本期目录

2017年, 第28卷, 第07期 刊出日期:2017-07-22
  

  • 全选
    |
    论著
  • Yu-Lu Zhan, Yang-Bn Shen, Shu-Png Li, Bao-Hua Yue, Xao-Chun Zhou
    中国化学快报. 2017, 28(07): 1353-1357. https://doi.org/10.1016/j.cclet.2017.03.038
    摘要 ( ) PDF全文 ( ) HTML 可视化 收藏
    A homogeneous catalyst [Cp*Rh(NH3)(H2O)2]3+ has been found for the clean conversion of methanol and water to hydrogen and carbon dioxide.The simple and easily available reaction steps can circumvent the formation of CO,therefore,making it possible to avoid inactivating catalysts and contaminating the hydrogen fuel.Different from conventional reforming method for hydrogen production,no additional alkaline or organic substances are required in this method.Valuable hydrogen can be obtained under ambient pressure at 70℃,corresponding TOF is 83.2 h-1.This is an unprecedented success in reforming methanol to hydrogen.Effects of reaction conditions,such as reaction temperature,initial methanol concentration and the initial pH value of buffer solution on the hydrogen evolution are all systematically investigated.In a certain range,higher reaction temperature will accelerate reaction rate.The slightly acidic condition is conducive to rapid hydrogen production.These findings are of great significance to the present establishment of the carbon-neutral methanol economy.
  • Li-Hua Pang, Jing-Min Li, Xue-Min Lu, Qing-Hua Lu
    中国化学快报. 2017, 28(07): 1358-1364. https://doi.org/10.1016/j.cclet.2017.04.009
    摘要 ( ) PDF全文 ( ) HTML 可视化 收藏
    Chiral supramolecules prepared by the additive-driven self-assembly of block copolymers provide a facile method to construct helical nanostructures. In this study, we investigated the chiral transfer from chiral tartaric acid to poly(styrene)-b-poly(ethylene oxide) using small-angle X-ray scattering, transmission electron microscopy, circular dichroism, and vibrational circular dichroism. The results showed that the chirality was transferred to both the segments of block copolymer irrespective of the interaction with the chiral additives and formation of helical phase structure. However, the chirality transfer was carried out using different methods: for poly(ethylene oxide) segments, the chirality transfer was carried out via direct hydrogen bond formation; for polystyrene segments, the chirality transfer was carried out via the cooperative motion of block copolymers during the thermal annealing.
  • Jun-Ran Lu, Chao Shi, Yi Li, Ji-Hong Yu
    中国化学快报. 2017, 28(07): 1365-1368. https://doi.org/10.1016/j.cclet.2017.04.010
    摘要 ( ) PDF全文 ( ) HTML 可视化 收藏
    In silico prediction of potential synthetic targets is the prerequisite for function-led discovery of new zeolites. Millions of hypothetical zeolitic structures have been predicted via various computational methods, but most of them are experimentally inaccessible under conventional synthetic conditions. Screening out unfeasible structures is crucial for the selection of synthetic targets with desired functions. The local interatomic distance (LID) criteria are a set of structure rules strictly obeyed by all existing zeolite framework types. Using these criteria, many unfeasible hypothetical structures have been detected. However, to calculate their LIDs, all hypothetical structures need to be fully optimized without symmetry constraints. When evaluating a large number of hypothetical structures, such calculations may become too computationally expensive due to the forbiddingly high degree of freedom. Here, we propose calculating LIDs among structures optimized with symmetry constraints and using them as new structure evaluation criteria, i.e., the LIDsym criteria, to screen out unfeasible hypothetical structures. We find that the LIDsym criteria can detect unfeasible structures as many as the original non-symmetric LID criteria do, yet require at least one order of magnitude less computation at the initial geometry optimization stage.
  • Jie Kang, Vijai Kumar Reddy Tangadanchu, Lavanya Gopala, Wei-Wei Gao, Yu Cheng, Han-Bo Liu, Rong-Xia Geng, Shuo Li, Cheng-He Zhou
    中国化学快报. 2017, 28(07): 1369-1374. https://doi.org/10.1016/j.cclet.2017.04.002
    摘要 ( ) PDF全文 ( ) HTML 可视化 收藏
    A series of novel naphthalimide-derived metronidazoles as new type of antimicrobial agents were for the first time designed, synthesized and characterized by NMR, IR and HRMS spectra. Experimental results revealed that most of them displayed moderate to good antibacterial activity towards Gram-positive and negative bacteria. Especially, compound 7b was able to not only exhibit effective inhibition towards the growth of P. vulgaris (MIC=0.002 μmol/mL) and S. dysenteriae (MIC=0.01 μmol/mL), but also have rapidly killing effect and prevent the development of bacterial resistance. Further research revealed that the highly active molecule 7b could not only intercalate into calf thymus DNA to form a steady supramolecular complex and thus might block DNA replication to exert the powerful bioactivities, but also be effectively transported by human serum albumin (HSA) via the formation of the 1:1 supramolecular complex, in which hydrogen bonds and hydrophobic effect played important roles in the association of compound 7b with HSA. Molecular docking indicated that the supramolecular interactions between 7b and topoisomerase Ⅱ were driven by hydrogen bonds.
  • Man-Hua Ding, Xiao-Ming Chen, Lin-Li Tang, Fei Zeng
    中国化学快报. 2017, 28(07): 1375-1379. https://doi.org/10.1016/j.cclet.2017.03.009
    摘要 ( ) PDF全文 ( ) HTML 可视化 收藏
    Two novel [3]pseudorotaxanes can be selectively synthesized from four components through self-sorting processes, which provides a new strategy for the construction of a well-organized heteropolyrotaxane.
  • Tian-Xiao Chen, Feng Ning, Hai-Sheng Liu, Ke-Feng Wu, Wei Li, Chang-Bei Ma
    中国化学快报. 2017, 28(07): 1380-1384. https://doi.org/10.1016/j.cclet.2017.01.006
    摘要 ( ) PDF全文 ( ) HTML 可视化 收藏
    In this assay, a label-free fluorescent sensing platform based on triple-helix molecular switch (THMS) and G-quadruplex was developed for the detection of tetracycline. We demonstrated this approach by using THMS, which consists of a central section with a shortened 8-mer aptamer sequence with high affinity to tetracycline and flanked by two arm segments. G-rich oligonucleotide can specifically bind to thioflavin T (ThT) as a signal transduction probe (STP). In the absence of tetracycline, THMS remains stable, the fluorescence of background is low. By the addition of target tetracycline, the aptamer-target binding results in the formation of a structured aptamer-target complex, which disassembles the THMS and releases the STP. The free STP self-assembles into G-quadruplex and specifically binds to ThT which generates a obvious fluorescence enhancement. Using the triple-helix molecular switch, the developed aptamer-based fluorescent sensing platform showed a linear relationship with the concentration of tetracycline ranging from 0.2 to 20.0 nmol/L. The detection limit of tetracycline was determined to be 970.0 pmol/L. The assay avoids complicated modifications or chemical labeling, making it simple and cost-effective. So, it is expected that this aptamer-based fluorescent assay could be extensively applied in the field of food safety inspection.
  • Cheng Chen, Zhu-Lian Wu, Ting-Ting Wang, Xiao-Yan Wan, Shu-Jun Zhen, Cheng-Zhi Huang
    中国化学快报. 2017, 28(07): 1385-1390. https://doi.org/10.1016/j.cclet.2017.03.022
    摘要 ( ) PDF全文 ( ) HTML 可视化 收藏
    Highly photoluminescent nitrogen and sulfur co-doped carbon nanoparticles (CNPs) ca. 56 nm have been prepared through a green one-step hydrothermal synthesis route by using millet powder as carbon sources, in which the nitrogen and sulfur co-doping improves the photoluminescent efficiency of the CNPs. The as-prepared CNPs display excellent fluorescent properties and low biotoxicity with a relatively high quantum yield of 30.4%, which have been applied for bioimaging and highly sensitive and selective detection of iron (Ⅲ) ions.
  • Hao-Dong Cui, De-Hong Hu, Jing-Nan Zhang, Guan-Hui Gao, Cui-Fang Zheng, Ping Gong, Xing-Hua Xi, Zong-Hai Sheng, Lin-Tao Cai
    中国化学快报. 2017, 28(07): 1391-1398. https://doi.org/10.1016/j.cclet.2016.12.038
    摘要 ( ) PDF全文 ( ) HTML 可视化 收藏
    As one of near-infrared (NIR) fluorescent (FL) nanoprobes, gold nanoclusters (Au NCs) are delicated to passive-targeting tumors for NIR FL imaging, but which easily cleared by the kidneys for the small size (<1.5 nm). Herein, the well-defined gold clusters nanoassembly (Au CNA) was synthesized by the selfassembly of Au NCs based on protein cross-linking approach. The as-prepared Au CNA demonstrated highly effective cellular uptake and precise tumor targeting compared to that of Au NCs. Moreover, with the irradiation of 660 nm laser, Au CNA generated largely reactive oxygen species (ROS) for photodynamic therapy (PDT). In vitro and in vivo PDT revealed that Au CNA exhibited largely cell death and significantly tumor removal at a low power density of 0.2 W/cm2. It could be speculated that the laser-excited Au CNA produced photon energy, which further obtained electron from oxygen to generate radical species. Therefore, Au CNA as a photosensitizer could realize NIR FL imaging and NIR laser induced PDT.
  • Banupriya Cinnasamy, Srinivasan Krishnan, Rajasekar Aruliah, Murugan Kadarkarai, Giovanni Benelli, Dinakaran Kannaiyan
    中国化学快报. 2017, 28(07): 1399-1405. https://doi.org/10.1016/j.cclet.2017.01.018
    摘要 ( ) PDF全文 ( ) HTML 可视化 收藏
    Nowadays, the rapid and effective detection of low doses of heavy metal pollutants in contaminated water is a timely challenge in environmental pollution research. In this study, a rapid and highly sensitive assay for the detection of Hg2+ based on quenching of metal-enhanced fluorescence of rhodamine B (RB) has been fabricated. RB and silver nanoparticle were incorporated into the mesoporous siliceous framework spin cast on a quartz glass through post-synthetic incorporation method. The morphology and crystallinity of mesoporous structure and Ag nanoparticle were characterized by transmission electron microscopy and X-ray diffraction analyses. Photoluminescence assays on the hybrid thin film of RB-Ag-SBA15 showed a high enhancement when compared to the intensity of silver free SBA15-RB in the wavelength of 575 nm. The fluorescence of RB-Ag-SBA15 thin film decreased gradually with the increase in the concentration of Hg2+ and the detection limits were 10.54 nmol/L. Furthermore, the fluorescence intensity increased linearly with the concentration of Hg2+ in the range from 1.0×10-8 mol/L to 1.0×10-8 mol/L, with a response time of a few seconds. In addition, this system offers a high selectivity over interfering cations such as Cd2+ and Pb2+. Overall, we have developed an optical assay having a wellordered mesoporous SBA15 containing Ag-RBfor selective detection of Hg2+ in aqueous solution. The scheme combines the advantages of specific binding interactions between Hg2+ and RB molecule and optical emission properties of RB. The method is suitable for a single-shot and irreversible analytical assay in a quartz glass/microtiter plate.
  • Xu-Zhi Zhang, Meng-Shi Huang, Qian-Qian Yang, Dong-Sheng Ding, Jun Zhao, Wen-Rong Yang, Ke-Ming Qu
    中国化学快报. 2017, 28(07): 1406-1412. https://doi.org/10.1016/j.cclet.2017.03.019
    摘要 ( ) PDF全文 ( ) HTML 可视化 收藏
    By employing an electrical micro-titration system, in which a capacitively coupled contactless conductivity detector (C4D) was used to monitor the reaction process in real time, herein a novel method for determining ciprofloxacin hydrochloride (CIPHCl) was developed for the first time. Mode 1: Standard CIPHCl solutions at different concentrations were loaded into reaction cells, respectively, and were titrated with standard Ag+. Upon the titration, the formation of a precipitate alters the number of ions in the solution, raising the change of conductivity, which was monitored by a special C4D to construct a titration curve. The endpoint of the titration was located from the peak of the curve. Between the elapsed time and the initial concentration of titrand, a linear relationship was established over the range of 2.0-8.0 μmol/L. Mode 2: Standard Fe3+ took the place of Ag+, and was used as titrant to recognize ciprofloxacin contributed to the formation of complexation, which also resulting a change of solution conductivity. Under optimized conditions, a working range of 1.0-5.0 mmol/L CIPHCl was found. Because the reaction solutions were isolated from the working electrodes, this pioneer work shows significant simplicity and cost-effectiveness, by eliminating the requirements for detector exchange/renewal between different measurements, and by involving no auxiliary chemicals. Both of the two approaches were applied successfully to determine CIPHCl in tablet samples. And the results were in good agreement with those obtained by reference method.
  • Gang-Jin Yu, Xiao-Ying Chen, Shi-Zhen Mao, Mai-Li Liu, You-Ru Du
    中国化学快报. 2017, 28(07): 1413-1416. https://doi.org/10.1016/j.cclet.2017.04.013
    摘要 ( ) PDF全文 ( ) HTML 可视化 收藏
    The critical aggregation concentration (CAC) of four with three kinds of conventional surfactants, namely, two cationic surfactants [hexadecyltrimethyl ammonium bromide (CTAB) and tetradecyltrimethyl ammonium bromide (TTAB)], one anionic surfactant [sodium dodecyl sulfate (SDS)], and a nonionic surfactant [Triton X-100 (TX-100)], were determined by variation of 1H chemical shifts with surfactant concentrations. Results show that the CAC values of protons at different positions of the same molecule are different, and those of the terminal methyl protons are the lowest, respectively, which suggests that the terminal groups of the alkyl chains aggregates first during micellization. Measurement of the transverse relaxation time (T2) of different protons in SDS also show that the terminal methyl protons start to decrease with the increase in concentration first, which supports the above mentioned tendency.
  • Chun-Ling Zhao, Mei Hua, Can-Yu Yang, Yun-Hui Yang
    中国化学快报. 2017, 28(07): 1417-1423. https://doi.org/10.1016/j.cclet.2017.02.010
    摘要 ( ) PDF全文 ( ) HTML 可视化 收藏
    A novel electrochemical detection approach for platelet-derived growth factor (PDGF) via "sandwich" structure is reported in this paper. 3D-4MgCO3·Mg(OH)2·4H2O-Au NPs inorganic hybrid composite was utilized as immobilized substrate for sensitive PDGF detection and Pt-Au bimetallic nanoparticles were labelled on PDGF aptamer to indirectly detect PDGF for the first time. The proposed aptasensor exhibited a high catalytic efficiency towards reduction of H2O2, hence the sensitive detection of PDGF was achieved. Results showed that the aptasensor exhibited excellent linear response to PDGF, in the range of 0.1 pg/mL-10 ng/mL (4 fmol/L-400 pmol/L), with detection limit of 0.03 pg/mL (1.2 fmol/L).
  • Dong Li, Chen-Neng Lin, Shu-Zhong Zhan, Chun-Lin Ni
    中国化学快报. 2017, 28(07): 1424-1428. https://doi.org/10.1016/j.cclet.2017.03.027
    摘要 ( ) PDF全文 ( ) HTML 可视化 收藏
    A new material for both magnetic coupling and electrocatalytic hydrogen generation based on a copper complex, [(HL)CuCl-CuCl(HL)]HCl 1 is prepared by the reaction of 2-(pyridylmethyl)amino-N,N-bis(2-methylene-4,6-difluorophenol) (H2L) and CuCl2·2H2O. In solid, complex 1 is built from two copper units ([(HL)CuCl]), and exhibits an antiferromagnetic exchange interaction between copper (Ⅱ) ions (J=-160 cm-1). In liquid, 1 can electrocatalyze hydrogen generation both from acetic acid with a turnover frequency (TOF) of 16.3 moles of hydrogen per mole of catalyst per hour at an overpotential (OP) of 941.6 mV (in DMF), and a neutral buffer with a TOF of 1415.6 moles of hydrogen per mole of catalyst per hour at an OP of 787.6 mV.
  • Ranjita Tandel, Nagappa Teradal, Ashis Satpati, Seetharamappa Jaldappagari
    中国化学快报. 2017, 28(07): 1429-1437. https://doi.org/10.1016/j.cclet.2016.11.028
    摘要 ( ) PDF全文 ( ) HTML 可视化 收藏
    The present study explores an electroreduced graphene oxide-bismuth nanoparticles composite (ErGOBi) as an electrochemical sensor for the determination of an anticancer drug, gemcitabine hydrochloride (GMB). The Er-GOBi interface was prepared by drop casting of bismuth nitrate-graphene oxide suspension on a glassy carbon electrode (GCE) followed by electro-reduction in the potential range of 0.6 V to -1.7 V. SEM, FTIR, EDAX and AFM techniques were employed for the characterization of prepared materials. Cyclic voltammetric and electrochemical impedance spectroscopic methods were used to understand the charge transfer properties of stepwise modification of Er-GOBi/GCE. GMB exhibited an irreversible oxidation peak at 1.144 V on Er-GOBi/GCE in phosphate buffer of pH 3. A 100-fold enhanced oxidation peak current was observed at Er-GOBi/GCE when compared to that at bare GCE. Sensing performance of ErGO-Bi/GCE was optimized by varying peak current dependent parameters. Linear relationship between the peak current and concentration of GMB was observed in the range of 0.1- 51.1 μmol/L in differential pulse voltammetric method and 2.1-61.1 μmol/L in linear sweep voltammetric method. The practical utility of the proposed sensor, Er-GOBi/GCE was demonstrated by determining GMB in pharmaceutical formulations and spiked urine samples.
  • Wei Li, Gao-Wa Siqin, Zhi Zhu, Lu Qi, Wen-Huai Tian
    中国化学快报. 2017, 28(07): 1438-1446. https://doi.org/10.1016/j.cclet.2017.03.035
    摘要 ( ) PDF全文 ( ) HTML 可视化 收藏
    Spherical Li-rich lithium manganese oxide (LMO) spinel material was synthesized by an ion implanted method assisted by polyalcohol doped with Niobium and Phosphate simultaneously. The material was characterized by scanning electron microscopy, X-ray diffraction and BET specific surface area analysis. The electrochemical performances were investigated with galvanostatic techniques and cyclic voltammetry. The synthesis process was investigated with TG/DSC. The results show that the lithium ion can be immersed into the pore of manganese dioxide at a low temperature with the ion implanted method. The prepared materials have a higher discharge capacity and better crystallization than those prepared by solid phase method. The doped Nb can improve the capacity of the Li-rich LMO spinel and reinforce the crystal growth along (111) and (400) planes. The crystal grains show circular and smooth morphology, which makes the specific surface area greatly decreased. Phosphate-doped LMO spinel exhibits good high-rate capacity and structure stability. The prepared Li1.09Mn1.87Nb0.031O3.99(PO4)0.021 delivers a discharge capacity of 119 mAh g-1 at 0.2 C (1 C=148 mA g-1) and 112.8 mAh g-1 at 10 C, the discharge capacity retention reaches 98% at 1 ℃ after 50 cycles at 25 ℃ and 94% at 55 ℃.
  • Xiu-Wei Liu, Xiao-Yu Cui, Xiao-Ming Yu, Wen-Sheng Cai, Xue-Guang Shao
    中国化学快报. 2017, 28(07): 1447-1452. https://doi.org/10.1016/j.cclet.2017.03.021
    摘要 ( ) PDF全文 ( ) HTML 可视化 收藏
    Understanding the thermal stability of the proteins in human serum is essential since human serum is the important source of pharmaceutical proteins. Near-infrared (NIR) spectroscopy was applied to the investigation of thermal changes in secondary structure and hydration of human serum proteins. However, as a multicomponent system, the overlap of the broad NIR bands makes the structural analysis very difficult directly using the spectra of serum samples. Therefore, continuous wavelet transform (CWT) was used to improve the resolution of NIR spectra, and Monte Carlo-uninformative variable elimination (MC-UVE) method was applied to the selection of the variables associated with the proteins for the structural analysis. The variables (5956, 5867, 5815, 5747, 4525, 4401, 4359 and 4328 cm-1) related to protein secondary structures and those (7074, 6951, 6827 and 6700 cm-1) connected with water species were selected. Then, the thermal stability was analyzed through the intensity variations of the selected variables with temperature from 30 ℃ to 80 ℃. It was found that the variation of the spectral variables related to both α-helix and β-sheetchanges apparently around 60 ℃, indicating the beginning of the thermal denaturation and the transition from α-helix to β-sheet. Moreover, an obvious change was found around 60 ℃ for the content of the water specie S3, i.e., the water cluster containing three hydrogen bonds. The result demonstrates that MC-UVE can identify the protein-related NIR spectral variables, and the water species may be a marker for investigation of the structural change of proteins in biochemical systems.
  • Meng Li, Xiang-Rong Huang, Yi Guo, Ya-Zhuo Shang, Hong-Lai Liu
    中国化学快报. 2017, 28(07): 1453-1459. https://doi.org/10.1016/j.cclet.2017.03.012
    摘要 ( ) PDF全文 ( ) HTML 可视化 收藏
    The traditional surfactant sodium dodecyl sulfate (SDS) and ionic liquid 1-ethyl-3-methylimidazolium tetrafluoroborate ([Emim][BF4]) have been combined to create a novel efficient medium for chromogenic catalysis of 3,3',5,5'-tetramethylbenzidine with horseradish peroxidase in presence of H2O2. The results have shown the [Emim][BF4] in the mediums can promote the rate of formation of the blue chromogen, the SDS is responsible for the stabilization of the blue chromogen due to the electrostatic attraction between positively charged blue chromogen and the negatively charged surfactant. The SDS/[Emim][BF4] combination not only enhance catalytic activity of HRP remarkably but also stabilize the blue chromogen formed in the HRP oxidation of the substrate TMB compared to the conventional medium. Based on the superior combination of SDS and [Emim][BF4], the colorimetric assay for detecting HRP activity and H2O2 concentration was established. This work demonstrates a novel efficient medium for chromogenic catalysis with potential applications in biosensors and clinical diagnosis.
  • Yuan-Yuan Lu, Xue-Peng Gong, Yong-Bo Xue, Hu-Cheng Zhu, Xiao-Nian Li, Lin-Zhen Hu, Jian-Kun Guan, Jin-Wen Zhang, Guang Du, Yong-Hui Zhang
    中国化学快报. 2017, 28(07): 1460-1464. https://doi.org/10.1016/j.cclet.2017.03.024
    摘要 ( ) PDF全文 ( ) HTML 可视化 收藏
    Two pairs of chlorine-containing phenylpropanoid enantiomers (1a/1b and 2a/2b) were isolated from the rhizomes of Acorus tatarinowii. Interestingly, these optical isomers (1a/1b and 2a/2b) were co-existed in the same plant, which were characterized as the first halogen-containing natural products from the genus Acorus. Their structures and absolute configurations were elucidated by a combination of spectroscopic analysis and a single-crystal X-ray diffraction, assisted by a modified Mosher's method. The phenylpropanoid isomers (1a/1b and 2a/2b) were evaluated for their antioxidant activities using DPPH assay and cytotoxic activities against five human cancer cell lines.
  • Rui Liu, Hui Zou, Ping-Sheng Xu, Zhen-Xing Zou, Jing Li, Fei Cheng, Rui-Huan Liu, Gan Zhou, Kang-Ping Xu, Gui-Shan Tan
    中国化学快报. 2017, 28(07): 1465-1468. https://doi.org/10.1016/j.cclet.2017.03.004
    摘要 ( ) PDF全文 ( ) HTML 可视化 收藏
    Three new carboxylated flavonoids, uncinatic acids A-C (1-3), were isolated from the whole herb of Selaginella uncinata. Their structures were established on the basis of extensive NMR analysis including 1D, 2D NMR experiments and HR-ESIMS techniques. All of them share the carboxylation structural characteristic. Compounds 1 and 2 belong to novel naturally occuring furanoflavonoids which is firstly reported in genus Selaginella. Such furanoflavonoids with dicarboxylic acid structrure have never been discovered before. In addition, the isolates were tested for their cytotoxicity against A549 and BGC-823 cell lines in vitro.
  • Zhe-Zhe Yuan, Xiang-Wen Kong, Li-Hua Liu, Hui-Xia Zhu, Hua Xiao
    中国化学快报. 2017, 28(07): 1469-1472. https://doi.org/10.1016/j.cclet.2017.02.017
    摘要 ( ) PDF全文 ( ) HTML 可视化 收藏
    A one-pot reaction sequence of sequential phosphine-promoted tandem annulations of aryl trifluoromethyl ketones and MBH (Morita-Baylis-Hillman) carbonates and DBU-mediated aminolysis was developed. This method provides a step-economical approach to trifluoromethylated dienamides with diverse structural complexity from readily available starting materials in moderate yields.
  • Yan-Yan Zheng, Chang-Xia Li, Xiao-Teng Ding, Qi Yang, Ya-Min Qi, Hui-Min Zhang, Liang-Ti Qu
    中国化学快报. 2017, 28(07): 1473-1478. https://doi.org/10.1016/j.cclet.2017.03.014
    摘要 ( ) PDF全文 ( ) HTML 可视化 收藏
    A hybrid graphene-ZIF-8 (G-ZIF-8) nanocomposite modified electrode was prepared in our work. SEM characterization shows that nanocrystals of zeolitic imidazolate frameworks (ZIF-8) were homogeneously well-intergrown on the surface of graphene and thus the graphene sheets were refrained from restacking, which implies the high accessible surface area. The BET results further testifies that G-ZIF-8 composites had a larger surface area than 3D graphene. G-ZIF-8 modified electrode exhibited excellent electroanalytical performance for dopamine. The linear concentration range was from 3.0 μmol/L to 1.0 μmol/L with the detection sensitivity of 0.34 μA/μmol/L and the detection limit of 1.0 μmol/L was obtained. The interference study, electrode stability and reproducibility were carried out. In addition, the prepared sensor was applied to the detection of DA in serum sample with recoveries from 96.8% to 100.7%. It is believable that the structure characteristic of G-ZIF-8 nanocomposite is favorable for using MOFs to fabricate highly sensitive electrochemical sensor.
  • Song-Bai Yu, Hong-Jun Zang, Xiao-Li Yang, Ming-Chuan Zhang, Rui-Rui Xie, Pei-Fei Yu
    中国化学快报. 2017, 28(07): 1479-1484. https://doi.org/10.1016/j.cclet.2017.02.016
    摘要 ( ) PDF全文 ( ) HTML 可视化 收藏
    Several types of ILs and solid acids were used as catalysts in one-pot conversion of sucrose to 5-hydroxymethylfurfural (abbreviated as 5-HMF) in a dimethyl sulfoxide (DMSO)/water mixed solvent under hydrothermal conditions. A remarkable 5-HMF yield of 91.8% was achieved catalyzed by the cesium salt of dodecatungstophosphoric acid (Cs2.3H0.7PW12O40) within 3 h at 180 ℃. The ionic liquid N-methylimidazolium hydrogen sulfate ([Hmim][HSO4]) gave the 5-HMF in 82.0% yield from sucrose. To the best of our knowledge, it was almost the highest yield of HMF from sucrose by now. Various reaction parameters including reaction temperature and time and catalyst dosage were optimized. A possible mechanism for this catalytic process was proposed. Furthermore, fructose and glucose were also investigated, good yields of 5-HMF was obtained respectively. This increases the possibility of large-scale production of 5-HMF from carbohydrates.
  • Xin-Yu Teng, Xing-Chun Wu, Yu-Qi Cao, Yue-Hua Jin, Yang Li, Xi-Long Yan, Bo-Wei Wang, Li-Gong Chen
    中国化学快报. 2017, 28(07): 1485-1491. https://doi.org/10.1016/j.cclet.2017.02.018
    摘要 ( ) PDF全文 ( ) HTML 可视化 收藏
    Four derivatives of 9,10-bis[2-(2-alkoxynaphthalen-1-yl)vinyl]anthracene (BNAs) were designed, successfully synthesized and characterized by spectrofluorometer, powder wide-angle X-ray diffraction (PXRD) and differential scanning calorimetry experiments (DSC), etc. It was found that these compounds exhibited aggregation-induced emission phenomenon. Moreover, these target compounds displayed reversible color change from yellow to orange upon pressing and annealing process. Interestingly, all of BNAs obviously presented red-shifted piezofluorochromic (PFC) properties and behaved mainly length dependence of alkoxy group, in which, BNA displayed the largest PFC spectral shift (ΔlPFC=26 nm). The PXRD profiles demonstrated the transformation from crystalline to amorphous state upon grinding, and the mechanism of PFC behaviors was proposed. Thus, changing the length of alkoxyl chain could be an alternative way to tune their PFC behaviors.
  • Zhen-Zhen An, Zhuang Li, Yong-Yang Guo, Xiao-Ling Chen, Kang-Ning Zhang, Dong-Xia Zhang, Zhong-Hua Xue, Xi-Bin Zhou, Xiao-Quan Lu
    中国化学快报. 2017, 28(07): 1492-1498. https://doi.org/10.1016/j.cclet.2017.02.014
    摘要 ( ) PDF全文 ( ) HTML 可视化 收藏
    In this work, the chitosan and N-doped graphene natively grown on hierarchical porous carbon (N-PC-G/CS) nanocomposite was obtained by ultrasonic method, as a novel sensor platform for determination of tartrazine (TT). The nanocomposite as prepared had well dispersivity in water and excellent conductivity. The N-PC-G/CS nanocomposite was characterized by scanning electron microscopy (SEM), transmission electron microscopy (TEM), nitrogen adsorption-desorption, fourier transform infrared (FTIR) and electrochemical impedance spectroscopy (EIS). The application of N-PC-G/CS for determination of tartrazine (TT) was investigated by chronocoulometry (CC), cyclic voltammetry (CV) and differential pulse voltammetry (DPV). Under optimized conditions, the sensor displayed a sensitive response to TT within a wide concentration range of 0.05-15.0μmol/L, the detection limits is 0.036 μmol/L (S/N=3). Furthermore, this nanocomposite could be efficiently applied for determination of TT in soft drink samples.
  • Sha Zhou, Shaa Zhou, Yong-Tao Xie, Ru-Yi Jin, Xiang-De Meng, Dong-Kai Zhang, Xue-Wen Hua, Ming Liu, Chang-Chun Wu, Li-Xia Xiong, Yu Zhao, Zheng-Ming Li
    中国化学快报. 2017, 28(07): 1499-1504. https://doi.org/10.1016/j.cclet.2017.02.021
    摘要 ( ) PDF全文 ( ) HTML 可视化 收藏
    Due to new mechanism of action and ecofriendly characteristics, dicarboxamide insecticides have attracted more and more attentions in modern pest management. A series of 20 dual chiral N-cyano sulfilimines containing two centers (carbon and sulfur) were designed and synthesized. All title compounds were determined by 1H NMR, high-resolution mass spectrometry (HRMS) and optical polarimeter. The preliminary results indicated that some of them exhibited favourable insecticidal activities against oriental armyworm (Pseudaletia separata Walker). These isomers exhibited different impact on activity following the sequence as (Sc, Ss)≥(Sc, Rs), and the rule of title compounds’ activity against oriental armyworm was 3-CF3≥2-CH3-4-Cl >2, 3, 4-trifluro in the anilide moiety. The results indicated that these groups such as 3-CF3, 2-CH3-4-Cl or 2, 3, 4-trifluro were inefficient to replace heptafluoroisopropyl group for high larvicidal activity, which provided some guidance for the further modifications of sulfiliminyl dicarboxamides.
  • Qing-Wei Zhang, Ling Jiang, Guan Wang, Jian-Qi Li
    中国化学快报. 2017, 28(07): 1505-1508. https://doi.org/10.1016/j.cclet.2017.02.003
    摘要 ( ) PDF全文 ( ) HTML 可视化 收藏
    In search of novel neuroprotective agents with higher potency and lower hERG liability, a series of novel Fenazinel derivatives were designed and synthesized, among which compounds 8m-o containing amide moiety exhibited good neuroprotective effects in vitro and in vivo. Especially, the representative compound 8o showed lower activity in a patch clamp hERG K+ ion channel screen and could be considered as a lead compound for further development. These findings provided an alternative approach to the development of drugs more potent than Fenazinel for the intervention of ischemic stroke.
  • Shi-Chao Xu, Shou-Ji Zhu, Jing Wang, Liang-Wu Bi, Yu-Xiang Chen, Yan-Ju Lu, Yan Gu, Zhen-Dong Zhao
    中国化学快报. 2017, 28(07): 1509-1513. https://doi.org/10.1016/j.cclet.2017.03.005
    摘要 ( ) PDF全文 ( ) HTML 可视化 收藏
    p-Menthane type monoterpene derivatives were identified as bio-based compounds with high herbicidal activities. In order to search novel p-menthane type monoterpene derivatives in good performance, a series of novel cis-p-menthane type Schiff base derivatives were designed and synthesized. All target products were easily available novel compounds and characterized by FT-IR, 1H NMR, 13C NMR and ESI+- MS. Their pre-emergence herbicidal activities against annual ryegrass were evaluated. The bioassays indicated that most of the target compounds displayed excellent herbicidal activities in pre-emergence treatment.
  • Xi-Feng Zhu, Jing Zhang, Shuo Sun, Yan-Chun Guo, Shu-Xia Cao, Yu-Fen Zhao
    中国化学快报. 2017, 28(07): 1514-1518. https://doi.org/10.1016/j.cclet.2017.02.012
    摘要 ( ) PDF全文 ( ) HTML 可视化 收藏
    Two series of α-aminophosphonate derivatives containing a quinoline moiety have been designed and synthesized by introducing bioactive quinoline scaffold to α-aminophosphonate. The in vitro cytotoxic activities of target compounds were first investigated against two human cancer cell lines including Eca109 and Huh7 by MTT assay. Results revealed that most of target compounds exhibited moderate to high antitumor activities against the tested cancer cell lines and some demonstrated more potent inhibitory activities compared with Sunitinib. Among them, compounds 4b2 and 4b4 containing methylsubstituted aniline group were found to be more active than Sunitinib against both of two cancer cell lines, with IC50 in the range of 2.26μmol/L-7.46μmol/L.
  • Guo-Ning Zhang, Yi Huan, Xing Wang, Su-Juan Sun, Zhu-Fang Shen, Wei-Shuo Fang
    中国化学快报. 2017, 28(07): 1519-1522. https://doi.org/10.1016/j.cclet.2017.04.034
    摘要 ( ) PDF全文 ( ) HTML 可视化 收藏
    A series of benzoxepin-5-ones were designed and synthesized by the cyclization of chalcones which were previously found as FXR antagonists. The cellular FXR antagonism of benzoxepines was investigated, among which the most potent compound 10l was able to reduce the plasma and hepatic triglyceride and plasma ALT levels in mice.
  • Chuan-Liang Zhang, Shan Liu, Xiao-Chun Liu, Jiang-Ming Gao, Shu-Lin Wang
    中国化学快报. 2017, 28(07): 1523-1527. https://doi.org/10.1016/j.cclet.2017.03.010
    摘要 ( ) PDF全文 ( ) HTML 可视化 收藏
    The BH3 mimetics targeting the interaction between the BH3-only proteins and their prosurvival Bcl-2 family proteins have shown enormous potential as cancer therapeutics. Herein, seven analogues targeting anti-apoptotic Bcl-2 proteins derived from the Bim BH3 domain via sequence simplification and/or modification are described. The in vitro binding affinity on anti-apoptotic Bcl-2 proteins and cell killing activity were evaluated. The results showed that analogues could significantly bind to target proteins and exhibited anti-cancer effect against three cancer cell lines. Of particular interest were the analogue SM-5 (KD=9.48 nmol/L for Bcl-2) and SM-6 (KD=0.08 nmol/L for Bcl-xL), which exhibited improved binding affinity compared with the lead Bim (KD=16.90 nmol/L for Bcl-2 and 22.2 nmol/L for Bcl-xL, respectively). These results indicated that the peptide sequence containing the four hydrophobic side chains occupying pockets within the BH3-recognition cleft of anti-apoptotic Bcl-2 proteins might be the minimum sequence required for the bioactivity and the active core region of Bim. Promising inhibitors of anti-apoptotic Bcl-2 proteins with high bioactivity might be designed based on the active core.
  • Vishnu Nayak Badavath, Chandrani Nath, Narayana Murthy Ganta, Gulberk Ucar, Barij Nayan Sinha, Venkatesan Jayaprakash
    中国化学快报. 2017, 28(07): 1528-1532. https://doi.org/10.1016/j.cclet.2017.02.009
    摘要 ( ) PDF全文 ( ) HTML 可视化 收藏
    A series of 2-(arylmethylidene)-2,3-dihydro-1-benzofuran-3-one derivatives (aurones, 1-20) were synthesized and screened for their inhibitory activity against hMAO. Seventeen compounds (1-5, 7-17, 19) were found to be selective towards hMAO-B, while two were non-selective (6 and 20) and one (18) selective towards hMAO-A. Compound 17 (Ki=0.10±0.01 μmol/L) was found to be equally potent and selective towards hMAO-B, when compared with the standard drug Selegiline (Ki=0.12±0.01 μmol/L). Nature and position of substitution in aryl ring at 2nd position of benzofuranone influences hMAO-B inhibitory potency, while their structural bulkiness influences selectivity between hMAO-A and hMAO-B. Molecular docking simulation was also carried out to understand the interaction of inhibitor with the enzyme at molecular level, and we found the docking results were in good agreement with the experimental values. Comparison of the activity profile of the aurones with their corresponding flavones reported earlier by our group revealed that there exists no difference in potency as well as selectivity.
  • Chao Niu, Adila Tuerxuntayi, Gen Li, Madina Kabas, Chang-Zhi Dong, Haji Akber Aisa
    中国化学快报. 2017, 28(07): 1533-1538. https://doi.org/10.1016/j.cclet.2017.03.018
    摘要 ( ) PDF全文 ( ) HTML 可视化 收藏
    The Vernohia anthelmintica L.'s extract is one of the most popular Uygur medicines used for vitiligo. It is believed that the chalcone compounds of the plant play an important role in the treatment since they may activate tyrosinase and improve melanin production. In this study, twenty-one chalcones and nine analogues were synthesized in view of three different components of chalcone (A, B ring and α,β-unsaturated carbonyl). After biological evaluation of their activity on tyrosinase in cell-free systems, the result showed that most compounds (except polyhydroxy chalcones) possess activator effect on the tyrosinase, especially for 13a-15a, 20a and 1b, which bearing a comparable activity to the positive control 8-MOP. SAR of these tyrosinase activator was summed up for the first time as well. Finally, compound 13a was found to increase melanin contents and tyrosinase activity 1.75 and 1.3 fold, respectively, compared with that of untreated murine B16 cells at the concentration of 40 μg/mL.
  • Jin-An Zhao, Huai-Bin Yu, Shuang-Cheng Zhi, Rui-Na Mao, Ji-Yong Hu, Xiao-Xiao Wang
    中国化学快报. 2017, 28(07): 1539-1546. https://doi.org/10.1016/j.cclet.2017.03.025
    摘要 ( ) PDF全文 ( ) HTML 可视化 收藏
    In this study, novel mono/di-nuclear Cu(p-2-bmb)(OH)(ClO4) (1) and Co2(p-2-bmb)2Cl4 (2) (p-2-bmb=1- ((2-(pyridin-2-yl)-benzoimidazol-1-yl)methyl)-1H-benzotriazole) complexes with the nitrogen heterocyclic benzimidazole-based ligand were synthesized and characterized. The two complexes showed antiproliferative effects in various carcinoma cell lines, especially complex 1 in the SMMC7721 tumor cell line. Complex 1 was also able to pass through the cell membrane and enter the nucleus and mitochondrion. An analysis of in vitro chemical nuclease activity revealed that complex 1 partially intercalated to calf thymus DNA and exhibited strong unwinding activity against pBR322 superhelical plasmid DNA. The comet assay and flow cytometry analysis confirmed that 1 caused extensive DNA damage and arrested SMMC7721 tumor cells at G2/M phase of the cell cycle, leading to loss of mitochondrial membrane potential and apoptosis. These results suggest that these benzimidazole-based metal complexes could be potential anti-cancer agents.
  • Wen-Long Wang, Li-Jun Song, Bo-Chun Hu, Li Miao, Xiao-Yu Chen, Wen-Hua Fan, Xu-Ren Yin, Shuang Shen, Zhao-Feng Ding, Chuan-Xin Yu
    中国化学快报. 2017, 28(07): 1547-1552. https://doi.org/10.1016/j.cclet.2017.03.036
    摘要 ( ) PDF全文 ( ) HTML 可视化 收藏
    Decoquinate (1), an old and inexpensive coccidiostat, exhibited potent antimalarial activity, however, its antischistosomal activity against Schistosoma japonicum has not yet been evaluated. Based on decoquinate, a series of decoquinate derivatives was designed, synthesized, evaluated as a new class of antischistosomal agents against S. japonicum adult worms in vitro. Among them, compound 15 killed 100% of adult S. japonicum in 72 h at the concentration of 10 μmol/L in vitro, exhibited stronger wormkilling activity than PZQ in vitro and could serve as a promising lead compound to develop new antischistosomal agents.
  • Guang Huang, Hui-Ran Zhao, Qing-Qing Meng, Wen Zhou, Qi-Jing Zhang, Jin-Yun Dong, Jia-Hua Cui, Shao-Shun Li
    中国化学快报. 2017, 28(07): 1553-1558. https://doi.org/10.1016/j.cclet.2016.10.034
    摘要 ( ) PDF全文 ( ) HTML 可视化 收藏
    6-Substituted 5,8-O-dimethyl-1,4-naphthoquinones (6-DMNQ), the promising anticancer scaffolds, were selectively generated by oxidative demethylation of 2-substituted 1,4,5,8-tetramethoxynaphthalenes with CAN in EtOAc/H2O in comparatively high yields. An interesting finding was that apart from the reported electron-withdrawing effects of substituents on position 2 of naphthalene ring, regioselective synthesis of 6-DMNQ was largely dependent on the steric effects in CAN-mediated oxidation. The selective cytotoxicities of 6-DMNQ from the in vitro cell-based assays were exhibited between the cancer cells and normal cells. Moreover, most of sulfur-containing 6-DMNQ derivatives displayed better anticancer activities than the corresponding oxygen-containing ones, which could provide an available strategy for the design of 6-DMNQ derivatives as potential anticancer agents.
  • Mohammad Arshad, Abdul Roouf Bhat, Kwon Kang Hoi, Inho Choi, Fareeda Athar
    中国化学快报. 2017, 28(07): 1559-1565. https://doi.org/10.1016/j.cclet.2016.12.037
    摘要 ( ) PDF全文 ( ) HTML 可视化 收藏
    A new series of 1, 2, 4-triazine derivatives possessing indole nucleus were synthesized with an aim to explore their effect on in vitro growth of microorganisms causing microbial infection. In vitro antimicrobial activity was performed against S. aureus, S. epidermidis, P. mirabilis and E. coli using disk diffusion method. The MIC was detected using the double dilution method. The results were compared by calculating percent inhibition area/μg of the compounds with the standard drug "Ciprofloxacin". Selected compounds were evaluated for toxic effects using human hepatocellular carcinoma (HepG2) cell line by MTT-assay. Results revealed that some compounds of the series were found to exhibit better activity with less toxicity than Ciprofloxacin.
  • Liang-Run Dong, De-Yu Hu, Zeng-Xue Wu, Ji-Xiang Chen, Bao-An Song
    中国化学快报. 2017, 28(07): 1566-1570. https://doi.org/10.1016/j.cclet.2017.03.013
    摘要 ( ) PDF全文 ( ) HTML 可视化 收藏
    A series of novel chalcone derivatives that contain the 1,1-dichloropropene moiety was designed and synthesized. Bioactivity assays showed that most of the target compounds exhibited moderate to good antiviral activity against tobacco mosaic virus (TMV) at 500 μg/mL. Among the target compounds, compound 7h showed the highest in vivo inactivation activity against TMV with the EC50 and EC90 value of 45.6 and 327.5 μg/mL, respectively, which was similar to that of Ningnanmycin (46.9 and 329.4 μg/mL) and superior to that of Ribavirin (145.1 and 793.1 μg/mL). Meanwhile, the microscale thermophoresis and fluorescence spectroscopy experiments showed that the compound 7h had a strong interaction with the tobacco mosaic virus coat protein.
  • Veera Swamy Konkala, Pramod Kumar Dubey
    中国化学快报. 2017, 28(07): 1571-1576. https://doi.org/10.1016/j.cclet.2017.02.005
    摘要 ( ) PDF全文 ( ) HTML 可视化 收藏
    Sulfamic acid (SA) is a bi-functional, cost-effective and reusable green catalyst for the synthesis of 4- (pyrazol-4-yl)methylenepyrazol-5(4H)-one derivatives by one-pot, three-component condensation of pyrazol-4-carbaxaldehydes, β-ketoesters and phenyl hydrazine (Route-I). In addition to this method, another simple condensation of pyrazol-4-carbaxaldehydes with pyrazolone in the presence of SA under the solvent-free condition in good yield is reported. The merits of these protocols are mild conditions, non-aqueous workup, high yields, easy availability of the catalyst, no chromatographic separation and inexpensive solid acid catalyst. Furthermore, SA could be recycled and reused for five times without losing its catalytic activity.
  • Asha V. Chate, Priyanka K. Bhadke, Manisha A. Khande, Jaiprakash N. Sangshetti, Charansingh H. Gill
    中国化学快报. 2017, 28(07): 1577-1582. https://doi.org/10.1016/j.cclet.2017.03.007
    摘要 ( ) PDF全文 ( ) HTML 可视化 收藏
    An efficient and green method has been developed for the synthesis of 2H-indazolo[2,1-b]phthalazinetriones derivatives by employing 15 mol% β-cyclodextrinvia a one-pot multicomponent reaction of aldehyde, dimedone, hydrazine hydrate with succinic anhydride/phthalic anhydride in water at 80 ℃ for first time. The catalyst could be recovered and reused for four consecutive cycles without appreciable loss in catalytic activity and evaluated for in vitro antimicrobial activity against different Gram-positive and Gram-negative bacterial strains. The outcome of the screening study showed that compound 6d, 6f and 7n exhibited excellent activity against E. coil. Whereas, compound 6f and 6h exhibited excellent activity against P. aeurginosa, and compound 6c, and 6e displayed again excellent activity against Staphylococcus aureus whereas compound 7o shows excellent activity against S. aureus and B. subtilis when compared with Ampicillin (standard control). The results indicated that maximum compounds are moderately effective against bacterial growth and their effectiveness is highest against standard drugs.
  • Muhammad Ammar, Yan Cao, Peng He, Li-Guo Wang, Jia-Qiang Chen, Hui-Quan Li
    中国化学快报. 2017, 28(07): 1583-1589. https://doi.org/10.1016/j.cclet.2017.03.015
    摘要 ( ) PDF全文 ( ) HTML 可视化 收藏
    A set of mono- and bimetallic (Zn-Co) supported ZSM-5 catalysts was first prepared by PEG-additive method. The physicochemical properties of the catalysts were investigated by FTIR, XPS, XRD, N2 adsorption-desorption measurements, SEM, EDS and NH3-TPD techniques. The physicochemical properties showed that the ZnCo2O4 spinel oxide was formed on the ZSM-5 support and provided effectual synergetic effect between Zn and Co species for the bimetallic catalyst. Furthermore, bimetallic supported ZSM-5 catalyst exhibited weak, moderate and strong acidic sites, while the monometallic supported ZSM-5 catalyst showed only weak and moderate or strong acidic sites. Their catalytic performances for thermal decomposition of hexamethylene-1,6-dicarbamate (HDC) to hexamethylene- 1,6-diisocyanate (HDI) were then studied. It was found that the bimetallic supported ZSM-5 catalysts, especially Zn-2Co/ZSM-5 catalyst showed excellent catalytic performance due to the good synergetic effect between Co and Zn species, which provided a suitable contribution of acidic sites. HDC conversion of 100% with HDI selectivity of 91.2% and by-products selectivity of 1.3% could be achieved within short reaction time of 2.5 h over Zn-2Co/ZSM-5 catalyst.
  • Nurul Hidayah Abdullah, Kamyar Shameli, Ezzat Chan Abdullah, Luqman Chuah Abdullah
    中国化学快报. 2017, 28(07): 1590-1596. https://doi.org/10.1016/j.cclet.2017.02.015
    摘要 ( ) PDF全文 ( ) HTML 可视化 收藏
    A facile and green synthetic approach for fabrication of starch-stabilized magnetite nanoparticles was implemented at moderate temperature. This synthesis involved the use of iron salts, potato starch, sodium hydroxide and deionized water as iron precursors, stabilizer, reducing agent and solvent respectively. The nanoparticles (NPs) were characterized by UV-vis, PXRD, HR-TEM, FESEM, EDX, VSM and FT-IR spectroscopy. The ultrasonic assisted co-precipitation technique provides well formation of highly distributed starch/Fe3O4-NPs. Based on UV-vis analysis, the sample showed the characteristic of surface plasmon resonance in the presence of Fe3O4-NPs. The PXRD pattern depicted the characteristic of the cubic lattice structure of Fe3O4-NPs. HR-TEM analysis showed the good dispersion of NPs with a mean diameter and standard deviation of 10.68±4.207 nm. The d spacing measured from the lattice images were found to be around 0.30 nm and 0.52 nm attributed to the Fe3O4 and starch, respectively. FESEM analysis confirmed the formation of spherical starch/Fe3O4-NPs with the emission of elements of C, O and Fe by EDX analysis. The magnetic properties illustrated by VSM analysis indicated that the as synthesized sample has a saturation magnetization and coercivity of 5.30 emu/g and 22.898 G respectively. Additionally, the FTIR analysis confirmed the binding of starch with Fe3O4-NPs. This method was cost effective, facile and eco-friendly alternative for preparation of NPs.
  • Dao-Qing Dong, Shuang-Hong Hao, Hui Zhang, Zu-Li Wang
    中国化学快报. 2017, 28(07): 1597-1599. https://doi.org/10.1016/j.cclet.2017.03.008
    摘要 ( ) PDF全文 ( ) HTML 可视化 收藏
    A novel and efficient method for the synthesis of amide has been developed. The reactions proceeded smoothly under aqueous conditions at room temperature and generated the corresponding products in good to excellent yields. It is worth noting that alkyl amines which did not react in known approaches are well tolerated in our system.
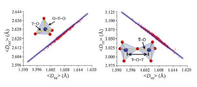
  • Ying-Zhi Cheng, Xiu-Yu Sun, Xiao-Ling Xiao, Xiang-Feng Liu, Li Xue, Zhong-Bo Hu
    中国化学快报. 2017, 28(07): 1600-1606. https://doi.org/10.1016/j.cclet.2017.03.002
    摘要 ( ) PDF全文 ( ) HTML 可视化 收藏
    Crystal structures and thermal expansion properties of Yb2-xFexMo3O12 (x=0.0, 0.6, 1.0, 1.1, 1.4) solid solutions have been studied by X-ray powder diffraction (XRPD) at different temperatures. Rietveld analysis of the XRPD data shows that Yb2-xFexMo3O12 solid solutions adopt orthorhombic structure and have variable thermal expansion coefficients controlled by the ratio of Yb3+ to Fe3+. Yb2Mo3O12 shows anisotropic negative thermal expansion property, induced by the reductions in average Yb-O-Mo angle and average apparent Mo2-O bond length with increasing temperatures. As more Yb3+ substituted by Fe3+, the linear thermal expansion coefficients of Yb2-xFexMo3O12 increase from negative to positive. A near-zero thermal expansion coefficient of 0.55×10-6 K-1 for Yb0.6Fe1.4Mo3O12 is observed in the temperature range of 573-873 K.
  • Suneel Kumar Yadavalli, Nawaz Khan Fazlur-Rahman
    中国化学快报. 2017, 28(07): 1607-1612. https://doi.org/10.1016/j.cclet.2017.02.007
    摘要 ( ) PDF全文 ( ) HTML 可视化 收藏
    The Suzuki-Miyaura reaction of methyl-5-bromo-8-(tosyloxy)-1,6-naphthyridine-7-carboxylate (5), with 2 equiv. of arylboronic acids gave diarylated product, 5,8-diaryl-1,6-naphthyridine-7-carboxylate (7), whereas 1 equiv. of arylboronic acid resulted in site-selective formation of 5-aryl-8-(tosyloxy)-1,6- naphthyridine-7-carboxylate (8). The reactions proceeded with excellent chemo-selectivity in favor of the bromide group. Likewise, one-pot reaction with completely different boronic acids by sequential addition produced 1,6-naphthyridine-7-carboxylates, (10) containing two different aryl groups at 5 and 8 positions.
  • Ru-Bin Lee, Joon-Ching Juan, Chin-Wei Lai, Kian-Mun Lee
    中国化学快报. 2017, 28(07): 1613-1618. https://doi.org/10.1016/j.cclet.2017.03.006
    摘要 ( ) PDF全文 ( ) HTML 可视化 收藏
    Ilmenite is natural mineral ore made up with titanium and iron mineral; including small portion of magnesium and manganese. To the best of our knowledge, photo-degradation of Reactive Black 5 dye (RB 5) using ilmenite under solar irradiation is still lacking. In the present study, the physicochemical properties of ilmenite were characterized by using X-ray diffraction (XRD), Scanning electron microscope (SEM), BET and Raman Spectroscopy. Based on our results obtained, 73% solar-driven photo-degradation of RB 5 was successfully obtained when the catalyst loading increased up to 2.0 g/L for 20 min. In general, the photo-degradation of RB 5 by ilmenite followed first-order kinetics. The pH had a significant effect, with the most rapid degradation occurring at pH less than 7.
  • Priya Chacko, Kalegowda Shivashankar
    中国化学快报. 2017, 28(07): 1619-1624. https://doi.org/10.1016/j.cclet.2017.04.015
    摘要 ( ) PDF全文 ( ) HTML 可视化 收藏
    A simple one pot procedure for the synthesis of α-amino acyl amide with chromone, indole, and napthalene substitution pattern is presented. This protocol involves the nano structured spinel Co3O4 catalysed coupling of aryl alcohols, anilines, carboxylic acids and tert-butyl isocyanide. The salient features of this protocol were simple procedure, mild reaction condition and high yield.