本期目录

2017年, 第28卷, 第06期 刊出日期:2017-06-22
  

  • 全选
    |
    展望
  • Zhi-Zhi Sheng, Xiao Liu, Ling-Li Min, Hong-Long Wang, Wei Liu, Miao Wang, Li-Zhi Huang, Feng Wu, Xu Hou
    中国化学快报. 2017, 28(06): 1131-1134. https://doi.org/10.1016/j.cclet.2017.03.033
    摘要 ( ) PDF全文 ( ) HTML 可视化 收藏
    Advances in medical devices have revolutionized the treatment of human diseases, such as stents in occluded coronary artery, left ventricular assist devices in heart failure, pacemakers in arrhythmias, etc. Despite their significance, the development of devices for reducing and avoiding the thrombosis formation, obtaining excellent mechanical performance, and achieving stable electronic physiology remains challenging and unresolved. Fortunately, nature serves as a good resource of inspirations, and brings us endless bioinspired physicochemical ideas to better the development of novel artificial materials and devices that enable us to potentially overcome the unresolved obstacles. Bioinspired approaches, in particularly, owe much of their current development in biology, chemistry, materials science, medicine and engineering to the design and fabrication of advanced devices. The application of bioinspired devices is a burgeoning area in these fields of research. In this perspective, we would take the cardiovascular device as one example to show how these bioinspired approaches could be used to build novel, advanced biomedical devices with precisely controlled functions. Here, bioinspired approaches are utilized to solve issues like thrombogenic, mechanical and electronic physiology problems in medical devices. Moreover, there is an outlook for future challenges in the development of bioinspired medical devices.
  • 评论
  • Ming-Xue Wu, Ying-Wei Yang
    中国化学快报. 2017, 28(06): 1135-1143. https://doi.org/10.1016/j.cclet.2017.03.026
    摘要 ( ) PDF全文 ( ) HTML 可视化 收藏
    Covalent organic frameworks (COFs) are an emerging class of porous covalent organic structures whose backbones were composed of light elements (B, C, N, O, Si) and linked by robust covalent bonds to endow such material with desirable properties, i.e., inherent porosity, well-defined pore aperture, ordered channel structure, large surface area, high stability, and multi-dimension. As expected, the above-mentioned properties of COFs broaden the applications of this class of materials in various fields such as gas storage and separation, catalysis, optoelectronics, sensing, small molecules adsorption, and drug delivery. In this review, we outlined the synthesis of COFs and highlighted their applications ranging from the initial gas storage and separation to drug delivery.
  • Yaming Yu, Peng Gao
    中国化学快报. 2017, 28(06): 1144-1152. https://doi.org/10.1016/j.cclet.2017.04.020
    摘要 ( ) PDF全文 ( ) HTML 可视化 收藏
    Nowadays, both n-i-p and p-i-n perovskite solar cells (PSCs) device structures are reported to give high performance with photo conversion efficiencies (PCEs) above 20%. The efficiency of the PSCs is fundementally determined by the charge selective contact materials. Hence, by introducing proper contact materials with good charge selectivity, one could potentially reduce interfacial charge recombination as well as increase device performance. In the past few years, copious charge selective contact materials have been proposed. Significant improvements in the corresponding devices were observed and the reported PCEs were close to that of classic Spiro-OMeTAD. This mini-review summarizes the state-of-the-art progress of typical electron/hole selective contact materials for efficient perovskite solar cells and an outlook to their development is made.
  • 论著
  • Yan-Fu Ma, Hao Wang, Guang-Yue Xu, Xiao-Hao Liu, Ying Zhang, Yao Fu
    中国化学快报. 2017, 28(06): 1153-1158. https://doi.org/10.1016/j.cclet.2017.03.017
    摘要 ( ) PDF全文 ( ) HTML 可视化 收藏
    A series of cobalt catalysts with different supports were prepared for the selective conversion of biomassderived furfural to cyclopentanol (CPL) in one step. The best CPL yield was 82 mol% at 160℃, 2 MPa H2, 4 h when cobalt was supported on ZrO2-La2O3. The supports were characterized by X-ray diffraction (XRD) and temperature-programmed desorption of ammonia (NH3-TPD). The XRD results indicated that the more stable t-ZrO2 formed by doping La2O3. The amount of acid sites of the catalyst increased, too. The influences of parameters such as reaction temperature, hydrogen pressure, and reaction time on the catalytic activity were also investigated. The polymer formed during the reaction may cause the deactivation of the Co/ZrO2-La2O3 catalyst. This work provides a possibility to prepare the stable t-ZrO2 and apply with cobalt metal for biomass valorization.
  • Mei-Xiang Bi, Peng Qian, Yu-Kang Wang, Zheng-Gen Zha, Zhi-Yong Wang
    中国化学快报. 2017, 28(06): 1159-1162. https://doi.org/10.1016/j.cclet.2017.04.030
    摘要 ( ) PDF全文 ( ) HTML 可视化 收藏
    A novel bromination of α,β-unsaturated carboxylic acids was developed via a decarboxylation by virtue of a direct anodic electro-oxidation. In this method, ammonium bromide was employed as a bromine source and the reaction features transition-metal-free, short time, and no additional supporting electrolyte.
  • Qing-Qing Xuan, Ya-Hui Wei, Qiu-Ling Song
    中国化学快报. 2017, 28(06): 1163-1166. https://doi.org/10.1016/j.cclet.2017.04.031
    摘要 ( ) PDF全文 ( ) HTML 可视化 收藏
    The highly regio- and stereoselective hydroborations of unactivated internal alkynes with diboron compound catalyzed by Cu(OTf)2 with spiro(phosphoamidite) as ligand in the presence of Cs2CO3 in water was developed. This protocol was applied efficiently in the aqueous synthesis of multi-substituted vinylboranes.
  • Zhi-Jian Yin, Zong-Quan Wu, Feng Lin, Qiao-Yan Qi, Xiao-Na Xu, Xin Zhao
    中国化学快报. 2017, 28(06): 1167-1171. https://doi.org/10.1016/j.cclet.2017.03.029
    摘要 ( ) PDF全文 ( ) HTML 可视化 收藏
    A supramolecular bottlebrush polymer has been constructed in water through the self-assembly of a rigid electron-deficient building block and an electron-rich monomer which bears two tetraethylene glycol chains, driven by CB[8]-encapsulation-enhanced donor-acceptor interaction. The as-formed supramolecular bottlebrush polymer has been characterized by 1H NMR titration experiment, UV-vis spectroscopy, DLS and 2D 1H NMR DOSY.
  • Hui Zhao, Xiang-Guo Hu, Min-Jie Xu, Qun-Xing Cai, Yu-Jun Liu, Duo-Meng Su, Shi-Jin Chen, Kai Wang, Zhu-Nan Gong
    中国化学快报. 2017, 28(06): 1172-1175. https://doi.org/10.1016/j.cclet.2017.03.041
    摘要 ( ) PDF全文 ( ) HTML 可视化 收藏
    Leonurine (1), an important ingredient in leonurus sibiricus L., can be used for some gynecological disease. We have developed a concise and efficient synthetic route of Leonurine, which can be optimized for mass production. Commercially available compound 6 and 2,3-dihydrofuran (7) were used as starting materials. And the toxicity study on zebrafish shows that Leonurine would promote the hatching of zebrafish embryos at low concentration and result in acute death or chronic lethal toxicity at high concentration.
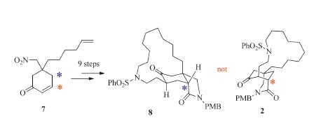
  • Yan-Jiao Gao, Shi-Peng Luo, Jian-Liang Ye, Pei-Qiang Huang
    中国化学快报. 2017, 28(06): 1176-1181. https://doi.org/10.1016/j.cclet.2017.04.016
    摘要 ( ) PDF全文 ( ) HTML 可视化 收藏
    We describe the design and execution of a novel synthetic route to the tricyclic core of haliclonin A, a tetracyclic marine natural product. The approach features Bachi's thiol-medicated free radical cyclization of alkenyl isocyanide to build the bridged ring system, and ring-closing metathesis (RCM) reaction to form the macrocycle. Execution of the synthetic plan ultimately resulted in a diazatricyclic compound. By means of 2D NMR techniques, the structure of this compound was revealed to an unexpected product 8. Analysis of the synthetic pathways allowed concluding that the unexpected product is a result of an "unexpected" migration of olefinic bond during dioxolanation of the 2-cyclohexenone derivative 7. This investigation also resulted in a concise construction of the functionalized hexahydro-1H-isoindole-1,5 (4H)-dione 12 and the macrocyclic tricyclic ring system 8.
  • Hong-Tao Ji, Qing-Shan Tian, Jian-Nan Xiang, Guo-Zhu Zhang
    中国化学快报. 2017, 28(06): 1182-1184. https://doi.org/10.1016/j.cclet.2017.03.016
    摘要 ( ) PDF全文 ( ) HTML 可视化 收藏
    An efficient, chromium-catalyzed highly enantioselective preparation of protected 1, 3-diols has been achieved. In the presence of a chiral chromium catalyst using the carbazole-based bisoxazoline as the chiral ligand, a variety of optically pure 1,3-diols were synthesized in 34%-87% yields with up to 98% ee. The benzyl as well as silyl ethers were suitable substitutions for the hydroxyl group. Meanwhile, aromatic, aliphatic and α,β-unsaturated aldehydes are well tolerated under the mild reaction conditions.
  • Xue Zhou, Qing-Lan Guo, Cheng-Gen Zhu, Cheng-Bo Xu, Ya-Nan Wang, Jian-Gong Shi
    中国化学快报. 2017, 28(06): 1185-1189. https://doi.org/10.1016/j.cclet.2017.03.028
    摘要 ( ) PDF全文 ( ) HTML 可视化 收藏
    Gastradefurphenol (1), a minor 9,9'-neolignan with a novel carbon skeleton substituted by two p-hydroxybenzyls was isolated from an aqueous extract of the Gastrodia elata rhizomes (tian ma). Its structure was determined by extensive spectroscopic data analysis. Solvent-dependent free rotational restriction of bonds and equilibrium of two molecular states are discussed by comparison of the NMR spectroscopic data of 1 in acetone-d6 with those in CD3OD. A biogenetic pathway of 1 is postulated to be associated with metabolic processes of L-tyrosine.
  • Duo-Qing Xue, Hai-Li Liu, Si-Han Chen, Ernesto Mollo, Margherita Gavagnin, Jia Li, Xu-Wen Li, Yue-Wei Guo
    中国化学快报. 2017, 28(06): 1190-1193. https://doi.org/10.1016/j.cclet.2017.03.040
    摘要 ( ) PDF全文 ( ) HTML 可视化 收藏
    Two new 5-alkylpyrrole-2-carboxaldehyde derivatives, mycalenitrile-15 (1) and mycalenitrile-16 (2), along with five known related ones (3-7), were isolated from the South China Sea sponge Mycale lissochela. The structures of the new compounds were elucidated on the basis of extensive spectroscopic analysis and by comparison of their NMR data with those reported in the literature. In bioassay, compounds 1 and 7 exhibited significant PTP1B (Protein-tyrosine phosphatase 1B, a recognized target for diabetes and obesity) inhibitory activities with IC50 values of 8.6 and 3.1 μmol/L, respectively. A preliminary SAR analysis of the isolated compounds with their PTP1B inhibitory effects was described.
  • Na Gao, Zhi-Chun Shang, Pei Yu, Jie Luo, Kai-Li Jian, Ling-Yi Kong, Ming-Hua Yang
    中国化学快报. 2017, 28(06): 1194-1199. https://doi.org/10.1016/j.cclet.2017.02.022
    摘要 ( ) PDF全文 ( ) HTML 可视化 收藏
    One new indoloditerpene, 6,7-dehydropaxilline (1), one new indole-diketopiperazine, spirotryprostatin F (2), and one new 13-membered macrolide, N-demethylmelearoride A (3), as well as 8 known alkaloids (4-11), were isolated from the solid cultures of the endophytic fungus, Penicillium brefeldianum. The structures and absolute configurations of compounds 1-3 were elucidated by comprehensive spectroscopic analysis and the circular dichroism (CD) exciton chirality method. All the metablites were evaluated for their cytotoxic activites against three human tumor cell lines. Compound 2 exhibited cytotoxicities against HepG2 and MDA-MB-231 cells with IC50 values of 14.1 μmol/L and 35.5mmol/L, respectively. Compound 3 showed moderate activity against HepG2 cells with IC50 values of 36.6 μmol/L.
  • Yuan Ma, Ji-Mei Liu, Ri-Dao Chen, Xi-Qiang An, Jun-Gui Dai
    中国化学快报. 2017, 28(06): 1200-1204. https://doi.org/10.1016/j.cclet.2017.02.019
    摘要 ( ) PDF全文 ( ) HTML 可视化 收藏
    The microbial transformation of glycyrrhetinic acid (1) by Cunninghamella blakesleana CGMCC 3.970 led to the production of five new metabolites (2-6). The structures of the metabolites were determined by extensive spectroscopic (HR-ESIMS, 1D and 2D NMR) data analyses. The involved reactions exhibited specific hydroxylations at C-24, C-7, and C-15, and oxidation at C-3. Moreover, compounds 2, 5, and 6 showed significant neural anti-inflammatory activity by inhibiting lipopolysaccharide-induced NO production in mouse microglia BV2 cells with IC50 values of 0.76, 0.94, and 0.16 μmol/L, respectively.
  • Shuai-Zhen Zhou, Chun-Ping Tang, Chang-Qiang Ke, Sheng Yao, Ge Lin, Yang Ye
    中国化学快报. 2017, 28(06): 1205-1209. https://doi.org/10.1016/j.cclet.2017.02.020
    摘要 ( ) PDF全文 ( ) HTML 可视化 收藏
    Birhodomolleins A-C (1-3), three novel diterpenoids dimerized from two grayanane diterpenes through an oxygen bridge, were isolated from the flowers of Rhododendron molle. Their structures were elucidated by interpretation of their 1D and 2D NMR and other spectroscopic data. Birhodomollein A (1) contains a rare chloro-substitution on one of the grayanane moieties. These are the first examples of dimeric diterpenes from the Ericaceae family.
  • Mei-Jun Chu, Xu-Li Tang, Guo-Fei Qin, Nicole J. de Voogd, Ping-Lin Li, Guo-Qiang Li
    中国化学快报. 2017, 28(06): 1210-1213. https://doi.org/10.1016/j.cclet.2017.01.009
    摘要 ( ) PDF全文 ( ) HTML 可视化 收藏
    Three new non-brominated pyrrole alkaloids, nakamurines A-C (1-3) were isolated from the South China Sea sponge Agelas nakamurai. Their structures were elucidated on the basis of spectroscopic data. Compound 2 showed weak antimicrobial activity against Candida albicans with MIC of 60 μg/mL.
  • Guang-Yue Hou, Li-Hui Men, Lu Wang, Zhong Zheng, Zhi-Qiang Liu, Feng-Rui Song, Zhong-Ying Liu
    中国化学快报. 2017, 28(06): 1214-1219. https://doi.org/10.1016/j.cclet.2016.12.039
    摘要 ( ) PDF全文 ( ) HTML 可视化 收藏
    The effect of Radix Scutellariae treated on type 2 diabetic rats has been investigated by a liquid chromatography coupled with tandem mass spectrometry (LC-MS/MS) based urinary quantitative approach. In this research, multiple reactions monitoring mode of MS/MS in LC-MS/MS analysis was used to quantitatively analyze the concentrations of 7 endogenous compounds in urine of normal control group, type 2 diabetic model group and Radix Scutellariae-treated group, and multivariate statistical analysis was utilized for MS data processing. The above-mentioned three groups can be distinguished via pattern recognition. The obtained results indicated that Radix Scutellariae affect the urinary metabolic profiling of type 2 diabetic rats on the polyol pathway, protein glycation reaction and amino acids metabolism pathway. According to these results, Radix Scutellariae should have the pharmacological effect on preventing or delaying the onset and progression of diabetes and its complications.
  • Chao Ding, Dan Li, Yan-Wei Wang, Sai-Sai Han, Chun-Mei Gao, Chun-Yan Tan, Yu-Yang Jiang
    中国化学快报. 2017, 28(06): 1220-1227. https://doi.org/10.1016/j.cclet.2017.01.003
    摘要 ( ) PDF全文 ( ) HTML 可视化 收藏
    By combining the core pharmacophores of HDAC inhibitor vorinostat and kinase inhibitors vandetanib, BMS-690514, neratinib, and TAK-285 with 1,2,3-triazole as linker, eight novel 6-substituted-4- aminoquinazolin derivatives were synthesized and characterized by 1H NMR, 13C NMR, and high resolution mass spectrometry. Their inhibitory activities against five enzymes (VEGFR2, HER2, EGFR, HDAC1, and HDAC6) and five cancer cell lines (A549, BT-474, A431, SK-BR-3, and NCI-H1975) were evaluated. The bioassay results show that the introduction of triazole linked vorinostat-like segment dramatically changed the selectivity profiles of newly synthetic compounds relative to vandetanib, BMS- 690514, neratinib, and TAK-285. Among them, compound 6b exerted outstanding enzymatic and cellular activities through its simultaneous and synergistic inhibitions on multiple pathways, which might have the great potential to confer the better benefits than single-targeted inhibitors in cancer therapy.
  • Ya-Nan Zhang, Yi-An Feng, Zhong Li, Xu-Sheng Shao
    中国化学快报. 2017, 28(06): 1228-1231. https://doi.org/10.1016/j.cclet.2017.04.003
    摘要 ( ) PDF全文 ( ) HTML 可视化 收藏
    Phenalenone is a kind of defensive compound biosynthesized inside plants in response to the outside attack such as fungus and nematodes. A set of derivatives encompassing structural modifications on the privileged phenalenone scaffold were synthesized through introduction of phenyl and hydroxyl substitutes at 9-positon and 2-position and assessed their insecticidal activities against armyworm (Mythimna separata Walker) and cowpea aphids (Aphis craccivora). No obvious insecticidal activities of the synthesized compounds were observed against armyworm. Some of the 9-phenyl and 2-hydroxy substituted phenalenone analogues showed potential activities against cowpea aphids with 33%-41% mortality at 500 mg/L.
  • Qi Chen, Ji-Wei Zhang, Lu-Lu Chen, Jun Yang, Xin-Ling Yang, Yun Ling, Qing Yang
    中国化学快报. 2017, 28(06): 1232-1237. https://doi.org/10.1016/j.cclet.2017.03.030
    摘要 ( ) PDF全文 ( ) HTML 可视化 收藏
    Chitin is a structural component of fungal cell walls but is absent in vertebrates, mammals, and humans. Chitin synthase is thus an attractive molecular target for developing fungicides. Based on the structure of its donor substrate, UDP-N-acetyl-glucosamine, as well as the modelled structure of the bacterial chitin synthase NodC, we designed a novel scaffold which was then further optimized into a series of chitin synthase inhibitors. The most potent inhibitor, compound 13, exhibited high chitin synthase inhibitory activity with an IC50 value of 64.5 μmol/L. All of the inhibitors exhibited antifungal activities against the growth of agriculturally-destructive fungi, Fusarium graminearum,Botrytis cinerea, and Colletotrichum lagenarium. This work presents a new scaffold which can be used for the development of novel fungicides.
  • Jing-Peng Zhang, Xiang-Yang Li, Ya-Wen Dong, Yao-Guo Qin, Xin-Lu Li, Bao-An Song, Xin-Ling Yang
    中国化学快报. 2017, 28(06): 1238-1242. https://doi.org/10.1016/j.cclet.2017.02.002
    摘要 ( ) PDF全文 ( ) HTML 可视化 收藏
    To find new lead compounds with high biological activity, a series of novel 4-methyl-1,2,3-thiadiazole-5- carboxaldehyde benzoyl hydrazone derivatives were designed and synthesized. Their structures were confirmed by 1H NMR, 13C NMR, IR spectrum and elemental analysis. Preliminary bioassay indicated that the title compounds exhibited moderate to strong fungicidal activity against six fungi in vitro at 50 μg/mL. Moreover, some of the title compounds exhibited good curative activity against TMV in vivo at 500 μg/mL. The structure-activity relationship analysis of compounds against Valsa mali showed that compounds containing halogen at the para position on phenyl exhibited the best activity. Especially compound 8k showed broad spectrum fungicidal activities against Valsa mali, Botrytis cinerea, Pythium aphanidermatum, Rhizoctonia solani, Fusarium moniliforme and Alternaria solani with the EC50 values of 8.20, 24.42, 15.80, 40.53, 41.48, and 34.16 μg/mL, respectively.
  • Peng Wang, Fei Liu, Qiu Zhong, Shi-Long Zheng, Yue Chen, Guang-Di Wang, Ling He
    中国化学快报. 2017, 28(06): 1243-1247. https://doi.org/10.1016/j.cclet.2016.12.028
    摘要 ( ) PDF全文 ( ) HTML 可视化 收藏
    That tetraacetonitrile copper perchlorate catalyzes intramolecular amidation of arenes was found to be a new strategy for construction of nitrogen-containing heterocycles and resulted in the formation of a series of novel benzo[1,4]oxazin-3-one derivatives from N-(1,3-diphenyl-1H-1,2,4-triazol-5-yl)-2- phenoxyacetamides. This approach of heterocyclic construction proceeds in a chemoselective manner in which only benzo[1,4]oxazin-3-one derivatives were obtained by C-N bonds formation with cheap and simple copper salt catalyst under mild conditions in moderate to good yields. The biological assay of some of benzo[1,4]oxazin-3-one derivatives showed that they had moderate antiproliferative activity toward MDA-MB231 and HeLa cancer cell lines.
  • Chang-Chun Wu, Bao-Lei Wang, Jing-Bo Liu, Wei Wei, Yu-Xin Li, Yang Liu, Ming-Gui Chen, Li-Xia Xiong, Na Yang, Zheng-Ming Li
    中国化学快报. 2017, 28(06): 1248-1251. https://doi.org/10.1016/j.cclet.2017.01.019
    摘要 ( ) PDF全文 ( ) HTML 可视化 收藏
    In order to search for novel potent and environmentally benign insecticides, a series of anthranilic diamides containing various fluorinated groups were designed and synthesized. Their structures were confirmed by 1H NMR, 13C NMR, 19F NMR, elemental analysis, HRMS or mass spectra. Their insecticidal activities against oriental armyworm (Mythimna separata) and diamondback moth (Plutella xylostella) were evaluated. The preliminary structure-activity relationship (SAR) was discussed in detail. The biological assay indicated that most of the compounds exhibited moderate to excellent insecticidal activities. Especially, Ia showed high larvicidal activity against oriental armyworm. Meanwhile, Iu had better larvicidal effects against diamondback moth than commercial chlorantraniliprole.
  • Zhi-Xiang Huang, Qin Xie, Qiu-Ping Guo, Ke-Min Wang, Xiang-Xian Meng, Bao-Yin Yuan, Jun Wan, Yuan-Yuan Chen
    中国化学快报. 2017, 28(06): 1252-1257. https://doi.org/10.1016/j.cclet.2017.01.002
    摘要 ( ) PDF全文 ( ) HTML 可视化 收藏
    Prostate cancer is the most common malignancy in men lack of efficient early diagnosis and therapeutics, calling for effective molecular probes. Herein, we performed cell-based systematic evolution of ligands by exponential enrichment (cell-SELEX) to obtain specific recognition of human prostate cancer cells PC- 3M. Four aptamers were successfully obtained that can bind to target cells with high affinity and specificity. A 51-nt truncated sequence named Xq-2-C1 was identified after further elaborative analysis on the secondary structure. More importantly, the achieved aptamer Xq-2-C1 not only demonstrated excellent specific to target cells, but also revealed specific recognition to clinical prostate cancer tissue. The tissue imaging results showed that Xq-2-C1 had better recognition ratio for clinical prostate cancer tissue samples (85%) compared to the random sequence (9%). These results demonstrate that these newly generated aptamers would furnish potential applications in the early diagnosis and clinical treatment of prostate cancer.
  • Xue-Mei Li, Rui-Rui Zhao, Yan Yang, Xue Wei Lv, Yu-Ling Wei, Rui Tan, Jun-Feng Zhang, Ying Zhou
    中国化学快报. 2017, 28(06): 1258-1261. https://doi.org/10.1016/j.cclet.2016.12.029
    摘要 ( ) PDF全文 ( ) HTML 可视化 收藏
    A rhodamine-based sensor (1) has been developed for the detection of chromium ions. Cr3+-induced opening of the rhodamine spirocycle in sensor (1) led to the distinct colorimetric and fluorescence responses. Among all the tested ions, only Cr3+ generated a significant fluorescence enhancement of up to 13-fold, which indicated the high selectivity of 1. Sensor (1) was successfully applied in the in vivo fluorescence imaging of Cr3+ in C. elegans. The results provided solid evidences for the future estimation of Cr3+ in environmental applications and tobacco samples.
  • Yan-En Wang, Rui-Xue Rong, Hua Chen, Meng-Yuan Zhu, Bing-He Wang, Xiao-Liu Li
    中国化学快报. 2017, 28(06): 1262-1267. https://doi.org/10.1016/j.cclet.2017.02.013
    摘要 ( ) PDF全文 ( ) HTML 可视化 收藏
    Sensors capable of recognizing cell surface carbohydrates, such as sialyl Lewis X (sLex), are invaluable research tools and for the diagnosis and early detection of many forms of cancer. In this paper, we report the design and synthesis of a series of bisboronic acids 6(a-f) as fluorescent sensors towards mono-/oligosaccharides. Among them, compounds 6d and 6e showed strong binding affinities with glucose and fructose, while compound 6c, in which two anthracene-based boronic acid units were linked by a hexamethylene spacer, was able to recognize sLex selectivity and stained HEPG2 cells at 1 μmol/L.
  • Zhi Zhong, Xiaotong Yang, Xiao-Bin Fu, Ye-Feng Yao, Bao-Hua Guo, Yanbin Huang, Jun Xu
    中国化学快报. 2017, 28(06): 1268-1275. https://doi.org/10.1016/j.cclet.2017.04.001
    摘要 ( ) PDF全文 ( ) HTML 可视化 收藏
    The solid form of drugs plays a central role in optimizing the physicochemical properties of drugs, and new solid forms will provide more options to achieve the desirable pharmaceutical profiles of drugs. Recently, certain drugs have been found to form crystalline inclusion complexes (ICs) with multiple types of linear polymers, representing a new subcategory of pharmaceutical solids. In this study, we used diflunisal (DIF) as the model drug host and extended the guest of drug/polymer ICs from homopolymers to block copolymers of poly(ethylene glycol) (PEG) and poly(ε-caprolactone) (PCL). The block length in the guest copolymers showed a significant influence on the formation, thermal stability and dissolution behavior of the DIF ICs. Though the PEG block could hardly be included alone, it could indeed be included in the DIF ICs when the PCL block was long enough. The increase of the PCL block length produced IC crystals with improved thermal stability. The dissolution profiles of DIF/block copolymer ICs exhibited gradually decreased aqueous solubility and dissolution rate with the increasing PCL block length. These results demonstrate the possibility of using drug/polymer ICs to modulate the desired pharmaceutical profiles of drugs in a predictable and controllable manner.
  • Kangning Zhu, Zhiyuan Zhu, Haiou Zhou, Jingyan Zhang, Shiyong Liu
    中国化学快报. 2017, 28(06): 1276-1284. https://doi.org/10.1016/j.cclet.2017.03.020
    摘要 ( ) PDF全文 ( ) HTML 可视化 收藏
    Two reduction-cleavable ABA triblock copolymers possessing two disulfide linkages, PMMA-ss-PMEO3MA-ss-PMMA and PDEA-ss-PEO-ss-PDEA were synthesized via facile substitution reactions from homopolymer precursors, where PMMA, PMEO3MA, PDEA, and PEO represent poly(methyl methacrylate), poly(tri(ethylene glycol) monomethyl ether methacrylate, poly(2-(diethylamino)ethyl methacrylate), and poly(ethylene oxide), respectively. Spherical micelles were obtained through supramolecular self-assembly of these two triblock copolymers in aqueous solutions. The resultant micelles with abundant disulfide bonds could serve as soft templates and precisely accommodate gold nanoparticles in the core/shell interface as a result of the formation of Au-S bonds.
  • Yingxue Ma, Lu Lin, Li Zhang, Minghua Liu, Yuan Guo, Zhou Lu
    中国化学快报. 2017, 28(06): 1285-1289. https://doi.org/10.1016/j.cclet.2017.05.006
    摘要 ( ) PDF全文 ( ) HTML 可视化 收藏
    The real-time second harmonic generation was employed to investigate the[2+2] photodimerization of styrylquinoline (SQ) derivatives in Langmuir-Blodgett (LB) monolayers deposited from aqueous subphases with different acidity. It was discovered that the photodimerization rate constant significantly decreased upon the addition of acid. The additional atomic force microscopy measurements revealed that surface morphologies were correlated to the photodimerization kinetics. These experimental results provide direct evidence for the topo-chemical mechanisms of[2+2] photodimerization in LB films. The current study demonstrates that the intermolecular interactions and aggregation structures play important roles in the photochemical properties at surfaces.
  • Jing-Ping Wei, Xiao-Lan Chen, Xiao-Yong Wang, Jing-Chao Li, Sai-Ge Shi, Gang Liu, Nan-Feng Zheng
    中国化学快报. 2017, 28(06): 1290-1299. https://doi.org/10.1016/j.cclet.2017.01.007
    摘要 ( ) PDF全文 ( ) HTML 可视化 收藏
    Currently, the combination of photothermal therapy (PTT) and photodynamic therapy (PDT) has emerged as a powerful technique for cancer treatment. However, most examples of combined PTT and PDT reported use multi-component nanocomposites under excitation of separate wavelength, resulting in complex treatment process. In this work, a novel theranostic nanoplatform (SiNcOH-DSPE-PEG(NH2) NPs) has been successfully developed by coating silicon 2,3-naphthalocyanine dihydroxide (SiNcOH) with DSPE-PEG and DSPE-PEG-NH2 for photoacoustic (PA) imaging-guided PTT and PDT tumor ablation for the first time. The as-prepared single-agent SiNcOH-DSPE-PEG(NH2) NPs not only have good water solubility and biocompatibility, but also exhibit high photothermal conversion efficiency and singlet oxygen generation capability upon 808 nm NIR laser irradiation. In addition, owing to their high absorption at NIR region, the SiNcOH-DSPE-PEG(NH2) NPs can also be employed as an effective diagnostic nanoagent for photoacoustic (PA) imaging. In vitro and in vivo experimental results clearly indicated that the simultaneously combined PTT and PDT under the guidance of PA imaging with single NIR laser excitation can effectively kill cancer cells or eradicate tumor tissues. Taking facile synthesis and high efficiency in cancer treatment by SiNcOH-DSPE-PEG(NH2) NPs into consideration, our study provides a promising strategy to realize molecular imaging-guided combination therapy.
  • Wen-Bo Li, Wei-Jian Luo, Kai-Xuan Li, Wang-Zhang Yuan, Yong-Ming Zhang
    中国化学快报. 2017, 28(06): 1300-1305. https://doi.org/10.1016/j.cclet.2017.04.008
    摘要 ( ) PDF全文 ( ) HTML 可视化 收藏
    In this study, a new twisting gold(I) isocyanide complex based on tetraphenylethene (TPE), TPE-NC-Au, was designed and synthesized. It exhibits aggregation induced phosphorescence (AIP) characteristics, owing to the incorporation of Au moiety and conformation rigidification in the aggregated states. Moreover, the emission color of the crystalline solid of TPE-NC-Au changes from blue (454 nm) to green (500 nm) in response to mechanical grinding, due to the combined effects of conformation planarization, enhanced ππ stacking, as well as the emergence of aurophilic interactions in the ground amorphous state. Notably, the emission color can be restored upon solvent fuming, associating with the reconstruction of crystalline lattices. The AIP and switchable mechanochromism of TPE-NC-Au make it suitable for potential applications in bioimaging, sensing, and optoelectronic devices.
  • Wei Liu, Chaojun Lei, Hongxiu Zhang, Xiaolin Wu, Qing Jia, Denghong He, Bin Yang, Zhongjian Li, Yang Hou, Lecheng Lei, Xingwang Zhang
    中国化学快报. 2017, 28(06): 1306-1311. https://doi.org/10.1016/j.cclet.2017.04.032
    摘要 ( ) PDF全文 ( ) HTML 可视化 收藏
    In this study, a non-enzymatic hydrogen peroxide sensor was successfully fabricated on the basis of copper sulfide nanoparticles/reduced graphene oxide (CuS/RGO) electrocatalyst. Using thiourea as reducing agent and sulfur donor, CuS/RGO hybrid was synthesized through a facile one-pot hydrothermal method, where the reduction of GO and deposition of CuS nanoparticles on RGO occur simultaneously. The results confirmed that the CuS/RGO hybrid helps to prevent the aggregation of CuS nanoparticles. Electrochemical investigation showed that the as-prepared hydrogen peroxide sensor exhibited a low detection limit of 0.18 μmol/L (S/N=3), a good reproducibility (relative standard deviation (RSD) of 4.21%), a wide linear range (from 3 to 1215 μmol/L) with a sensitivity of 216.9 μAL/mmol/cm2 under the optimal conditions. Moreover, the as-prepared sensor also showed excellent selectivity and stability for hydrogen peroxide detection. The excellent performance of CuS/RGO hybrid, especially the lower detection limit than certain enzymes and noble metal nanomaterials ever reported, makes it a promising candidate for non-enzymatic H2O2 sensors.
  • Yan-Fei Shen, Cheng Zhang, Chun-Guang Yan, Hui-Qin Chen, Yuan-Jian Zhang
    中国化学快报. 2017, 28(06): 1312-1317. https://doi.org/10.1016/j.cclet.2017.04.004
    摘要 ( ) PDF全文 ( ) HTML 可视化 收藏
    Porous graphite-phase polymeric carbon nitride (GPPCN)/TiO2 donor-acceptor heterojunction was facilely fabricated through the combination of a template technique with a co-calcination process, which exhibited much higher photoelectric activity compared to pristine carbon nitride and TiO2. The precursor of porous GPPCN (pGPPCN), porous melem, was prepared by using a green template, calcium carbonate, which could be easily removed by diluted hydrochloride. The pGPPCN/TiO2 heterojunction was then obtained by the assembly and subsequent co-calcination of TiO2 nanoparticles with porous melem. The formation of pGPPCN/TiO2 donor-acceptor heterojunction prepared by this method showed improved surface area and light absorption. Moreover, the composite presented much higher photo-energy conversion activity than those of GPPCN, pGPPCN and TiO2, which could be mainly ascribed to the high charge carrier separation efficiency. This study provides a new approach for the design and development of various photocatalysts with high efficiency for applications in energy fields.
  • Shu-Fang Zhao, Xu-Ting Yao, Bing-Hui Yan, Li Li, Yue-Ming Liu, Ming-Yuan He
    中国化学快报. 2017, 28(06): 1318-1323. https://doi.org/10.1016/j.cclet.2017.03.023
    摘要 ( ) PDF全文 ( ) HTML 可视化 收藏
    A very wide range of the C3=/C2= ratio from 0.72 to 7.56 with high C2=+C3= selectivity of around 66% in the methanol-to-hydrocarbons process can be realized over ZSM-5 catalyst in a fixed-bed reactor. We firstly conduct a single factor experiment of acidity, demonstrating that the acidity control of MTH catalyst is crucial to adjusting light olefins selectivity. Weak Brønsted acid sites favor to high C3= selectivity (59.0%) due to the suppression of the conversion reactions from the alkene-based to arene-based cycle, while Lewis acid sites conduce to high C2= selectivity (39.6%) due to the promotion of the conversion reactions for the aromatics formation and steric constraints of Lewis acid sites making the aromatics crack more efficiently to C2=.
  • Wen-Jing Lu, Shi-Ze Huang, Ling Miao, Ming-Xian Liu, Da-Zhang Zhu, Liang-Chun Li, Hui Duan, Zi-Jie Xu, Li-Hua Gan
    中国化学快报. 2017, 28(06): 1324-1329. https://doi.org/10.1016/j.cclet.2017.04.007
    摘要 ( ) PDF全文 ( ) HTML 可视化 收藏
    We demonstrate a simple and highly efficient strategy to synthesize MnO2/nitrogen-doped ultramicroporous carbon nanospheres (MnO2/N-UCNs) for supercapacitor application. MnO2/N-UCNs were fabricated via a template-free polymerization of resorcinol/formaldehyde on the surface of phloroglucinol/terephthalaldehyde colloids in the presence of hexamethylenetetramine, followed by carbonization and then a redox reaction between carbons and KMnO4. As-prepared MnO2/N-UCNs exhibits regular ultramicropores, high surface area, nitrogen heteroatom, and high content of MnO2. A typical MnO2/N-UCNs with 57 wt.% MnO2 doping content (denoted as MnO2(57%)/N-UCNs) makes the most use of the synergistic effect between carbons and metal oxides. MnO2(57%)/N-UCNs as a supercapacitor electrode exhibits excellent electrochemical performance such as a high specific capacitance (401 F/g at 1.0 A/g) and excellent charge/discharge stability (86.3% of the initial capacitance after 10,000 cycles at 2.0 A/g) in 1.0 mol/L Na2SO4 electrolyte. The well-designed and high-performance MnO2/N-UCNs highlight the great potential for advanced supercapacitor applications.
  • Rongrong Li, Jia Zhao, Deman Han, Xiaonian Li
    中国化学快报. 2017, 28(06): 1330-1335. https://doi.org/10.1016/j.cclet.2017.04.028
    摘要 ( ) PDF全文 ( ) HTML 可视化 收藏
    Pd catalysts suffered from poor selectivity and stability for liquid-phase hydrogenation of maleic anhydride (MA) to gamma-butyrolactone (GBL). Thus, Pd/C catalysts modified with different Sn loadings were synthesized, and characterized by XRD, XPS, TEM and elemental mapping. The types of alloy phase and the amounts of the surface Pd-SnOx sites altered along with Sn/Pd mass ratios from 0-1.0 synthesized in the process of preparation. The maximum reaction rate was 0.57 mol-GBL/(mol-Pd min) and selectivity was 95.94% when the Sn/Pd mass ratio was 0.6. It might be attributed to the formation of Pd2Sn alloy and less amounts of Pd-SnOx sites.
  • Xian-Tao Ma, Hao Xu, Ying-Lin Xiao, Chen-Liang Su, Jian-Ping Liu, Qing Xu
    中国化学快报. 2017, 28(06): 1336-1339. https://doi.org/10.1016/j.cclet.2017.01.017
    摘要 ( ) PDF全文 ( ) HTML 可视化 收藏
    By screening the copper catalysts, ligands, and the reaction conditions, a simple CuCl/DMEDA/TEMPO catalyst system readily available from commercial sources is developed for a direct and selective synthesis of the useful nitriles by an aerobic oxidation reaction of primary amines using air as an advantageous oxidant under mild conditions.
  • Razieh Mohebat, Afshin Yazdani-Elah-Abadi
    中国化学快报. 2017, 28(06): 1340-1344. https://doi.org/10.1016/j.cclet.2017.01.024
    摘要 ( ) PDF全文 ( ) HTML 可视化 收藏
    Caffeine was applied as a green and natural catalyst for the one-pot, four-component sequential condensation between 2-hydroxy-1,4-naphthoquinone, aromatic 1,2-diamines, ammonium thiocyanate and acid chlorides in the presence of a basic ionic liquid (1-butyl-3-methylimidazolium hydroxide) to afford the corresponding benzo[a] [1,3]oxazino[6,5-c]phenazine derivatives. In this one-pot transformation, five bonds and two new rings are efficiently formed. This protocol has the advantages of operational simplicity, high yields, easy workup, avoidance of hazardous or toxic catalysts and organic solvents and high chemo- and regioselectivities.
  • Meng Ni, Wen-Jun Zeng, Xin Xie, Ze-Lin Chen, Hao Wu, Chang-Min Yu, Bo-Wen Li
    中国化学快报. 2017, 28(06): 1345-1351. https://doi.org/10.1016/j.cclet.2017.04.024
    摘要 ( ) PDF全文 ( ) HTML 可视化 收藏
    Carboxylesterase, a necessary enzyme in various mammalian cells, has been employed in various biological applications. Herein, we designed and synthesized a novel carboxylesterase-based prodrug, which can realize simultaneous drug-release imaging and cancer chemotherapy. This prodrug comprises three parts:coumarin as the fluorophore and the cleavable architecture, chlorambucil as the anticancer drug, and acetyl group as the enzyme-responsive unit. The presence of carboxylesterase leads to the activation of coumarin fluorescence, and this fluorescence serves as the reporting signal for assessing the enzyme level and drug release. Moreover, the prodrug was incorporated in liposome for monitoring drug release and chemotherapeutic effect in living cells. Upon internalization by HeLa cells, the prodrug can release chlorambucil and exhibit high cytotoxicity. This approach may provide some helpful insights for enhancing therapeutic effect and tracking the release of prodrug.