本期目录

2018年, 第29卷, 第07期 刊出日期:2018-07-22
  

  • 全选
    |
  • Xuechen Li, Lei Liu, Yanmei Li
    中国化学快报. 2018, 29(07): 999-1000. https://doi.org/10.1016/j.cclet.2018.06.004
    摘要 ( ) PDF全文 ( ) HTML 可视化 收藏
  • 评论
  • Xi Lu, Shi-Jiang He, Wan-Min Cheng, Jing Shi
    中国化学快报. 2018, 29(07): 1001-1008. https://doi.org/10.1016/j.cclet.2018.05.011
    摘要 ( ) PDF全文 ( ) HTML 可视化 收藏
    Late-stage modification of peptides and proteins meets the increasing demand in biochemical and pharmaceutical communities. These modification strategies could provide functionalized nonproteinogenic analogues with enhanced biological activities or improved therapeutic capabilities compared to their natural counterparts. Recent years, transition-metal-promoted functionalization of ubiquitous C-H bonds has been emerged as a powerful and tunable tool in this area, both for backbone diversifications and labeling of specific moieties. These reactions were flexible and expedient in both academic and industrial laboratories, especially considering their atom and step-economy, good functional group compatibility, accurate site selectivity. This review surveys the progress achieved in the late-stage modification of peptides and proteins utilizing transition-metal-catalyzed C-H functionalization with C-C and C-X (F, Cl, O, N, B, etc.) bonds formation.
  • Silin Xu, Zhenguang Zhao, Junfeng Zhao
    中国化学快报. 2018, 29(07): 1009-1016. https://doi.org/10.1016/j.cclet.2018.05.024
    摘要 ( ) PDF全文 ( ) HTML 可视化 收藏
    Artificial synthesis and site-specific modification of peptides and proteins has evolved into an indispensable tool for protein engineers and chemical biologists. Chemical and enzymatic approaches to peptide ligation are important alternatives of recombinant DNA technology for protein synthesis and modification. Although as old as that of chemical procedures, enzyme-mediated peptide ligation is far less developed than that of chemical counterpart due to the difficult availability of peptide ligase. Fortunately, this situation has been changed slowly with the fast development of biological techniques. In the past decades, several natural peptide ligases have been discovered. Protein engineering to improve the ligation efficiencies of the natural peptide ligase and to reverse the functionality of protease provide more powerful peptide ligases. In this review, the advances of enzyme-mediated peptide ligation and their application in protein synthesis and modification will be discussed.
  • Shaomin Lin, Chunmao He
    中国化学快报. 2018, 29(07): 1017-1021. https://doi.org/10.1016/j.cclet.2018.05.006
    摘要 ( ) PDF全文 ( ) HTML 可视化 收藏
    Recent years have seen an ever increasing number of enzyme mediated protein/peptide modification reactions, which contribute significantly to the elucidation of related biological functions. The many available enzymes have, however, caused difficulties for practitioners in choosing the most appropriate enzyme for a certain purpose. This review surveyed the widely used enzymes (i.e., sortases, butelase 1, subtiligase, formylglycine generating enzyme and farnesyltransferase) in the manipulation of proteins/peptides, and the application fields of these enzymes as well as the advantages and limitations of each enzyme are summarized.
  • Jian Tang, Jingxia Lu, Qunfeng Luo, Huan Wang
    中国化学快报. 2018, 29(07): 1022-1028. https://doi.org/10.1016/j.cclet.2018.05.004
    摘要 ( ) PDF全文 ( ) HTML 可视化 收藏
    Thioviridamide-like compounds are a unique subfamily of ribosomally synthesized and post-translationally modified peptides and contain characteristic thioamide bonds and S-[(Z)-2-aminovinyl]-Dcysteine (AviCys). Members of this family are active against a number of cancer cell lines. The distribution, biosynthetic machinery and the mode of action of thioviridamide-like compounds remain largely unknown. In this review, we outlined recent advances in the discovery of thioviridamide-like peptide natural products and the effort in the elucidation of their biosynthetic origin.
  • Xinqiang Yin, Jialiang Hu, Hanmei Xu
    中国化学快报. 2018, 29(07): 1029-1032. https://doi.org/10.1016/j.cclet.2018.04.027
    摘要 ( ) PDF全文 ( ) HTML 可视化 收藏
    Smallopenreadingframes(sORFs)aredistributedoverawidevarietyoftranscripts.sORFsencodingfunctional peptides have been identified in various configurations within apparently long noncoding RNAs. Many translated sORFs have been identified across mRNAs, including 5'-upstream, coding domain, and 3'-downstream. sORFs have also been found in circular RNAs, pri-miRNAs, and ribosomal RNAs. Here, we present an overview of the wide distribution of the sORFs in transcripts and their functional roles in organisms.
  • Ge-Min Fang, Xiao-Xu Chen, Qian-Qian Yang, Liang-Jing Zhu, Ning-Ning Li, Hai-Zhu Yu, Xiang-Ming Meng
    中国化学快报. 2018, 29(07): 1033-1042. https://doi.org/10.1016/j.cclet.2018.02.002
    摘要 ( ) PDF全文 ( ) HTML 可视化 收藏
    Recently, medicinal peptide molecules are of great interest to many international pharmaceutical companies, mainly because of their relatively lower research costs, shorter research cycles, and the greater likelihood of being drugs, when compared with traditional small molecules. Due to the great variety in molecule structures and the diverse biological functions, disulfide-rich peptide toxins have become a shining molecular library for the development of polypeptide drugs. In view of the increasing amount of related publications, here we summarize the discovery, structural elucidation and chemical synthesis of disulfide-rich peptide toxins and their analogs.
  • Jun Hu, Pengcheng Zhu, Yanmei Li, Yongxiang Chen
    中国化学快报. 2018, 29(07): 1043-1050. https://doi.org/10.1016/j.cclet.2018.05.035
    摘要 ( ) PDF全文 ( ) HTML 可视化 收藏
    Approximately 30% of human cancers are associated with RAS mutation. Ras proteins on the plasma membrane regulate a plenty of important cellular processes. The post-translational modifications (PTMs) of Ras proteins like lipidation and methylation are crucial for their correct cellular localization and biological function. Hence, obtaining Ras proteins with different kinds of modifications is the necessary prerequisite to investigate their biological properties at molecular level. In this review, we mainly summarize the developed strategies including chemical total synthesis, biosynthesis and semi-synthesis for producing Ras proteins with modifications and their application in biological studies.
  • Jianwei Lin, Xiang David Li
    中国化学快报. 2018, 29(07): 1051-1057. https://doi.org/10.1016/j.cclet.2018.05.017
    摘要 ( ) PDF全文 ( ) HTML 可视化 收藏
    Increasing amount of evidence suggests that post-translational modifications (PTMs) on histones are involved in regulating DNA-associated processes such as gene expression and DNA-damage repair. To identify and characterize proteins that recognize histone PTMs, tools relying on synthetic peptides have been constructed and widely used in recent years. In this review, we first summarize the development and applications of these tools, which includes peptide-based pull-down assay and peptide-array-based high-throughput screening. The limitation of peptide-based approaches is then discussed, followed by a brief description on recent development of nucleosome-based tools.
  • Wing Ho So, Clarence T. T. Wong, Jiang Xia
    中国化学快报. 2018, 29(07): 1058-1062. https://doi.org/10.1016/j.cclet.2018.05.015
    摘要 ( ) PDF全文 ( ) HTML 可视化 收藏
    Light is arguably the most convenient non-invasive stimulant to perturb or control specific chemical reactions in the biological systems. Upon light illumination, photosensitive molecules incur conformational changes or formation/breaking of chemical bonds. Consequently, these molecules can be used to transfer signals from one location to another in the cell, from outside of the cell to the inside, or from a light bulb to the interior of animal tissues. The development of the photochemical reactions of organic compounds has paved the road towards their use in peptides and peptide-based biological applications. In this mini-review, we summarized the state-of-the-art development of photo-protecting groups for peptide photocaging including the un-caging mechanism of different PPGs, the synthesis of photo-caged peptides, and the recent applications of peptide photocaging in chemical biology.
  • Weidong Liu, Chuanliu Wu
    中国化学快报. 2018, 29(07): 1063-1066. https://doi.org/10.1016/j.cclet.2018.03.015
    摘要 ( ) PDF全文 ( ) HTML 可视化 收藏
    Affinity reagents are important tools in the biological sciences for understanding biological processes and for studying protein expression, localization and interactions. However, traditional affinity reagents such as antibodies (and their fragments) and non-immunoglobulin (non-Ig) scaffold binders, usually suffer from problems of poor cellular uptake efficiency, high production cost, and low structural stability. This leads to rapid development of small antibody-like affinity reagents such as scaffold-free cyclic and multicyclic peptides, which usually have 5-30 amino acid residues, thus lying between non-Ig scaffolds and small molecules in size. In this mini-review, we highlight the recent development in mono-and multi-cyclic peptide mimics of antibodies, including cyclic peptide affinity reagents that have been developed for use in antibody-like applications, novel synthetic strategies for multicyclic peptides, and promising peptide library screening platforms. We also provide a perspective on the future development in multicyclic peptide mimics of antibodies.
  • Yang Jiang, Hongyi Long, Yujie Zhu, Yi Zeng
    中国化学快报. 2018, 29(07): 1067-1073. https://doi.org/10.1016/j.cclet.2018.05.028
    摘要 ( ) PDF全文 ( ) HTML 可视化 收藏
    Protein-protein interactions (PPIs) are recognized as attractive therapeutic targets. However targeting PPIs especially intracellular ones has been proven extremely difficult for conventional drug-like small molecules, and biological drugs such as monoclonal antibodies have difficulty in reaching intracellular targets. Macrocyclic peptides are promising candidates of PPI regulators for their potential in combining high potency and biological stability together. Cell permeability of macrocyclic peptides may also be achieved by structural modifications or conjugation to a cell-penetrating sequence. Significant progress has been made in this research area in recent years. Important technology progress and recent examples of macrocyclic peptide PPI modulators are reviewed.
  • Yaohao Li, Kimberly A. Clark, Zhongping Tan
    中国化学快报. 2018, 29(07): 1074-1078. https://doi.org/10.1016/j.cclet.2018.05.027
    摘要 ( ) PDF全文 ( ) HTML 可视化 收藏
    Peptides are a class of drugs that have become increasingly important and influential for the treatment of many human diseases. Compared to traditional small molecule drugs, peptides have the potential for higher target specificity and potency, along with better safety profiles. On the other hand, the complex and fragile nature of peptides poses significant challenges for their administration. Of particular concern is that they are often unstable and can be rapidly degraded by various proteases after dosing. To address these inherent problems of peptides, many different methods have been attempted. Here, we briefly review these methods, with an emphasis on the effect of each method.
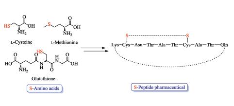
  • Jiaoyan Zhao, Xuefeng Jiang
    中国化学快报. 2018, 29(07): 1079-1087. https://doi.org/10.1016/j.cclet.2018.05.026
    摘要 ( ) PDF全文 ( ) HTML 可视化 收藏
    In recent decades, peptides as potential drugs were more and more explored with the development of non-oral medicine. There into, sulfur-containing peptide is one of the most popular aspects in peptide drugs due to the introduction of sulfur atoms leading unique properties. The purpose of the present review is to focus on the discovery of various sulfur-containing peptides with particular emphasis on their pharmacological mechanisms. This review is organized according to the structures of the sulfurcontaining peptides.
  • Xiang Li, Yan Zou, Hong-Gang Hu
    中国化学快报. 2018, 29(07): 1088-1092. https://doi.org/10.1016/j.cclet.2018.01.018
    摘要 ( ) PDF全文 ( ) HTML 可视化 收藏
    Peptide stapling strategy has been proven a promising solution in addressing two major pharmacological hurdles, proteolytic stability and membrane permeability, for small peptides as therapeutics. This stapling peptides feature a covalent cross-link of side chains, thus effectively mimicking α-helix as inhibitors of protein-protein interactions. In this review, we category and analyze key examples of various peptide stapling strategies based on different cross-links aligned on the side chain of peptides mainly in the last three years.
  • Yuling Xu, Mei Tian, Hong Zhang, Yuling Xiao, Xuechuan Hong, Yao Sun
    中国化学快报. 2018, 29(07): 1093-1097. https://doi.org/10.1016/j.cclet.2018.03.032
    摘要 ( ) PDF全文 ( ) HTML 可视化 收藏
    Peptide-based probes play prominent roles in biomedical research due to their promising properties such as high biocompatibility, fast excretion, favorable pharmacokinetics as well as easy and robust preparation. Considering the translation of imaging probes into clinical applications, peptide-based probes remain to be the most desirable and optimal candidates. This review summarized the development of peptide-based probes with promising imaging modalities and highlighted the successful applications for in vivo biomedical imaging.
  • Dongdong Wu, Xian Xie, Adnan A. Kadi, Yan Zhang
    中国化学快报. 2018, 29(07): 1098-1104. https://doi.org/10.1016/j.cclet.2018.04.030
    摘要 ( ) PDF全文 ( ) HTML 可视化 收藏
    Photosensitive peptide hydrogels (PPHs) which allow photo-modulation on the self-assembly of peptides were broadly developed over the recent decades. The real-time and spatial modulation of hydrogel properties upon non-contact light illumination, allow the PPHs serving as super "smart" soft materials. Herein, we briefly summarized the PPHs preparing from the integration of diverse photosensitive moieties with peptides through gelation abilities, "smart" manner and applications. Moreover, a novel type of PPHs based on intramolecular biorthogonal photo-click reaction developed by our group has been demonstrated with relative mechanism and applications.
  • Chunlei Wu, Wei Wang, Lijing Fang, Wu Su
    中国化学快报. 2018, 29(07): 1105-1112. https://doi.org/10.1016/j.cclet.2018.05.025
    摘要 ( ) PDF全文 ( ) HTML 可视化 收藏
    Hairpin pyrrole-imidazole (Py-Im) polyamides are a class of programmable minor-groove binders that recognize pre-determined DNA double helixes with high affinity and specificity. They are capable of regulating gene expression by modulating the activity of transcription factors. To date, Py-Im polyamides have been successfully applied as a potent tool to disturb DNA functions and considered as a group of promising candidates for the clinical applications. Herein, this review will focus on summarizing the recent advances of Py-Im polyamides from their synthesis to applications via various modifications at the molecular level.
  • 通信
  • Long Liu, Bo Wang, Cheng Bi, Gang He, Gong Chen
    中国化学快报. 2018, 29(07): 1113-1115. https://doi.org/10.1016/j.cclet.2018.05.012
    摘要 ( ) PDF全文 ( ) HTML 可视化 收藏
    We report an efficient and practical synthetic route to various properly-protected erythreo-β-OH-Asp compounds, which are key β-branched α-amino acid units in coralmycin A and other peptide natural products. Fmoc and cyclic ketal-protected erythreo-β-OH-Asp 7 is prepared from cheap chiral precursor L-diethyl tartrate in six steps without the need of column purification. The modified form of 7 serves as a versatile precursor to various β-alkoxyl analogs of erythreo-β-OH-Asp. In addition, we successfully performed a model study toward the total synthesis of coralmycin A, featuring a late stage installation of the side chain primary amide group of erythreo-β-OMe-Asn.
  • Tong Zhu, Lu Song, Ruifeng Li, Bian Wu
    中国化学快报. 2018, 29(07): 1116-1118. https://doi.org/10.1016/j.cclet.2018.03.033
    摘要 ( ) PDF全文 ( ) HTML 可视化 收藏
    Directed peptides C-terminal modification enabled by the engineered biomolecular catalyst-peptide amidase 12B has been achieved via computational protein engineering. The engineered enzyme exhibits great promising potential in the C-terminal modification of opioid peptides using prop-2-yn-1-amine (PYA) or prop-2-en-1-amine (PEA) as the nucleophile. A variety of opioid peptides could be readily functionalized at the C-terminal chain in high yield in a mild and selective manner. Notably, modified opioid peptides bearing alkynyl moiety could be further functionalized through well-established click reaction.
  • Ci Xu, Jianchao Xu, Han Liu, Xuechen Li
    中国化学快报. 2018, 29(07): 1119-1122. https://doi.org/10.1016/j.cclet.2018.03.012
    摘要 ( ) PDF全文 ( ) HTML 可视化 收藏
    Based on a mechanism analogous to the serine/threonine ligation, the aspartic acid ligation, which is facilitated by the γ-amino alcohol based ligation and oxidation, is developed and applied to the synthesis of cyclic peptides. The γ-hydroxyl group triggers the ring-chain tautomerization via a 6-endo-trig process, while the δ-hydroxyl group facilitates the oxidative cleavage of the vicinal diol to give carboxylic acid.
  • Bin Zhou, Faridoon, Xiaobo Tian, Jian Li, Dongliang Guan, Xing Zheng, Yu Guo, Wei Huang
    中国化学快报. 2018, 29(07): 1123-1126. https://doi.org/10.1016/j.cclet.2018.03.021
    摘要 ( ) PDF全文 ( ) HTML 可视化 收藏
    Here, we report a new approach of on-resin peptide ligation using C-terminal benzyl ester as the stabilized precursor of thioester, which enables both N-terminal elongation and C-terminal peptide ligation on a Rink Amide resin. On-resin native chemical ligation and auxiliary-assisted peptide ligation were successfully achieved. This method is compatible to both protected and unprotected peptide fragments and has potential application in poor water-soluble peptide ligation.
  • Jing-Jing Du, Ling-Ming Xin, Ze Lei, Shi-Yao Zou, Wen-Bo Xu, Chang-Wei Wang, Lian Zhang, Xiao-Fei Gao, Jun Guo
    中国化学快报. 2018, 29(07): 1127-1130. https://doi.org/10.1016/j.cclet.2018.04.016
    摘要 ( ) PDF全文 ( ) HTML 可视化 收藏
    Direct aminolysis of selenoester in aqueous media was investigated as a glycopeptide ligation strategy. This strategy allows the peptide and glycopeptide ligation to proceed smoothly (even with hindered amino acids) without the need of cysteine residue, N-terminal thiol auxiliary or coupling additive, and to afford the corresponding amide products in excellent yields. No epimerization was observed during ligation reations. In this work, the selenoester of unprotected glycopeptide was readily prepared, and the direct aminolysis of glycopeptide selenoester was successfully applied to synthesize MUC1 mucin sequence efficiently.
  • Jinrong Liu, Suwei Dong
    中国化学快报. 2018, 29(07): 1131-1134. https://doi.org/10.1016/j.cclet.2018.05.014
    摘要 ( ) PDF全文 ( ) HTML 可视化 收藏
    Interleukin 5 (IL-5) is a human cytokine that regulates eosinophil growth and activation, and it plays essential roles in diseases associated with increased level of eosinophils such as asthma. Many studies have been conducted on this important glycoprotein, but all of them utilized recombinantly expressed samples. Here we describe our attempted chemical synthesis of IL-5, using protocols of Fmoc-SPPS and peptidyl hydrazide-based native chemical ligation, where the disulfide-reduced form of IL-5 is assembled from three peptide segments. Reconstitution of the protein under different folding conditions has also been investigated.
  • Chenchen Chen, Shuai Gao, Qian Qu, Pengcheng Mi, Anjin Tao, Yi-Ming Li
    中国化学快报. 2018, 29(07): 1135-1138. https://doi.org/10.1016/j.cclet.2018.01.005
    摘要 ( ) PDF全文 ( ) HTML 可视化 收藏
    Guanylate cyclase C (GC-C) is an important receptor protein expressed by intestinal epithelial cells, and its dysregulation leads to severe intestinal diseases. Linaclotide is a 14-amino acid peptide approved by the FDA for the treatment of irritable bowel syndrome with constipation (IBS-C), which activates guanylate cyclase C to accelerate intestinal transit. Drug molecule design based on structural information plays a crucial role and the activity of linaclotide still need to improve, while the structure of linaclotide remains unknown. In this work, linaclotide and its D-enantiomer were obtained through Fmoc solid phase peptide synthesis method and co-crystalized through racemic crystallization. The crystal structure showed that linaclotide has a tight, three-beta turns structure immobilized by three pairs of disulfide bonds.
  • Xiao-Qi Guo, Jun Liang, Ying Li, Yong Zhang, Dongliang Huang, Changlin Tian
    中国化学快报. 2018, 29(07): 1139-1142. https://doi.org/10.1016/j.cclet.2018.05.005
    摘要 ( ) PDF全文 ( ) HTML 可视化 收藏
    Nicotinic acetylcholine receptors (nAChRs) play important roles in intercellular communications of nerve cells. α-Bungarotoxins (αBtx) is a moderator for the nAChRs. Chemical synthesis provides a promising way to access αBtx and their analogues. Here, we reported a new method for α-bungarotoxin by combining Fmoc-SPPS and peptide hydrazide based ligation strategy. The two-segment ligation method may enable efficient synthesis of αBtx analogues. These synthetic toxin peptides are useful tools for development of imaging or therapeutic reagents.
  • Huiyun Luo, Hongli Yin, Chaojun Tang, Ping Wang, Feng Liang
    中国化学快报. 2018, 29(07): 1143-1146. https://doi.org/10.1016/j.cclet.2018.05.033
    摘要 ( ) PDF全文 ( ) HTML 可视化 收藏
    Here, we report a convenient and efficient synthesis strategy for the total synthesis of cyclic peptide reniochalistatin E and its conformational isomers with 32% overall yield. We found the linear peptide precursor without side chain gave better cyclization yield.
  • Ling Feng, Mohit Chhabra, Wing Ho So, Qing Zhu, Jiang Xia, Hongyan Sun
    中国化学快报. 2018, 29(07): 1147-1150. https://doi.org/10.1016/j.cclet.2018.05.031
    摘要 ( ) PDF全文 ( ) HTML 可视化 收藏
    Lysine acetylation is one of the most prevalent and important posttranslational modifications (PTMs) in proteins. The process can be recognized by bromodomains (BRDs), which are a class of proteininteraction modules involved in chromatin remodeling and transcriptional activation. The development of BRD fluorescent probes will be useful for monitoring the activity of BRDs in living cells as well as aiding inhibitor development. Herein we designed a peptide-based probe based on the proximity-induced protein conjugation reaction. The peptide-based probe is capable of covalently and selectively reacting with the unique cysteine residue in the bromodomain through proximity effect. Our experimental data showed that the probe displayed noticeable fluorescence response upon addition of BRD4(1). In-gel fluorescence scanning demonstrated that BRD4(1) can be covalently labelled by the probe. Moreover, the probe was shown to selectively detect BRD4(1) over other proteins. We envision that the probe developed in this study will provide a useful tool to further investigate the biological roles of BRDs.
  • Jialin Chen, Fude Sun, Peng Chen, Mengya Chai, Lida Xu, Shi-Zhong Luo
    中国化学快报. 2018, 29(07): 1151-1154. https://doi.org/10.1016/j.cclet.2018.04.005
    摘要 ( ) PDF全文 ( ) HTML 可视化 收藏
    Receptor for Advanced Glycation End-products (RAGE) binds to a number of ligand families to display important roles in hyperglycemia, senescence, inflammation, neurodegeneration and cancer. It is reported that RAGE regulates the related biological processes via homo-dimerization by the transmembrane (TM) domain, and evidence further shows that the intracellular domain of RAGE has an influence on the dimerization activity of RAGE. In this study, we explored the underlying interaction mechanism of RAGE TM domains by multiscale coarse-grained (CG) dynamic simulations. Two switching packing modes of the TM dimeric conformations were observed. Through a series of site-directed mutations, we further emphasized the key roles of the A342xxxG346xxG349xxxT353xxL356xxxV360 motif in the left-handed configuration and the L345xxxG349xxG352xxxL356 motif in the right-handed configuration. In addition, we revealed that the juxtamembrane (JM) domain within JM-A375 can determine the RAGE TM dimeric structure. Overall, we provide the molecular insights into the switching dimerization of RAGE TM domains, as well as the regulation from the JM domains mediated by the anionic lipids.
  • Lu-Jun Liang, Yanyan Si, Shan Tang, Dongliang Huang, Zhipeng A. Wang, Changlin Tian, Ji-Shen Zheng
    中国化学快报. 2018, 29(07): 1155-1159. https://doi.org/10.1016/j.cclet.2018.03.022
    摘要 ( ) PDF全文 ( ) HTML 可视化 收藏
    As one of the most widely existing post-translational modification models, ubiquitination regulates diverse cellular activities. In eukaryotes, K11,48-branched ubiquitin chains play key roles in cell cycle and protein quality control. However, the structural and biochemical properties of K11,48-branched ubiquitin chains have not been well examined. Here we employed the synthetic linkage-and length-defined K11,48-branched ubiquitin chains to examine their binding and hydrolysis properties in vitro. Quantitatively affinity determination of ubiquitin chains to the proteasome ubiquitin receptor S5a indicated that the S5a exhibited preference binding to K11,48-branched chains over K11-linked chains, but not K48-conjugated chains. In addition, deubiquitination experiments were carried out and the results showed that K11,48-branched chains were preferably hydrolyzed by proteasome-associated deubiquitinase Rpn11 than homotypic K11 or K48-linked chains.
  • Xuan Qin, Hui Zhao, Yanhong Jiang, Feng Yin, Yuan Tian, Mingsheng Xie, Xiyang Ye, Naihan Xu, Zigang Li
    中国化学快报. 2018, 29(07): 1160-1162. https://doi.org/10.1016/j.cclet.2018.04.004
    摘要 ( ) PDF全文 ( ) HTML 可视化 收藏
    We have developed a facile N-terminus helix-nucleating strategy using an unnaturally tethered aspartic acid (TD strategy). Relatively weak nuclear translocation efficiency of TD PERM limits its further biological applications. A potent peptide inhibitor of estrogen receptor α (ER-α) with significantly increased cellular uptake and cellular distribution was developed by cell penetrating peptide attachment. The resulted peptide conjugate showed selective toxicity towards estrogen receptor positive cell lines and induced decreased transcription of estrogen receptor α downstream genes.
  • Ming Kai, Wei Zhang, Huan Xie, Liwei Liu, Sujie Huang, Xiao Li, Zhengzheng Zhang, Yuyang Liu, Bangzhi Zhang, Jingjing Song, Rui Wang
    中国化学快报. 2018, 29(07): 1163-1166. https://doi.org/10.1016/j.cclet.2018.04.011
    摘要 ( ) PDF全文 ( ) HTML 可视化 收藏
    Dimerization is an effective strategy for designing antimicrobial peptides that combine the advantages of different native peptides. In this study, we explored the effects of different linker amino acids, including leucine, proline and aminocaproic acid, on the anticancer, antimicrobial and hemolytic activities of the heteromeric antimicrobial peptides AM-1, AM-2, and AM-3. Proline and aminocaproic acid are ideal linkers for increasing the potency and selectivity of heteromeric antimicrobial peptides. The results of MD simulations provided a rationalization for this observation. Both AM-2, which had a proline linker, and AM-3, which had an aminocaproic acid linker, adopted a compact conformation in water and a bent conformation in membranes. This change in the flexible structures of AM-2 and AM-3 could have resulted in decreased binding of these peptides to zwitterionic lipid bilayers and increased damage to mixed lipid bilayers containing acidic phospholipids. In short, these findings obtained via assessing the effects of linker amino acids will contribute to the design of ideal heteromeric antimicrobial peptides with high selectivity and potency.
  • Ye Guo, Lili Fu, Xiaowen Fan, Xuanling Shi
    中国化学快报. 2018, 29(07): 1167-1170. https://doi.org/10.1016/j.cclet.2018.03.024
    摘要 ( ) PDF全文 ( ) HTML 可视化 收藏
    HIV fusion inhibitors are promising therapeutic agents for AIDS treatment. One fusion inhibitor has been approved as anti-HIV drug, while more of them are in preclinical studies or clinical trials. Highly active fusion inhibitors with excellent pharmacokinetic properties are still needed for development of anti-HIV drugs. We found that all-hydrocarbon staples inserted in SC34EK could not only enhance the inhibitory activity of inhibitors against HIV-1, but also improve protease resistance. Further study revealed that SC34EK-1 containing a staple was a potent fusion inhibitor with IC50 value of 0.04-6.4 nmol/L towards diverse HIV-1 subtypes and half-life value of 112 min against protease hydrolysis. X-ray crystallography studies indicated that introduction of a hydrocarbon staple in SC34EK could make the amino acid at the interaction surface form perfect conformation to promote inhibitor peptide interacting with target.
  • Qingle Chen, Yanhong Ma, Jisi Zhao, Mei Zhao, Wenjing Li, Qian Liu, Li Xiong, Wenjie Wu, Zhangyong Hong
    中国化学快报. 2018, 29(07): 1171-1178. https://doi.org/10.1016/j.cclet.2018.04.025
    摘要 ( ) PDF全文 ( ) HTML 可视化 收藏
    Phthalocyanine (Pc) is one of the most promising photosensitizer candidates because of its strong absorption (extinction coefficient ε > 105 L mol-1 cm-1) at long wavelengths and strong singlet oxygen generation abilities (a singlet oxygen quantum yield of approximately 50%). However, low tumor targeting, low water solubility and a high tendency to aggregate appear to significantly restrict the compound's application in tumor treatment. Conjugating Pc with peptide ligands could be a useful strategy for alleviating these problems. Here, to further optimize the structures of peptide-conjugated zinc Pcs for PDT therapy, we finely tuned the hydrophilicity of the modified Pc aromatic macrocycle with varied length of polyethylene glycol (PEG) and added an extra PEG linker and an extra glutamic acid between the Pc ring and the peptide ligand to reduce the influence of the ligand on the Pc aromatic ring. Among the synthesized conjugates, Pc-3 showed greatly improved targeting towards tumors and abolished inoculated tumors with only a single PDT treatment in a subcutaneous xenograft tumor model, making this approach a promising therapeutic agent for the treatment of cancer.