to improve the adsorption of lithium polysulfides in lithium-sulfur batteries. Herein, a MoO2-ordered mesoporous carbon (M-OMC) hybrid was designed as the sulfur host, in which MoO2 is inlaid on the surface of ordered mesoporous carbons that can store active materials and provide fast electron transfer channel due to its ordered pore structure. The MoO2 can effectively prevent the migration of polysulfides through the chemical adsorption and promote the conversion of polysulfides towards Li-sulfur battery.
  • Zhenguang Gao, Shaojian Zhang, Zhigen Huang, Yanqiu Lu, Weiwei Wang, Kai Wang, Juntao Li, Yao Zhou, Ling Huang, Shigang Sun
    中国化学快报. 2019, 30(02): 525-528. https://doi.org/10.1016/j.cclet.2018.05.016
    摘要 ( ) PDF全文 ( ) HTML 可视化 收藏
    Lithium metal, the ideal anode material for next-generation high-energy batteries, suffers from the severe safety problem of Li dendrites. Herein, we report a simple approach to effectively maintain the morphology of Li-metal anode and enhance the cycling performance of Li batteries by surface coating of a porous polyvinylidene fluoride (PVDF) thin film. In symmetrical cells testing, the cells with the Li@PVDF electrode display stable cycling performance more than 1300 h (650 cycles) at the current density of 0.5 mA/cm2 with a stripping/plating capacity of 0.5 mAh/cm2. The results with full cells employing Li@PVDF anode and LiFePO4 cathode show a good cycling ability with a capacity retention of 80.0% after 500 cycles at 4 C and an excellent rate capability with a high capacity of 78.4 mA h/g even at a high rate of 10 C.
  • Huagen Li, Shubin Wang, Mengjie Feng, Jiping Yang, Boming Zhang
    中国化学快报. 2019, 30(02): 529-532. https://doi.org/10.1016/j.cclet.2018.06.024
    摘要 ( ) PDF全文 ( ) HTML 可视化 收藏
    To meet the requirements for the mechanical and electrochemical performance for carbon fiber-based (CF-based) composites in the structural lithium ion batteries (SLIBs) application, better CF-Based composites are urgently needed. Herein, we report a novel composite metal organic framework (MOF)-derived ZnCo2O4/C@carbon fiber via a facile method and subsequent annealing treatment. In this anode, the nano ZnCo2O4/C coatings wrapped on the surface of CF provide more active sites for electrode reactions and the thin carbon layers give the additional protection. For this material, after 100 cycles, it exhibits excellent cycling stability including high reversible capacity of 463 mA h/g at 50 mA/g, which increases 201% than that of the CF. Thus, this structural anode material exhibits enhanced capacity, high initial columbic efficiency.