本期目录

2017年, 第28卷, 第05期 刊出日期:2017-05-22
  

  • 全选
    |
    论著
  • Jie-Wei Wu, Chun-Ping Tang, Yao-Yao Cai, Chang-Qiang Ke, Li-Gen Lin, Sheng Yao, Yang Ye
    中国化学快报. 2017, 28(05): 927-930. https://doi.org/10.1016/j.cclet.2016.11.011
    摘要 ( ) PDF全文 ( ) HTML 可视化 收藏
    Phytochemical investigation on the whole plant of Inula cappa led to the isolation of two new germacrane-type sesquiterpene lactones, ineupatolides D and E (1 and 2), together with three known analogs. The structures of the new compounds were established by extensive analysis of 1D and 2D NMR spectra, as well as MS data. Their absolute configurations were determined by CD spectra. All compounds showed moderate inhibitory effects on A431, A549, BGC-823, HL-60, HT-29, and MCF-7 cancer cell lines with IC50 values ranging from 2.1 to 36.3 μM.
  • Zhen-Xing Zou, Gui-Shan Tan, Guo-Gang Zhang, Xia Yu, Ping-Sheng Xu, Kang-Ping Xu
    中国化学快报. 2017, 28(05): 931-934. https://doi.org/10.1016/j.cclet.2017.01.011
    摘要 ( ) PDF全文 ( ) HTML 可视化 收藏
    75% aqueous ethanol extract from the whole herbs of Selaginella doederleinii was isolated, and two new apigenin derivatives, doederflavones A (1) and B (2), together with ten known compounds (3-12) were characterized. Their structures were assigned by extensive spectroscopic methods including 1D/2D NMR and HR-ESIMS. Compounds 1-6 bear an aryl substituent at the C-8 or C-6 positions in ring A of apigenin skeleton. Compounds 1 and 2 were evaluated for their in vitro cytotoxicity against four human cancer cell lines A549, MCF-7, SMMC-7721, and LoVo, both of which exhibited significant cytotoxicity against A549 with IC50 values of 0.82 μmol/L and 1.32 μmol/L, respectively.
  • Yong Zhang, Jia-Yi Zhu, Hong-Bo Ren, Yu-Tie Bi, Lin Zhang
    中国化学快报. 2017, 28(05): 935-942. https://doi.org/10.1016/j.cclet.2017.01.023
    摘要 ( ) PDF全文 ( ) HTML 可视化 收藏
    Three-dimensional porous nitrogen-doped graphene aerogels (NGAs) were synthesized by using graphene oxide (GO) and chitosan via a self-assembly process by a rapid method. The morphology and structure of the as-prepared aerogels were characterized. The results showed that NGAs possesed the hierarchical pores with the wide size distribution ranging from mesopores to macropores. The NGAs carbonized at different temperature all showed excellent electrochemical performance in 6 mol/L KOH electrolyte and the electrochemical performance of the NGA-900 was the best. When working as a supercapacitor electrode, NGA-900 exhibited a high specific capacitance (244.4 F/g at a current density of 0.2 A/g), superior rate capability (51.0% capacity retention) and excellent cycling life (96.2% capacitance retained after 5000 cycles).
  • Razieh Mohebat, Afshin Yazdani-Elah-Abadi, Malek-Taher Maghsoodlou, Nourallah Hazeri
    中国化学快报. 2017, 28(05): 943-948. https://doi.org/10.1016/j.cclet.2016.12.042
    摘要 ( ) PDF全文 ( ) HTML 可视化 收藏
    An efficient, convenient and environmentally benign procedure for the synthesis of novel 3-oxo-3H-benzo[a]pyrano[2,3-c]phenazine-1-carboxylate and 3-(5-hydroxybenzo[a]phenazin-6-yl)acrylate derivatives has been developed by domino three-component condensation reaction between 2-hydroxynaphthalene-1,4-dione, benzene-1,2-diamines and acetylenic esters in the presence of a catalytic amount of DABCO as an expedient, eco-friendly and reusable base catalyst in water. This green process produces biologically and pharmacologically significant heterocycles in a one-pot single operation and offers considerable advantages such as:operational simplicity, short reaction time, high yields, reusability of catalyst, absence of any tedious workup or purification and avoids hazardous reagents/solvents.
  • Li-Hai Cai, Zhi-Guo Qi, Jun Xu, Bao-Hua Guo, Zhong-Yao Huang
    中国化学快报. 2017, 28(05): 949-954. https://doi.org/10.1016/j.cclet.2016.11.017
    摘要 ( ) PDF全文 ( ) HTML 可视化 收藏
    The thermo-oxidative aging behaviors of Nylon 1010 films were studied by various analytical methods, such as measuring the chromaticity, relative viscosity, carbonyl index, UV absorbance at 280 nm and elongation at break of the aged films. The thermo-oxidative aging plots of the results obtained via these various methods at different temperatures are subjected to the time-temperature superposition analysis, which are found to be well superposed. The b* values are used as X axis and the other results, i.e., relative viscosity, carbonyl index, UV absorbance at 280 nm and elongation at break, are used as Y axis, respectively. The relationship between the b* values and the other results is obtained, from which we can derive the changes of physical and chemical properties at different b* values. Since the b* values can be quickly determined by using a portable spectrophotometer, the on-line evaluation of the thermo-oxidative aging of Nylon 1010 can be realized.
  • Xiu-Ming Liu, Cai-Yan Li, Kuan-Jun Fang, Da-Wu Shu
    中国化学快报. 2017, 28(05): 955-959. https://doi.org/10.1016/j.cclet.2016.12.007
    摘要 ( ) PDF全文 ( ) HTML 可视化 收藏
    Apocynum venetum/cotton blended fabrics have been subjected to treat with cationic polymer nanoparticles followed by dyeing with Acid Red B, and then studied for their dyeing performance and morphology. The investigation on the effect of modification factors on the blended fabrics indicated that the 0.5 g/L nanoparticles concentration, 60 min treating time, 60℃ treating temperature and pH 6-8 are the optimum modification process to improve the dyeability of acid dye. In addition, the SEM images show that nanoparticles can be adsorbed on the surface of modified A. venetum or cotton fibers, and the two different fibers could have the same adsorption ability to Acid Red B.
  • Chen-Xi Bai, Feng Shen, Xin-Hua Qi
    中国化学快报. 2017, 28(05): 960-962. https://doi.org/10.1016/j.cclet.2016.12.026
    摘要 ( ) PDF全文 ( ) HTML 可视化 收藏
    Hydrothermal carbonization of biomass is a promising method to prepare carbonaceous materials. Generally, post physical or chemical activation is necessary to increase surface area and porosity of the carbon. Herein, porous carbonaceous material (FPC) with large surface area (481.7 m2/g) and pore volume (0.73 cm3/g) was prepared directly from hydrothermal carbonization of fructose and phloroglucinol in hydroalcoholic mixture. Structure characteristics of the FPC and its adsorption capacity for a representative antibiotic tetracycline in aqueous solution were investigated. This work provides a green and efficient method to fabricate porous carbonaceous adsorbent that has great potential applications in chemical and environmental fields.
  • Xiu-Xia Sun, Jun Fan, Yan-Nan Hou, Shuo Liang, Yu-Ping Zhang, Jian-Xi Xiao
    中国化学快报. 2017, 28(05): 963-967. https://doi.org/10.1016/j.cclet.2016.11.029
    摘要 ( ) PDF全文 ( ) HTML 可视化 收藏
    The thermal stability of triple helical structure plays a critical role in collagen biosynthesis, function and degradation. CD technique was utilized to characterize the thermal stability of synthetic collagen mimic peptides. Fluorescence spectroscopy is widely used with easy access all around the world because of its inexpensive instrumentation, low operation cost, easy operation, and high sensitivity. Here we have developed an alternative fluorescence method to detect the thermal stability of collagen mimic peptides. We have demonstrated that fluorescence spectroscopy could measure the thermal stability of collagen mimic peptides with low concentrations under different circumstances. This highly sensitive fluorescence self-quenching assay will greatly expedite the studies of sequence-dependent properties of collagen mimic peptides, and it has great potential in the application of determining the thermal stability of triple helix systems such as collagens, collectins, adiponectin, macrophage scavenger and C1q.
  • Xiang Wu, Wei-Dong Z. Li
    中国化学快报. 2017, 28(05): 968-970. https://doi.org/10.1016/j.cclet.2016.12.017
    摘要 ( ) PDF全文 ( ) HTML 可视化 收藏
    An unusual formal oxy transposition of vinylogous β-silyloxy-cyclobutanone 1 (a 1,5-difunctionalized substrate) under mild acidic conditions (aqueous HF in CH3CN at 0℃) to the decalinic γ-lactone 2 was described. A plausible mechanistic pathway involving the Grob-type fragmentation and intramolecular γ-lactonization was proposed.
  • Robabeh Hajian, Zahra Alghour
    中国化学快报. 2017, 28(05): 971-975. https://doi.org/10.1016/j.cclet.2016.12.003
    摘要 ( ) PDF全文 ( ) HTML 可视化 收藏
    In this work, acid functionalized multi-wall carbon nanotubes (MWCNTs) were modified with imidazolium-based ionic liquids. The selective oxidation of various alcohols with hydrogen peroxide catalyzed by[PZnMo2W9O39]5-, ZnPOM, supported on ionic liquids-modified with MWCNTs, MWCNTAPIB, is reported. This catalyst[ZnPOM@APIB-MWCNT], was characterized by X-ray diffraction, scanning electron microscopy (SEM) and FT-IR spectroscopic methods. This heterogeneous catalyst exhibited high stability and reusability in the oxidation reaction without loss of its catalytic performance.
  • Adil Omar, Keyume Ablajan, Mawjvda Hamdulla
    中国化学快报. 2017, 28(05): 976-980. https://doi.org/10.1016/j.cclet.2016.12.016
    摘要 ( ) PDF全文 ( ) HTML 可视化 收藏
    Novel fluorescent coumarin-4H-pyran conjugates were achieved by three-component reactions of various synthetic β-ketoesters with aldehydes and malononitrile in aqueous media. Besides mild reaction conditions, operational simplicity, absence of tedious separation procedures, using of inexpensive and nontoxic commercially available cationic surfactant cetyltrimethylammonium chloride (CTAC) as a catalyst are the prominent advantage of this method.
  • Jin-Wei Yuan, Ling-Bo Qu
    中国化学快报. 2017, 28(05): 981-985. https://doi.org/10.1016/j.cclet.2017.01.016
    摘要 ( ) PDF全文 ( ) HTML 可视化 收藏
    Direct C-H functionalization of quinoline N-oxides with arylboronic acids is achieved using KMnO4 as the sole and efficient oxidative system. This method provides an efficient protocol to construct regioselectively 2-arylquinoline N-oxides via radical cross-coupling reaction in moderated to good yields under mild conditions.
  • Hu-Cheng Zhu, Chun-Mei Chen, Jin-Wen Zhang, Yi Guo, Dong-Dong Tan, Guang-Zheng Wei, Jing Yang, Jian-Ping Wang, Zeng-Wei Luo, Yong-Bo Xue, Yong-Hui Zhang
    中国化学快报. 2017, 28(05): 986-990. https://doi.org/10.1016/j.cclet.2016.11.014
    摘要 ( ) PDF全文 ( ) HTML 可视化 收藏
    Twenty-one benzoylated phloroglucinol derivatives bearing homoadamantyl frameworks were isolated from the aerial parts of Hypericum sampsonii, including two new ones named hyperisampsins N and O (1 and 2). The structures of 1 and 2 were elucidated by extensive NMR and mass spectrometric analyses. Their absolute configurations were further determined by using TDDFT ECD calculations. Compounds 2, 7, and 8 were evaluated for their cytotoxic activities against five human cancer cell lines, of which, 2 and 8 exhibited significant cytotoxic activities toward HL-60 cell and moderate activities against others cell lines.
  • Ming-Ze Qin, Lei Wang, Shuang Yan, Jun-Jie Ma, Ye Tian, Yan-Fang Zhao, Ping Gong
    中国化学快报. 2017, 28(05): 991-994. https://doi.org/10.1016/j.cclet.2016.11.030
    摘要 ( ) PDF全文 ( ) HTML 可视化 收藏
    Based on our previous work, a series of hydrazone moiety-bearing aminopyrimidines were synthesized. The compounds were evaluated for inhibitory activities against EGFR T790M/L858R and antiproliferative activities against H1975 and A549 NSCLC cell lines harboring different forms of EGFR. Compounds 7f and 7k exhibited potent and selective activity in inhibition of gefitinib-resistant H1975 cancer cells (IC50; 0.45, 0.2 μmol/L) while were much less active on A549 cancer cells (IC50; 52.83, >100 μmol/L). Both compounds could be served as promising lead compounds for further investigation.
  • Arif Mermer, Serpil Demirci, Serap Basoglu Ozdemir, Ahmet Demirbas, Serdar Ulker, Faik Ahmet Ayaz, Fatma Aksakal, Neslihan Demirbas
    中国化学快报. 2017, 28(05): 995-1005. https://doi.org/10.1016/j.cclet.2016.12.012
    摘要 ( ) PDF全文 ( ) HTML 可视化 收藏
    Azole derivatives (3, 6) obtained starting from 1-(2-methoxyphenyl)piperazine were converted to the corresponding Mannich bases containing β-lactame or flouroquinolone core via a one pot three component reaction. The synthesis of conazole analogues was carried out starting from triazoles by three steps. Reactions were carried out under conventional and microwave mediated conditions. All the newly synthesized compounds were screened for their antimicrobial, enzyme inhibition and antioxidant activity, and most of them displayed good-moderate activity. Binding affinities and non-covalent interactions between enzyme-ligand complexes were predicted with molecular docking method at molecular level. Docking results complemented well the experimental results on α-glucosidase and urease inhibitory effects of the compounds. Higher binding affinities and much more interaction networks were observed for active compounds in contrary to inactive ones. It was predicted with the docking studies that triazole and anisole moieties in the structure of the synthesized compounds contributed to the stabilization of corresponding enzymes through noncovalent interactions.
  • Cunji Gao, Hongmei Zhu, Jia Chen, Hongdeng Qiu
    中国化学快报. 2017, 28(05): 1006-1012. https://doi.org/10.1016/j.cclet.2017.02.011
    摘要 ( ) PDF全文 ( ) HTML 可视化 收藏
    In this work, a metal-organic frameworks material MIL-88 was prepared easily using solvent-thermal method, and was first found to have catalytic activities similar to those of biological enzymes such as catalase and peroxidase. The material was characterized by XRD, SEM, TEM, EDX, FT-IR techniques and an N2 adsorption method. It exhibited peroxidase-like activity through catalytic oxidation of the peroxidase substrate 3,3',5,5'-tetramethylbenzidine (TMB) in the presence of H2O2, producing a blue-colored solution. Under optimal conditions, the absorbance at 652 nm is linearly correlated with the concentration of H2O2 from 2.0×10-6 mol/L to 2.03×10-5 mol/L (R2=0.981) with a detection limit of 5.62×10-7 mol/L (S/N=3). More importantly, a sensitive and selective method for ascorbic acid detection was developed using this material as a catalyst. The analytical method for ascorbic acid detection was observed to have a linear range from 2.57×10-6 mol/L to 1.01×10-5 mol/L (R2=0.989) with a detection limit of 1.03×10-6 mol/L (S/N=3). This work suggests MOFs have advantages of preparing biomimetic catalysts and extends applications of the functional MOFs in the field of biosensor.
  • Qiu-Sheng Fang, Ling Chen, Qing-Yan Liu
    中国化学快报. 2017, 28(05): 1013-1017. https://doi.org/10.1016/j.cclet.2016.12.002
    摘要 ( ) PDF全文 ( ) HTML 可视化 收藏
    Benefiting from its bent molecular structure, 3,6-pyridazinyl contained tetracationic cyclophane (1) is synthesized by template-directed method with high isolated yield up to 92%. This template-directed strategy is further utilized to efficiently construct [2]rotaxane.
  • Xiao-Dong Wang, Yu-Jie Liu, Fen-Jie Li, Zhi-Li Li
    中国化学快报. 2017, 28(05): 1018-1026. https://doi.org/10.1016/j.cclet.2017.02.001
    摘要 ( ) PDF全文 ( ) HTML 可视化 收藏
    Sialic acids as terminal entities of larger glycans linked to proteins and lipids are involved in multiple different pathological and physiological processes. Structural characterisation of sialoglycoconjugates is required to understand their biological function. However, a comprehensive sialylation analysis of sialoglycoconjugates has remained challenges. In this study, we employ a natural biomaterial, poplar catkin derived from white poplar tree (Populus tomentosa Carr.), to develop a novel capturing microtip for selective and efficient enrichment of sialoglycopeptides, without losses of sialic acid residues and water molecules from sialoglycopeptides. Scanning electron microscopy and Fourier-transform infrared spectroscopy analysis, along with Mäule and Wiesner staining assays, indicated that the main components on the outer layer of the poplar catkin are syringyl and guaiacyl lignins which play a key role in enriching sialoglycopeptides from complex peptide mixture.
  • Yan-Sheng Luo, Jing-Lin Chen, Xue-Hua Zeng, Lu Qiu, Li-Hua He, Sui-Jun Liu, He-Rui Wen
    中国化学快报. 2017, 28(05): 1027-1030. https://doi.org/10.1016/j.cclet.2016.12.015
    摘要 ( ) PDF全文 ( ) HTML 可视化 收藏
    A new emissive mononuclear homoleptic Cu(I) complex of 5-tert-butyl-3-(6-methyl-2-pyridyl)-1H-1,2,4-triazole (bmptzH),[Cu(bmptzH)2](ClO4) (1), has been synthesized by treatment of [Cu(PPh3)2(CH3CN)2](ClO4) or[Cu(CH3CN)4](ClO4) with the bmptzH ligand. It is revealed that complex 1 displays a distorted N4 tetrahedral arrangement formed by two bmptzH chelates, in which bmptzH adopts a neutral bidentate chelating coordination mode using the N atom of the pyridyl ring and the 4-N not 2-N atom of the 1,2,4-triazolyl ring. It is shown that complex 1 is highly stable and exhibits good luminescence properties in solution and solid states at room temperature due to the introduction of a methyl group at the ortho-position of the pyridyl ring.
  • Mohsen Ameri, Alireza Asghari, Ali Amoozadeh, Mohammad Bakherad
    中国化学快报. 2017, 28(05): 1031-1034. https://doi.org/10.1016/j.cclet.2016.11.022
    摘要 ( ) PDF全文 ( ) HTML 可视化 收藏
    Electro-oxidation of phenylamine derivatives (1a and 1b) have been studied in the presence of pyrazolidine-3,5-dione (3) as a nucleophile in phosphate buffer solution mixed with ethanol, using voltammetric and spectroscopic techniques. The obtained results indicated that the oxidized form of phenylamines (2a and 2b) participate in Michael addition type reactions with pyrazolidine-3,5-dione (3) and via ECECCCCC mechanisms convert to the corresponding new polycyclic indoles (12a and 12b). In the present study, new polycyclic indole derivatives were synthesized with good yields and high purity using a facile, one-pot and environmentally friendly electrochemical method, without any chemical catalysts, toxic solvents and hard conditions.
  • Kai-Qing Ma, Yan-Hong Miao, Xiao-Xia Gao, Jian-Bin Chao, Xiang Zhang, Xue-Mei Qin
    中国化学快报. 2017, 28(05): 1035-1038. https://doi.org/10.1016/j.cclet.2016.11.032
    摘要 ( ) PDF全文 ( ) HTML 可视化 收藏
    An efficient route to the natural products bupleurynol and its analog (RB-2), isolated from Bupleuri Radix, was established based on versatile intermediate (15). In this synthetic route, Sonogashira and Cadiot-Chodkiewicz coupling as well as Julia-Kocienski olefination are utilized as key steps. The highly efficient synthetic route provides opportunities to explore the biological behavior of bupleurynol and RB-2.
  • Mohammad Reza Poor Heravi, Mozhdeh Naghilou
    中国化学快报. 2017, 28(05): 1039-1043. https://doi.org/10.1016/j.cclet.2017.01.015
    摘要 ( ) PDF全文 ( ) HTML 可视化 收藏
    A green and convenient approach for the synthesis of a series of 5,5'-(arylmethylene)bis(4-hydroxythiazole-2(3H)-one) by the reaction of aryl aldehydes, monochloroacetic acid and ammonium thiocyanate in water/trifluoroethanol(TFE) (1:1) under ultrasound irradiation at room temperature is described. This method provides several advantages such as environmental friendliness, shorter time, excellent yields, and simple work-up procedure.
  • Fan Zhang, Dang Wu, Gao-Lei Wang, Shuang Hou, Ping Ou-Yang, Jin Huang, Xiao-Yong Xu
    中国化学快报. 2017, 28(05): 1044-1048. https://doi.org/10.1016/j.cclet.2016.12.014
    摘要 ( ) PDF全文 ( ) HTML 可视化 收藏
    A series of novel 1,2,3-benzotriazin-4-one derivatives were designed, synthesized and their inhibitory activities against leukotriene A4 hydrolase aminopeptidase in vitro were evaluated. Many compounds showed moderate to good activities at the concentration of 10 μmol/L. Among them, compound IV-16 exhibited the highest inhibitory activity up to 80.6% with an IC50 of 1.30 0.20 μmol/L. The compound IV-16 was also tested the proliferation inhibitory activities in THP1 human AML cell line and its binding model with LTA4H enzyme by molecular docking was studied. It indicated that 1,2,3-benzotriazin-4-one was a promising scaffold for further study. The relationship between structure and inhibitory activity was also preliminarily discussed.
  • Shi-Ji Xiao, Mao-Sheng Zhang, Da-Le Guo, Fang Chen, Yan Zhou, Li-Sheng Ding
    中国化学快报. 2017, 28(05): 1049-1051. https://doi.org/10.1016/j.cclet.2016.12.011
    摘要 ( ) PDF全文 ( ) HTML 可视化 收藏
    Two new biphenyl butyl neolignan derivatives, named gymnothebutyllignans A (1) and B (2), were isolated from the whole parts of endemic medicinal plant of Gymnotheca involucrata (Saururaceae). The structures of the new compounds were elucidated by extensive NMR and MS data, and the absolutely configuration of compound 1 was confirmed by X-ray crystal diffraction analysis.
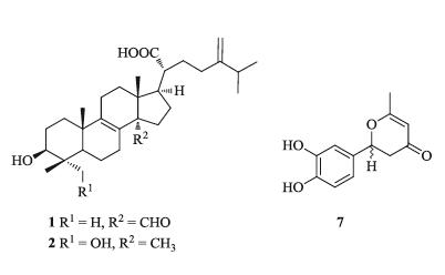
  • Qing Ren, Xue-Ying Lu, Jian-Xin Han, Haji Akber Aisa, Tao Yuan
    中国化学快报. 2017, 28(05): 1052-1056. https://doi.org/10.1016/j.cclet.2016.12.010
    摘要 ( ) PDF全文 ( ) HTML 可视化 收藏
    Two new 24-methyl lanostane triterpenoids, hispindic acids A and B (1 and 2), and a new phenolic compound, hispinine (7), along with nine known compounds (3-6, and 8-12), were isolated from the fruiting bodies of Inonotus hispidus. Their structures were elucidated based on the extensive analysis of spectroscopic data (NMR and HRMS). Hispindic acid A (1) possesses an unusual formyl group at C-30. Compounds 1, 3-4, and 8 showed stronger activate abilities of melanogenesis and tyrosinase in B16 melanoma cells than those of positive control, 8-methoxypsoralen, at 50 μmol/L.
  • Xiao-Lei Ni, Jing Liu, Ying-Ya Liu, Karen Leus, Hannes Depauw, An-Jie Wang, Pascal Van Der Voort, Jian Zhang, Yong-Kang Hu
    中国化学快报. 2017, 28(05): 1057-1061. https://doi.org/10.1016/j.cclet.2017.01.020
    摘要 ( ) PDF全文 ( ) HTML 可视化 收藏
    Two types of Mo containing metal-organic frameworks, denoted as Mo@COMOC-4 and PMA@MIL-101 (Cr), were synthesized respectively by a post-synthetic modification and a ship-in-bottle approach. The catalytic performance of both compounds in the epoxidation of propylene using cumene hydroperoxide (CHP) as oxidant was compared with MoO3@SiO2. A higher conversion (46.2%) and efficiency (87.4%) of CHP was observed for Mo@COMOC-4, whereas the heteropoly acids supported MIL-101 resulted in the decomposition of CHP due to its strong acidic character. Regenerability tests demonstrated that Mo@COMOC-4 could be reused for multiple runs without significant loss in both activity and stability. © 2017 Chinese Chemical Society and Institute of Materia Medica, Chinese Academy of Medical Sciences.
  • Qi Qi, Tian-Xin Zhao, Bo-Lin An, Xuan-Yong Liu, Chao Zhong
    中国化学快报. 2017, 28(05): 1062-1068. https://doi.org/10.1016/j.cclet.2016.12.008
    摘要 ( ) PDF全文 ( ) HTML 可视化 收藏
    Functional amyloid has been increasingly applied as self-assembling nanostructures to construct multifunctional biomaterials. However, little has been known how different side domains, varied fusion positions and subunits affect self-assembly and morphologies of amyloid fibrils. Here, we constructed three groups of two-component amyloid proteins based on CsgA, the major protein components of Escherichia coli biofilms, to bridge these gaps. We showed that all fusion proteins have amyloid features, as indicated by Congo red assay. Atomic force microscopy (AFM) indeed reveals that these fusion proteins are able to self-assemble into fibrils, with an average diameter of 0.5-2 nm and length of hundreds of nanometers to several micrometers. The diameter of fibrils increases with the increase of the molecular weight of fusion domains, while the dynamic assembly of recombinant proteins was delayed as a result of the introduction of fusion domains. Moreover, fusion of the same functional domains but at intermediate position seems to cause the most interference on fibril assembly compared with those fused at C or Nterminus, as mainly short and irregular fibrils were detected. This phenomenon appears more pronounced for randomly coiled mussel foot proteins (Mfps) than for rigid chitin-binding domain (CBD). Finally, increase of the molecular weight of tandem repeats in protein monomer seemed to increase the fibril diameter of the resultant fibrils, but either reduction of the tandem repeats of CsgA to one single belta-sheet loop or increase in the number of tandem repeats of CsgAs from one to four produced shorter and intermittent fibrils compared with CsgA control protein. These studies therefore provide insights into self-assembly of two-component amyloid proteins and lay the foundation for rational design of multifunctional molecular biomaterials.
  • Zhi-Huan Weng, Yu Qi, Li-Shuai Zong, Cheng Liu, Jin-Yan Wang, Xi-Gao Jian
    中国化学快报. 2017, 28(05): 1069-1073. https://doi.org/10.1016/j.cclet.2016.12.019
    摘要 ( ) PDF全文 ( ) HTML 可视化 收藏
    Combined with the advantages of low melting point, high thermal stability and strong acidity, a multipleSO3H functioned ionic liquid (MIL) was developed successfully as a curing agent to promote the curing reaction of phthalonitrile-terminated poly(phthalazinone ether nitrile) (PPEN-Ph). The curing kinetics over differential scanning calorimetry (DSC) showed that both the initial curing temperature Tp0' and apparent activation energy Ea' (based on Kissinger equation) were reduced significantly over MIL (207.9℃ and 101.5 kJ/mol) compared to the common curing agent ZnCl2 (268.5℃ and 201.5 kJ/mol). Moreover, under identical curing conditions, the resulting thermosetting resin over former (Td5%=526.1℃) showed better thermal stability than that over latter (Td5%=512.1℃). These results indicated that MIL should be a good candidate as a curing agent for phthalonitrile resins.
  • Zhang Zhang, Shi-Hong Lu, Bin Xu, Xi-Cun Wang
    中国化学快报. 2017, 28(05): 1074-1078. https://doi.org/10.1016/j.cclet.2016.12.034
    摘要 ( ) PDF全文 ( ) HTML 可视化 收藏
    A novel and general carbon-nitrogen and carbon-carbon cross-coupling reaction between 3,4-dihydropyrimidine-2-thiones and copper(I) carboxylates were performed in the presence of palladium acetate. The copper(I) carboxylates act not only as desulfurative reagents but also as sources of carbon nucleophiles. A wide array of highly substituted and functionalized pyrimidines scaffolds were synthesized in good yields.
  • Mahboobeh Salehpour, Javad Azizian, Hassan Kefayati
    中国化学快报. 2017, 28(05): 1079-1082. https://doi.org/10.1016/j.cclet.2016.12.036
    摘要 ( ) PDF全文 ( ) HTML 可视化 收藏
    In this work, we have designed an efficient and convenient method for the synthesis of novel spiro[indene-2,2'-[1,3,5]oxathiazine]-1,3-diones by the one-pot, three component condensation of tetramethyl guanidine, ninhydrin, and isothiocyanates in water. Easy purification, green reaction conditions, easy performance and good yields are some advantages of this procedure.
  • Zai-Kun Xue, Nian-Kai Fu, San-Zhong Luo
    中国化学快报. 2017, 28(05): 1083-1086. https://doi.org/10.1016/j.cclet.2017.01.014
    摘要 ( ) PDF全文 ( ) HTML 可视化 收藏
    We report herein the first example of asymmetric hydroazidation of α-substituted vinyl ketones by using chiral primary amines as the catalysts. A simple chiral primary-tertiary diamine catalyst derived from L-phenylalanine was found to readily promote this aza-Michael addition reaction with enamine protonation as the key stereogenic step, thus enabling the effective synthesis of α-chiral β-azido ketones with good yields and moderate enantioselectivities.
  • Jun Gao, Zhi-Gang Ren, Jian-Ping Lang
    中国化学快报. 2017, 28(05): 1087-1092. https://doi.org/10.1016/j.cclet.2016.12.035
    摘要 ( ) PDF全文 ( ) HTML 可视化 收藏
    A green protocol for the synthesis of quinoxalines has been developed from catalytic oxidative cyclization of deoxybenzoins with 1,2-phenylenediamines in water. The optimal conditions are involved in the use of a water-soluble mononuclear copper(II) complex of a zwitterionic calix[4]arene[Cu(II)L(H2O)]I2 (1, H4L=[5,11,17,23-tetrakis (trimethylammonium)-25,26,27,28-tetrahydroxycalix[4]arene]) as a catalyst in alkali solution after refluxing for 15 h in O2. The target quinoxaline and its derivatives were obtained in good yields (up to 88%). The procedure described in this paper is simple, practical and environmentally benign.
  • Yu Liu, Xiao-Hong Xun, Jian-Ming Yi, Yang Xiang, Jie Hua
    中国化学快报. 2017, 28(05): 1093-1098. https://doi.org/10.1016/j.cclet.2016.11.026
    摘要 ( ) PDF全文 ( ) HTML 可视化 收藏
    Biomarkers can be used for the screening and clinical diagnosis of cancer, and peptidomics approach has been proven successful in the research of biomarkers. To develop better peptidomic technologies for fast, accurate, and reliable detection of peptides biomarkers for lung cancer, we have improved the procedures of blood collection to minimize the degradation of the blood proteins and optimize the extraction of peptidome peptides from plasma samples based on acetonitrile precipitation associated with size exclusion chromatography (SEC). Studies show that squamous cell carcinomas are found to express CAGE1, SPAT9 and TEX28 genes at significantly higher rates, and the results suggest that as tumors progress, the level of CAGE1, SPAT9 and TEX28 genes are likely to increase and lead to immunization. This suggests a potentially important therapeutic method for cancer testis-based cancer vaccines.
  • Alexey P. Krinochkin, Dmitry S. Kopchuk, Nikolay V. Chepchugov, Grigory A. Kim, Igor S. Kovalev, Matiur Rahman, Grigory V. Zyryanov, Adinath Majee, Vladimir L. Rusinov, Oleg N. Chupakhin
    中国化学快报. 2017, 28(05): 1099-1103. https://doi.org/10.1016/j.cclet.2016.12.043
    摘要 ( ) PDF全文 ( ) HTML 可视化 收藏
    An efficient approach has been developed for the synthesis of 5,5'-diaryl-2,2'-bipyridines via their 1,2,4-triazine analogues. The notable advantages of the present method are:The possibility of varying the aromatic substituents in the positions 5 and 5' of bipyridine core and the possibility for obtaining 2,2'-bipyridines bearing a fused cyclopentene core to increase the solubility in organic solvents. These 5,5'-diaryl-2,2'-bipyridines exhibited an intense emission in a range of ca. 422-521 nm in acetonitrile solution; depending on the nature of the aromatic substituents and the presence of annulated cyclopentene fragments. Apart from that, the significant bathochromic shifts of the both absorption and emission maxima were observed in comparison with a number of previously described similar structures. In some cases the significant increasing of the fluorescence quantum yields took place.
  • Jin Fan, Zhi-Hai Xie, Xiao-Xiao Teng, Yu Zhang
    中国化学快报. 2017, 28(05): 1104-1110. https://doi.org/10.1016/j.cclet.2016.11.025
    摘要 ( ) PDF全文 ( ) HTML 可视化 收藏
    A simple and novel method was developed to determine methylene blue (MB) by resonance light scattering (RLS) using silica nanoparticles (SiO2NPs) as the probe. It was found that MB could enhance the RLS intensity of SiO2NPs. Moreover, the increase in RLS intensity was linear with the concentration of MB over the range of 0.01-3.0μg mL-1. The limit of detection (LOD) was as low as 4.36 ng mL-1 (3σ) and the relative standard deviation (RSD) was 2.4% (n=6). Under the optimum experimental conditions, this proposed method was successfully applied for the determination of MB in aquaculture samples with recoveries between 96.3% and 107%. Possible mechanisms for the RLS enhancement of SiO2NPs in the presence of MB were also discussed.
  • Shu-Wei Lin, Wen-Hu Qian, Hong-Jing Huo, Bao-Zong Li, Yi Li, Yong-Gang Yang
    中国化学快报. 2017, 28(05): 1111-1113. https://doi.org/10.1016/j.cclet.2016.12.030
    摘要 ( ) PDF全文 ( ) HTML 可视化 收藏
    Left and right-handed helical barium titanate nanotubes are prepared with the impregnation of Ba(OH)2 into single-handed helical titania nanotubes. Wide angle X-ray diffraction pattern and transmission electron microscopy image indicate that they are constructed by nanoparticles with a partially crystalline structure. The diffuse reflectance circular dichroism spectra indicate that they exhibit optical activity which was proposed to originate from chiral defects on the inner surfaces of the nanotubes. Both the dielectric constant and tanδ decrease with increasing the frequency. At 10 and 100 Hz, one dielectric constant peak at 9.6℃ and one tanδ peak at 5.0℃ are observed at -120℃ to 180℃.
  • Jong-Woon Jung, Kongara Damodar, Jin-Kyung Kim, Jong-Gab Jun
    中国化学快报. 2017, 28(05): 1114-1118. https://doi.org/10.1016/j.cclet.2016.12.041
    摘要 ( ) PDF全文 ( ) HTML 可视化 收藏
    A modular and efficient synthesis of the biologically significant C-methylisoflavones isosideroxylin (1), 6,8-dimethylgenistein (2) and their analogues (3-8) is established for the first time. The synthesis is realized in 7-8 steps in overall yields of 16%-24% from commercially inexpensive phloroglucinol and features a high yielding Vilsmeier-Haack reaction, Friedel-Crafts acylation, Gammill's protocol and Suzuki coupling as the pivotal transformations. Next, these compounds evaluated for their inhibitory potency on the production of nitric oxide (NO) in lipopolysaccharide (LPS)-activated RAW-264.7 cells as an indicator of anti-inflammatory activity. The results showed that all the compounds decreased NO production in a dose-dependent manner without marked cytotoxicity and IC50 values are found in the range of 10.17-33.88 μmol/L. Of note, compounds 3 followed by 1, 7 and 8 show comparable inhibitory activity with positive control (N-monomethyl-L-arginine, L-NMMA).
  • Ming-Cong Rong, Ke-Xin Zhang, Yi-Ru Wang, Xi Chen
    中国化学快报. 2017, 28(05): 1119-1124. https://doi.org/10.1016/j.cclet.2016.12.009
    摘要 ( ) PDF全文 ( ) HTML 可视化 收藏
    Heteroatom doping is an efficient approach to regulate the fluorescence properties of carbon dots. Using aminophenylboronic acid as the raw material, a combustion method was developed for the synthesis of boron, nitrogen-doped carbon dots (B, N-carbon dots). The B, N-carbon dots emitted green fluorescence and displayed high resistance to both photo bleaching and ionic strength. A facile fluorescence sensing approach for Cu2+ was fabricated via static fluorescence quenching. Under optimal conditions, a rapid detection of Cu2+ could be completed in 2 min with a linearity ranging from 1 μmol/L to 25 μmol/L and a detection limit of 0.3 μmol/L. Furthermore, the proposed method showed potential applications for the detection of Cu2+ in natural water samples.
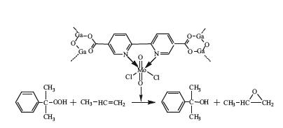
  • Mojtaba Bagherzadeh, Narges-alsadat Mousavi, Mojtaba Amini, Sanjeev Gautam, Jitendra Pal Singh, Keun Hwa Chae
    中国化学快报. 2017, 28(05): 1125-1130. https://doi.org/10.1016/j.cclet.2017.01.022
    摘要 ( ) PDF全文 ( ) HTML 可视化 收藏
    Cu2O nanocubes, octahedra, spheres and truncated rhombic dodecahedral were prepared and their structural, morphological, and electronic properties were investigated by X-ray diffraction analysis, X-ray absorption near edge structure, scanning electron microscope and transmission electron microscope and X-ray absorption near edge structure. Cu2O nanocrystals were successfully employed to catalyze the 1,3-dipolar cycloaddition reaction for the synthesis of 1,4-disubstituted triazoles. Cu2O nanocubes and octahedral showed the superior catalytic performance in the cycloaddition reaction. These results reveal that crystal-plane engineering of oxide catalysts is a useful strategy for developing efficient catalysts for organic reaction.