本期目录

2017年, 第28卷, 第04期 刊出日期:2017-04-22
  

  • 全选
    |
    评论
  • Wen-Dong Liu, Bai Yang
    中国化学快报. 2017, 28(04): 675-690. https://doi.org/10.1016/j.cclet.2016.09.004
    摘要 ( ) PDF全文 ( ) HTML 可视化 收藏
    With the highly interdisciplinary of research and great development of microfabrication techniques, patterned surfaces have attracted great attention of researchers since they possess specific regularity and orderness of structures.In recent years,series of two dimensional patterned structures have been successfully fabricated,and widely used in anti-reflection,anti-fogging,self-cleaning,and sensing,etc.In the meantime,patterned structures have been gradually used in biologically relative fields such as biomaterials,aiming to deepen the perception of organism and understand the vital movements of human body.In this review,we provide a brief introduction on current status of techniques for two dimensional patterns fabrication,the applications of patterned surfaces in biologically related fields,and give out a prospective on the development of these patterned surfaces in the future.
  • Yan-Peng Jia, Bu-Yun Ma, Xia-Wei Wei, Zhi-Yong Qian
    中国化学快报. 2017, 28(04): 691-702. https://doi.org/10.1016/j.cclet.2017.01.021
    摘要 ( ) PDF全文 ( ) HTML 可视化 收藏
    Gold nanoparticles,owing to their unique physicochemical and optical properties,well-established synthetic methods and easy modifications,have been widely used in biomedical science.Therefore,for their safe and efficient applications,much attention has been given to the toxicological evaluations of gold nanoparticles in biological systems.A large number of studies focusing on this problem have been carried out during the past years.However,the researches on gold nanoparticles toxicity still remain fragmentary and even contradictory with each other.This may be caused by the variety in experimental conditions.In this review,we aim to provide a better understanding about the in vitro and in vivo toxicity of gold nanoparticles by reviewing and describing the up to date literatures related to this problem and we mainly focused on these properties such as the particle size and shape,the surface charge and modification.Besides,we also summarized the adverse effect of gold nanoparticles on immune systems and analyzed the origin of the toxicity.
  • Meng Zhu, Peng Liu, Zhong-Wei Niu
    中国化学快报. 2017, 28(04): 703-708. https://doi.org/10.1016/j.cclet.2016.10.001
    摘要 ( ) PDF全文 ( ) HTML 可视化 收藏
    The emergence of drug resistant bacterium threatens the global public healthcare systems.The urgent need to obtain new antimicrobials has driven antimicrobial peptides(AMPs)research into spotlight.Here we give a brief introduction of the recent progress of AMPs regarding their structures,properties, production and modification,and antimicrobial mechanism.Thereby,this review will give an insight into the trends and challenges facing on this particular kind of antimicrobial materials.
  • Wei Chen, Ya-Feng Gong, Jie-Hua Liu
    中国化学快报. 2017, 28(04): 709-718. https://doi.org/10.1016/j.cclet.2016.10.023
    摘要 ( ) PDF全文 ( ) HTML 可视化 收藏
    As one of the next-generation energy-storage devices,Li-O2 battery has become the main research direction for the academic researchers due to its characteristics of environmental friendship,relatively simple structures,high energy density of 3500 Wh/kg and low cost.However,Li-O2 battery cannot be commercialized on a large scale because of the challenging issues including high-efficient electro-catalysts,membranes,Li-based anode and so on.In this review,we focused on the recent development of electrocatalyst materials as cathodes for the non-aqueous Li-O2 batteries which are relatively simpler than other Li-O2 batteries' structures.Electrocatalysts were summarized including noble metals,nano-carbon materials,transition metals and their hybrids.We points out that the challenges of preparation high-efficient catalysts not only require high catalytic activity and conductivity,but also have novel nanoarchitectures with large interface and porous volume for LiOx storage.Furthermore,the further investigation of reaction mechanism and advanced in situ analysis technologies are welcome in the coming work.
  • Yong Guo, Mei-Wei Huang, Xiao-Lin Fu, Chao Liu, Qing-Yun Chen, Zhi-Gang Zhao, Ben-Zhong Zeng, Jiong Chen
    中国化学快报. 2017, 28(04): 719-728. https://doi.org/10.1016/j.cclet.2017.02.006
    摘要 ( ) PDF全文 ( ) HTML 可视化 收藏
    This review summarizes the recent advances in the catalytic syntheses of CF3S-containing organic molecules using various nucleophilic or electrophilic trifluoromethylthiolating reagents.C-halogen and C-H bonds in various molecules have been transformed to C-SCF3 bonds by transition-metal-catalyzed reactions,such as cross-coupling of aryl halides.Enantioselective reactions controlled by chiral metal complexes or chiral organocatalysts have afforded many trifluoromethylthiolated chiral architectures, such as β-ketoesters and oxindoles.Very recently,visible-light-induced photoredox trifluoromethylth-iolations have been developed,providing versatile CF3S-containing structures efficiently.
  • Hong-Liang Dai, Yan-Fang Geng, Qing-Dao Zeng, Chen Wang
    中国化学快报. 2017, 28(04): 729-737. https://doi.org/10.1016/j.cclet.2016.09.018
    摘要 ( ) PDF全文 ( ) HTML 可视化 收藏
    During the past few years,regulation and controlling of the two-dimension(2D)self-assembled supramolecular structure on surface have drawn increasing attention in nanoscience and technology. External stimuli have been widely used to regulate these 2D nanostructures.Among various external stimuli approaches,photo-regulation as one of the most outstanding means of regulation has been extensively studied because different wave bands can lead to molecular conformation variation and new bonds to gain new molecules.In this review,the photo-regulated self-assembled structure on solid surface as well as the photo-reactions of different molecules substituted with photo-sensitive groups are introduced to give us an insight into on-surface photochemistry,which plays an important role on the nano-devices fabrication.Notably,these photo-sensitive behaviors as well as the formed structures on surface were probed at sub-molecule level by unique scanning tunneling microscopy(STM)technique.
  • 论著
  • Yan-Ping Xie, Hong-Wei Cheng, Wei Chai, Hong Yue, Xuan Zhang, Jian-Hui Fang, Hong-Bin Zhao, Jia-Qiang Xu
    中国化学快报. 2017, 28(04): 738-742. https://doi.org/10.1016/j.cclet.2016.07.030
    摘要 ( ) PDF全文 ( ) HTML 可视化 收藏
    In this context,we firstly synthesized a novel nitrogen-doped multiporous carbon material from renewable biological cells through a facile chemical activation with K2CO3.After sulfur impregnation,the carbon/sulfur composite achieved a sulfur content of about 67 wt%.The C/S composite as the cathode of lithium-sulfur batteries exhibited a discharge capacity of 1410 mAh/g and good capacity retention of 912 mAh/g at 0.1C.These outstanding results were attributed to the synergy effect of microporous carbon and natural doping nitrogen atoms.We believe that the facile approach for the synthesis of nitrogen-doped multiporous carbon from the low-cost and sustainable biological resources will not only be applied in lithium-sulfur batteries,but also in other electrode materials.
  • Zhi-Yan Guo, Yang Zhong, Yu Liu, Chang-Ming Mao, Gui-Cun Li
    中国化学快报. 2017, 28(04): 743-747. https://doi.org/10.1016/j.cclet.2016.10.007
    摘要 ( ) PDF全文 ( ) HTML 可视化 收藏
    MoS2 nanosheet arrays supported on hierarchical nitrogen-doped porous carbon(MoS2@C)have been synthesized by a facile hydrothermal approach combined with high-temperature calcination.The hierarchical nitrogen-doped porous carbon can serve as three-dimensional conductive frameworks to improve the electronic transport of semiconducting MoS2.When evaluated as anode material for lithium-ion batteries,the MoS2@C exhibit enhanced electrochemical performances compared with pure MoS2 nanosheets,including high capacity(1305.5 mA h g-1 at 100 mA g-1),excellent rate capability (438.4 mA h g-1 at 1000 mA g-1).The reasons for the improved electrochemical performances are explored in terms of the high electronic conductivity and the facilitation of lithium ion transport arising from the hierarchical structures of MoS2@C.
  • Jing-Jing Xu, Chun-Hui Xiao, Shu-Jiang Ding
    中国化学快报. 2017, 28(04): 748-754. https://doi.org/10.1016/j.cclet.2016.12.006
    摘要 ( ) PDF全文 ( ) HTML 可视化 收藏
    A highly active nitrogen-doped catalyst with a unique red-blood-cell(RBC)like structure is reported for oxygen reduction reaction(ORR).The catalyst Fe,N-C@carbon-900 was prepared by pyrolysis of the polyaniline(PANI)and polystyrene(PS)composites with adsorption of ferric ion on the shell of sphere structure at 900 ℃.Fe,N-C@carbon-900 with a unique RBC-like structure provides plenty of catalytic sites combining the electrical conductivity of the carbon sphere with the catalytic activity of the nitrogen-doped layer.The four-electron reduction pathway is selected for the catalyst Fe,N-C@carbon-900.The catalyst exhibit the ORR Eonset at 0.87 V(potentials is versus to reversible hydrogen electrode (RHE)),E1/2 at 0.78 V and high diffusion-limiting current density(5.20 mA/cm2).Furthermore,this work indicates that both N and Fe accounted for high activity of the catalyst Fe,N-C@carbon-900 toward the oxygen reduction process.It is concluded that Fe and N exhibit synergistically promotion in the ORR activity for the catalyst Fe,N-C@carbon-900.We also provide a rational design of electrocatalysts with high ORR activity to further clarify the essential ORR sites of heteroatom doped carbon materials for fuel cells and metal-air battery applications.
  • Gan-Ying Zeng, Hao Wang, Jing Guo, Li-Mei Cha, Yu-Hai Dou, Jian-Min Ma
    中国化学快报. 2017, 28(04): 755-758. https://doi.org/10.1016/j.cclet.2017.01.001
    摘要 ( ) PDF全文 ( ) HTML 可视化 收藏
    Nb2O5/C nanosheets are successfully prepared through a mixing process and followed by heating treatment.Such Nb2O5/C based electrode exhibits high rate performance and remarkable cycling ability, showing a high and stable specific capacity of ~380 mAh g-1 at the current density of 50 mA g-1(much higher than the theoretical capacity of Nb2O5).Further more,at a current density of 500 mA g-1,the nanocomposites electrode still exhibits a specific capacity of above 150 mAh g-1 after 100 cycles.These results suggest the Nb2O5/C nanocomposite is a high performance anode material for lithium-ion batteries.
  • Chen-Guang Wang, Zhi-Hai Cheng, Xiao-Hui Qiu, Wei Ji
    中国化学快报. 2017, 28(04): 759-764. https://doi.org/10.1016/j.cclet.2016.08.004
    摘要 ( ) PDF全文 ( ) HTML 可视化 收藏
    It has been demonstrated that intermolecular interaction,crucial in a plenty of chemical and physical processes,may vary in the presence of metal surface.However,such modification is yet to be quantitatively revealed.Here,we present a systematical density functional theory study on adsorbed bis(para-pyridyl)acetylene(BPPA)tetramer on Au(111)surface.We observed unusually high electron density between two head-to-head N atoms,an intermolecular "non-bonded" region,in adsorbed BPPA tetramer.This exceptional electron density originates from the wavefunction hybridization of the two compressed N lone-electron-pair states of two BPPA,as squeezed by a newly revealed N-Au-N three-center bonding.This bond,together with the minor contribution from N H-C intermolecular hydrogen bonding,shortens the N-N distance from over 4 Å to 3.30 Å and offers an attractive lateral interacting energy of 0.60 eV,effectively to a surface-confined in-plane pressure.The overlapped non-bonding wavefunction hybridization arising from the effective pressure induced by the N-Au-N three-center bonding,as not been fully recognized in earlier studies,was manifested in non-contact Atomic Force Microscopy.
  • Lin Liu, Xiang-Mei Yu, Bao Zhang, Shu-Xian Meng, Ya-Qing Feng
    中国化学快报. 2017, 28(04): 765-770. https://doi.org/10.1016/j.cclet.2017.03.011
    摘要 ( ) PDF全文 ( ) HTML 可视化 收藏
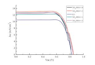
    The performance of dye-sensitized solar cells(DSSCs)consisting of anatase TiO2 nanoparticles that were synthesized via a hydrothermal method was studied.The synthesized TiO2 nanoparticles were characterized by X-ray diffraction(XRD),nitrogen sorption analysis,scanning electron microscopy(SEM), high resolution transmission electron microscopy(HRTEM),and UV-vis spectroscopy.Then the J-V curve, electrochemical impedance spectroscopy(EIS),and open-circuit voltage decay(OCVD)measurement were applied to evaluate the photovoltaic performance of DSSCs.Compared with the commercial TiO2 nanoparticles(P25),the synthesized-TiO2 nanoparticles showed better performance.By adding diethylene glycol(DEG)before the hydrothermal process,the synthesized TiO2 nanoparticles(hereafter referred to as TiO2-DEG particles)shows narrower size distribution,larger specific surface area,higher crystallinity,and less surface defects than TiO2(DEG free)particles.The analysis of photovoltaic properties of DSSCs based on TiO2-DEG particles showed that the recombination of electron-hole pairs was decreased and the trapping of carries in grain boundaries restrained.It was believed that the photoelectrode fabricated with the as-prepared TiO2 nanoparticles improved the loading amount of dye sensitizers(N719),and enhanced the photocurrent of the DSSCs.As a result,the TiO2-DEG particle based cells achieved a photo-to-electricity conversion efficiency(η)of 7.90%,which is higher than 7.53% for the cell based on TiO2(DEG free)and 6.59% for the one fabricated with P25.
  • Peng Lin, Nan-Xiang Zhang, Jing-Jing Li, Jing Zhang, Jia-Hui Liu, Bao Zhang, Jian Song
    中国化学快报. 2017, 28(04): 771-776. https://doi.org/10.1016/j.cclet.2016.12.024
    摘要 ( ) PDF全文 ( ) HTML 可视化 收藏
    The gelation behaviours of low molecular weight gelators 1,3:2,5:4,6-tris(3,4-dichlorobenzylidene)-D-mannitol(G1)and 2,4-(3,4-dichlorobenzylidene)-N-(3-aminopropyl)-D-gluconamide(G2)in 34 solvents have been studied.We found that sample dissolved at low concentrations may become a gel or precipitate at higher concentrations.The Hansen solubility parameters(HSPs)and a Teas plot were employed to correlate the gelation behaviours with solvent properties,but with no success if the concentration of the tests was not maintained constant.Instead,on the basis of the gelation results obtained for the G1 and G2 in single solvents,we studied the gelation behaviours of G1 and G2 in 23 solvent mixtures and found that the tendency of a gelator to form a gel in mixed solvents is strongly correlated with its gelation behaviours in good solvents.If the gelation occurs in a good solvent at higher concentrations,it will take place as well in a mixed solvent(the good solvent plus a poor solvent)at a certain volume ratio.In contrast,if the gelator forms a precipitate in a good solvent at higher concentrations,no gelation is to be observed in the mixed solvents.A gelation rule for mixed solvents is thus proposed,which may facilitate decision making with regard to solvent selection for gel formation in the solvent mixtures in practical applications.
  • Qian Zhang, Xue Dong, Kun-Peng Wang, Ting-Ting Zhu, Feng-Nan Sun, Shu-Xian Meng, Ya-Qing Feng
    中国化学快报. 2017, 28(04): 777-781. https://doi.org/10.1016/j.cclet.2017.03.001
    摘要 ( ) PDF全文 ( ) HTML 可视化 收藏
    A porphyrin modified by glycine has been synthesized and developed as a near-infrared(NIR) fluorescence probe to detect tumor.Porphyrins'longwavelength emission at ~650 nm can efficiently avoid the spectral crosstalk with Spontaneous fluorescence in the visible light region.A disulfide-based cyclic RGD peptide named iRGD c(CRGDKGPDC),a tumor homing peptide,harbors a cryptic C-end Rule (CendR)motif that is responsible for neuropilin-1(NRP-1)binding and for triggering extravasation and tumor penetration of the peptide to improve the imaging sensitivity and therapeutic efficacy.We used N-hydroxy succinimide as an activator to introduce the glycine methyl ester to detect tumor.We got a porphyrin modified by glycine.The affinity between probe and tumor cell entered GLC-82 cells(human glandular lung cancer cell line)can be observed by Confocal Microscope.The toxicity of probe has been identified by MTT Assay.The summary has been gotten that the porphyrins were nontoxic to GLC-82 cells and glycine modified porphyrin has a good affinity with GLC-82 cells under the iRGD function by our experiment.
  • Huan Yao, Liu-Pan Yang, Zhen-feng He, Jia-Rong Li, Wei Jiang
    中国化学快报. 2017, 28(04): 782-786. https://doi.org/10.1016/j.cclet.2016.12.031
    摘要 ( ) PDF全文 ( ) HTML 可视化 收藏
    A phase-selective,bis-urea organogelator with a curved bis-naphthalene core was synthesized and characterized.This gelator is capable of gelating a variety of hydrocarbons and oils.The resulting gels have been characterized by rheology,SEM,and molecular modelling.The gelator can be applied in the powder form for the recovery of a thin layer of petrol oil spill in water.
  • Yu-Chen Pan, Han-Wen Tian, Shu Peng, Xin-Yue Hu, Dong-Sheng Guo
    中国化学快报. 2017, 28(04): 787-792. https://doi.org/10.1016/j.cclet.2016.12.027
    摘要 ( ) PDF全文 ( ) HTML 可视化 收藏
    A microcalorimetric study on molecular recognition of p-sulfonatocalix[4] arene derivatives at self-assembled interface in comparison with in bulk water was performed,inspired by the dramatic change in physicochemical characteristics from bulk water to interface.A total of six cationic molecules were screened as model guests,including ammonium(NH4+),guanidinium(Gdm+),N,N'-dimethyl-1,4-diazabicyclo[2.2.2] octane(DMDABCO2+),tropylium(Tpm+),N-methyl pyridinium(N-mPY+)and methyl viologen(MV2+).The complexation with NH4+,Gdm+ and DMDABCO2+ is pronouncedly enhanced when the recognition process moved from bulk water to interface,whereas the complexation stabilities with Tpm+,N-mPY+ and MV2+increase slightly or even decrease to some extent.A more interesting phenomenon arises from the NH4+/Gdm+ pair that the thermodynamic origin at interface differs definitely from each other although with similar association constants.The results were discussed in terms of differential driving forces,electrostatic,hydrogen bond as well as π-stacking interactions, originating from the unique physicochemical features of interfaces,mainly the polarity and dielectric constant.
  • Qi Wang, Ming Cheng, Ju-Li Jiang, Le-Yong Wang
    中国化学快报. 2017, 28(04): 793-797. https://doi.org/10.1016/j.cclet.2017.02.008
    摘要 ( ) PDF全文 ( ) HTML 可视化 收藏
    Novel linear supramolecular polymers were successfully constructed by self-assemblies of coumarin-bridged bifunctional UPy derivative.Benefitting from the photodimerization ability of the coumarin moieties,the linear supramolecular polymers could form the large three-dimensional polymer networks upon UV light irradiation via photo-cross-linking,which provides a viable and alternative procedure to modulate the properties of supramolecular polymers.
  • Jia Tian, Chi Yao, Wen-Lin Yang, Lei Zhang, Dan-Wei Zhang, Hui Wang, Fan Zhang, Yi Liu, Zhan-Ting Li
    中国化学快报. 2017, 28(04): 798-806. https://doi.org/10.1016/j.cclet.2017.01.010
    摘要 ( ) PDF全文 ( ) HTML 可视化 收藏
    Water-soluble three-dimensional porous supramolecular organic frameworks(SOFs)have been demonstrated as a new generation of homogeneous polycationic platforms for anti-cancer drug delivery.The new SOF drug delivery systems(sof-DDSs)can adsorb dianionic pemetrexed(PMX),a clinically used chemotherapeutic agent instantaneously upon dissolving in water,which is driven by both electrostatic attraction and hydrophobicity.The in situ-prepared PMX@SOFs are highly stable and can avoid important release of the drug during plasm circulation and overcome the multidrug resistance of human breast MCF-7/Adr cancer cells to enter the cancer cells.Acidic microenvironment of cancer cells promotes the release of the drug in cancer cells.Both in vitro and in vivo studies have revealed that sof-DDSs considerably improve the treatment efficacy of PMX,leading to 6-12-fold reduction of the IC50 values,as compared with that of PMX alone.The new drug delivery strategy omits the loading process required by most of reported nanoparticle-based delivery systems and thus holds promise for future development of low-cost drug delivery systems
  • Cai-Na Xu, Hua-Yu Tian, Yan-Bing Wang, Yang Du, Jie Chen, Lin Lin, Zhao-Pei Guo, Xue-Si Chen
    中国化学快报. 2017, 28(04): 807-812. https://doi.org/10.1016/j.cclet.2016.12.013
    摘要 ( ) PDF全文 ( ) HTML 可视化 收藏
    Direct administration of drugs and genes to the lungs by pulmonary delivery offers a potential effective therapy for lung cancers.In this study,combined doxorubicin(DOX)and Bcl2 siRNA was employed for cancer therapy using polyethylenimine(PEI)as the carrier of Bcl2 siRNA.Most of the DOX and siRNA possessed high cellular uptake efficiency in B16F10 cells,which was proved by FCM and CLSM analysis. Real-time PCR showed that PEI/Bcl2 siRNA exhibited high gene silencing efficiency with 70% Bcl2 mRNA being knocked down.The combination of DOX and siRNA could enhance the cell proliferation inhibition and the cell apoptosis against B16F10 cells compared to free DOX or PEI/Bcl2 siRNA.Furthermore,the biodistribution of DOX and siRNA via pulmonary administration was studied in mice with B16F10 metastatic lung cancer.The results showed that most of the DOX and siRNA were accumulated in lungs and lasted at least for 3 days,which suggested that combined DOX and siRNA by pulmonary administration may have high anti-tumor effects for metastatic lung cancer treatment in vivo.
  • You Jiang, Yi-Jie Yin, Xin-Cheng Zha, Xiao-Qiu Dou, Chuan-Liang Feng
    中国化学快报. 2017, 28(04): 813-817. https://doi.org/10.1016/j.cclet.2016.08.002
    摘要 ( ) PDF全文 ( ) HTML 可视化 收藏
    One of the critical issues in gram-negative bacterial adhesion is how wettability regulates adhesion as the surface wettability varies from superhydrophilic to superhydrophobic,and what is the relevant/contributing role of the lipopolysaccharide(LPS)outer layer of the gram-negative shell during this procedure.Herein,by avoiding the unexpected influence induced by the varied topographies,control over gram-negative bacteria adhesion by wettability is achieved on biomimetic hierarchical surfaces, which is mainly mediated by LPS layer.The study provides a methodology to have a good control over bacteria cell adhesion by properly designing wettable surface structures.This design concept is helpful for developing new generations of biomaterials in order to control a variety of diseases induced by gram-negative bacteria,which still continue to be very important and necessary in the fields of biomedicine.
  • Shuang-Shuang Chen, Xue-Min Lu, Qing-Hua Lu
    中国化学快报. 2017, 28(04): 818-826. https://doi.org/10.1016/j.cclet.2016.10.039
    摘要 ( ) PDF全文 ( ) HTML 可视化 收藏
    In order to understand how cells respond to concave and convex subcellular surface structures,colloidal crystal array and honeycomb-structured surfaces composed of highly ordered hexagonal units with completely inverse curvature were fabricated via facile self-assembly and breath figure approaches, respectively.The influence of hexagonal surface curvature on cell fate was subsequently investigated. Cells underwent more extensive spreading on the convex colloidal crystal array surface,while adhesive forces were higher on the concave honeycomb surface.The behaviors of cells on the different surfaces were investigated by comparing cell morphology,cellular adhesive force and cytoskeleton structure.The results revealed comprehensive differences in cell behavior between those on concave honeycomb surfaces and convex colloidal crystal arrays.
  • Yang Liu, Chang-Ming Dong
    中国化学快报. 2017, 28(04): 827-831. https://doi.org/10.1016/j.cclet.2016.11.006
    摘要 ( ) PDF全文 ( ) HTML 可视化 收藏
    A series of poly(S-(o-nitrobenzyl)-L,D-cysteine)polypeptides with different chirality was synthesized and their molecular structures,secondary conformations,drug release and biological properties were thoroughly investigated.The chirality of the polypeptides had effect on secondary conformations and the cellular uptake behavior of the related nanoparticles.
  • Chunhua Zhou, Mona A.Abdel-Rahman, Wen Li, Kun Liu, Afang Zhang
    中国化学快报. 2017, 28(04): 832-838. https://doi.org/10.1016/j.cclet.2016.11.016
    摘要 ( ) PDF全文 ( ) HTML 可视化 收藏
    Thermoresponsive biotinylated dendronized copolymers carrying dendritic oligoethylene glycol(OEG) pendants were prepared via free radical polymerization,and their protein recognitions based on biotin-avidin interaction investigated.Both first(PG1)and second generation(PG2)dendronized copolymers were designed to examine possible thickness effects on the interaction between biotin and avidin.Inherited from the outstanding thermoresponsive properties from OEG dendrons,these biotinylated cylindrical copolymers show characteristic thermoresponsive behavior which provides an envelope to capture avidin through switching temperatures above or below their phase transition temperatures(Tcps).Thus,the recognition of polymer-supported biotin with avidin was investigated with UV/vis spectroscopy and dynamic laser light scattering.In contrast to the case for PG1,the increased thickness for copolymer PG2 hinders partially and inhibits the recognition of biotin moieties with avidin either below or above its Tcp.This demonstrates the significant architecture effects from dendronized polymers on the biotin moieties to shift onto periphery of the collapsed aggregates,which should be a prerequisite for protein recognition.These kinds of novel thermoresponsive copolymers may pave a way for the interesting biological applications in areas such as reversible activity control of enzyme or proteins,and for controlled delivery of drugs or genes.
  • Shuo Zhang, Chun-Hua Cai, Zhou Guan, Jia-Ping Lin, Xing-Yu Zhu
    中国化学快报. 2017, 28(04): 839-844. https://doi.org/10.1016/j.cclet.2016.12.040
    摘要 ( ) PDF全文 ( ) HTML 可视化 收藏
    Spherical nanostructures with striped patterns on the surfaces resembling the essential structures of natural virus particles were constructed through a two-step self-assembly approach of polystyrene-b-oligo(acrylic acid)(PS-b-oligo-AA)and poly(γ-benzyl L-glutamate)-b-poly(ethylene glycol)(PBLG-b-PEG)copolymer mixtures in solution.On the basis of difference in hydrophilicity and self-assembly properties of the two copolymers,the two-step self-assembly process is realized.It was found that PS-b-oligo-AA copolymers formed spherical aggregates by adding a certain amount of water into polymer solutions in the first step.In the second step,two polymer solutions were mixed and water was further added,inducing the self-assembly of PBLG-b-PEG on the surfaces of PS-b-oligo-AA spheres to form striped patterns.In-depth study was conducted for the indispensable defects of striped patterns which are dislocations and +1/2 disclinations.The influencing factors such as the mixing ratio of two copolymers and the added water content in the first step on the morphology and defects of the striped patterns were investigated.This work not only presents an idea to interpret mechanism of the cooperative self-assembly behavior,but also provides an effective approach to construct virus-like particles and other complex structures with controllable morphology.
  • Jin-Qi Wei, Yun Liu, Xue-Hui Zhang, Wei-Wei Liang, Tuan-Feng Zhou, Hua Zhang, Xu-Liang Deng
    中国化学快报. 2017, 28(04): 845-850. https://doi.org/10.1016/j.cclet.2017.01.008
    摘要 ( ) PDF全文 ( ) HTML 可视化 收藏
    Previously we have demonstrated that calcinated antler cancellous bone(CACB)has great potential for bone defect repair,due to its highly similar composition and architecture to natural extracellular bone matrix.This study is aiming at seeking for an optimal strategy of combined application of CACB and bone marrow mesenchymal stem cells(BMSCs)in bone defect repair.In vitro study demonstrated that CACB promoted the adhesion,spreading and viability of BMSCs.Increased extracellular matrix production and expression of osteogenic markers in BMSCs were observed when seeded on CACB scaffolds.The cells ceased to proliferation in the dual effect of CACB and osteogenic induction at the early stage of incubation. Hence synergistic effect of CACB combined with autologous undifferentiated BMSCs in rabbit mandible critical-sized defect repair was further evaluated.Histological analysis results showed that loading the CACB with autologous BMSCs resulted in enhanced new bone formation and angiogenesis when compared with implanted CACB alone.These findings indicate that the combination of CACB and autologous BMSCs should become potential routes to improve bone repair efficiency
  • Xiao-Rong Wu, Chen-Wei Wu, Fei Ding, Cheng Tian, Wen Jiang, Cheng-De Mao, Chuan Zhang
    中国化学快报. 2017, 28(04): 851-856. https://doi.org/10.1016/j.cclet.2017.01.012
    摘要 ( ) PDF全文 ( ) HTML 可视化 收藏
    Discrete and symmetric three-dimensional(3D)DNA nanocages have been revoked as excellent candidates for various applications,such as guest component encapsulation and organization(e.g.dye molecules,proteins,inorganic nanoparticles,etc.)to construct new materials and devices.To date,a large variety of DNA nanocages has been synthesized through assembling small individual DNA motifs into predesigned structures in a bottom-up fashion.Most of them rely on the assembly using multiple copies of single type of motifs and a few sophisticated nanostructures have been engineered by co-assembling multi-types of DNA tiles simultaneously.However,the availability of complex DNA nanocages is still limited.Herein,we demonstrate that highly symmetric DNA nanocages consisted of binary DNA point-star motifs can be easily assembled by deliberately engineering the sticky-end interaction between the component building blocks.As such,DNA nanocages with new geometries,including elongated tetrahedron(E-TET),rhombic dodecahedron(R-DOD),and rhombic triacontahedron(R-TRI)are successfully synthesized.Moreover,their design principle,assembly process,and structural features are revealed by polyacryalmide gel electrophoresis(PAGE),atomic force microscope(AFM)imaging,and cryogenic transmission electron microscope imaging(cryo-TEM)associated with single particle reconstruction.
  • Tao Ye, Xin-Yi Jin, Liao Chen, Chong Hu, Jie Ren, Yu-Jing Liu, Gang Wu, Lu-Jian Chen, Hong-Zheng Chen, Han-Ying Li
    中国化学快报. 2017, 28(04): 857-862. https://doi.org/10.1016/j.cclet.2016.12.005
    摘要 ( ) PDF全文 ( ) HTML 可视化 收藏
    Synthetic calcite single crystals,due to their strong crystal habit,tend to grow into characteristic rhombohedra.In the nature,biogenic calcite crystals form composites together with biomacromolecular materials,spurring investigations of how the growing calcite single crystals change their habit to satisfy the curvature of the organic phase.In this work,we examine calcite crystallization on a flat surface of glass slide and a curved surface of polystyrene(PS)sphere.The crystals exhibit tiny contact area onto the glass substrate that is averagely only 15% of their projected area on the substrate.In sharp contrast,the contact area greatly increase to above 75% of the projected area,once magnesium ions or agarose gel networks are introduced into the crystallization media.Furthermore,the calcite crystals form rough and step-like interfaces with a curved surface.However,the interfaces become smooth and curved as the crystals grow in presence of magnesium ions or agarose gel networks.The discrepancy between the interfacial structures implies kinetic effects of the additives on the crystallization around the surfaces. This work may provide implications for understanding the formation mechanisms of single-crystal composite materials.
  • Zheng-Fang Tian, Ming-Jiang Xie, Yu Shen, Yong-Zheng Wang, Xue-Feng Guo
    中国化学快报. 2017, 28(04): 863-867. https://doi.org/10.1016/j.cclet.2016.12.004
    摘要 ( ) PDF全文 ( ) HTML 可视化 收藏
    Synthesis of functionalized mesoporous carbon by an easy-accessed method is of great importance towards its practical applications.Herein,an evaporation induced self-assembly/carbonization(EISAC) method was developed and applied to the synthesis of sulfonic acid group functionalized mesoporous carbon(SMC).The final mesoporous carbon obtained by EISAC method possesses wormlike mesoporous structure,uniform pore size(3.6 nm),large surface area of 735 m2/g,graphitic pore walls and rich sulfonic acid group.Moreover,the resultant mesoporous carbon achieves a superior electrochemical capacitive performances(216 F/g)to phenolic resin derived mesoporous carbon(OMC,152 F/g)and commercial activated carbon(AC,119 F/g).
  • Lan-Lan Li, Ru-Yi Jiang, Jin-Xing Chen, Mo-Zhen Wang, Xue-Wu Ge
    中国化学快报. 2017, 28(04): 868-874. https://doi.org/10.1016/j.cclet.2016.12.025
    摘要 ( ) PDF全文 ( ) HTML 可视化 收藏
    Self-healable polyacrylamide-based hydrogels were prepared at room temperature via a one-step emulsion copolymerization of acrylamide(AM),dodecyl 2-methacrylate(DM),and 5-acetylaminopentyl acrylate(AAPA)using sodium dodecyl sulfonate(SDS)as the emulsifler and ammonium persulfate(APS) as the initiator.The produced linear multi-block copolymer chains are composed of randomly-linked hydrophilic polyacrylamide segments(PAM)and hydrophobic segments constituted by DM and AAPA units(P(DM-co-AAPA)).The P(DM-co-AAPA)segments will self-aggregate into hydrophobic micro-domains during the polymerization process driven by the hydrophobic interactions,and finally separate from water phase,acting as the crosslinks and leading to the formation of strong hydrogels with a storage modulus as high as 400 Pa.These hydrophobic microdomains will be dissolved in water when the temperature increases to 70 ℃,resulting in a temperature-responsive reversible sol-gel transition of the prepared hydrogels.Furthermore,the prepared hydrogels have excellent self-healing ability.The broken hydrogels can be automatically healed into a body with a same strength within 2-min's contact.This work provides a new simple way to prepare reversible physical crosslinked hydrogel with high strength and self-healing efficiency.
  • Wen-Xu Liu, Jian-Nian Yao, Chuan-Lang Zhan
    中国化学快报. 2017, 28(04): 875-880. https://doi.org/10.1016/j.cclet.2017.01.013
    摘要 ( ) PDF全文 ( ) HTML 可视化 收藏
    Five boron-difluorodipyrromethene(BODIPY)dimers have been designed and synthesized successfully via acid-catalysed condensation and Pd-catalysed cross-coupling reactions.The structural modification, including verifying the structures of the π-bridges,altering the positions the bridges link(meso-or β-positions),and regulating the molecular planarity,can modulate the photophysical properties and the aggregation behaviors of the five dimers efficiently.Solution-processed organic solar cells were fabricated to evaluate the photovoltaic properties of these molecules further either as acceptors or donors.When using as nonfullerene acceptor and blended with the polymer donor of PTB7,an open-circuit voltaic(Voc)of 1.12 and 1.08 V was achieved from the thiophene and benzodithiophene bridged BODIPY dimers,respectively.This Voc is among the top values achieved from the non-fullerene organic solar cells so far.
  • Zhe Xia, Feng-Xin Yu, Shuai-Cheng Lu, Ding-Jiang Xue, Yi-Su He, Bo Yang, Chong Wang, Rui-Qing Ding, Jie Zhong, Jiang Tang
    中国化学快报. 2017, 28(04): 881-887. https://doi.org/10.1016/j.cclet.2017.03.003
    摘要 ( ) PDF全文 ( ) HTML 可视化 收藏
    Solution-processed semiconductors such as perovskite compounds have attracted tremendous attention to photovoltaic research due to the significantly higher energy conversion efficiencies and lower processing costs.However,concerns over stability and the toxicity on lead in CH3NH3PbI3 create the need for still easily-accessible but more stable and environmentally friendly materials.Here,we present NaSbS2 as a non-toxic,earth-abundant promising material consisting of densely packed(1/∞)[SbS2-] polymeric chains and sodium ions.The ionic nature makes it sharing the similar dissolution superiority with perovskite,providing great potential for low-cost and large-scale fabrication.Phase pure NaSbS2 thin film was successfully fabricated using spray-pyrolysis method,and its photovoltaic relevant material,optical and electrical properties were carefully studied.Finally,a prototype NaSbS2-based thin-film solar cell has been successfully demonstrated,yielding a power conversion efficiency of 0.13%.The systematic experimental and theoretical investigations,combined with proof-of-principle device results, indicate that NaSbS2 is indeed very promising for photovoltaic application.
  • Hai-Mu Ye, Liu-Ting Hong, Yang Gao, Jun Xu
    中国化学快报. 2017, 28(04): 888-892. https://doi.org/10.1016/j.cclet.2016.12.032
    摘要 ( ) PDF全文 ( ) HTML 可视化 收藏
    Herein,we demonstrated that poly(ethylene oxide)(PEO),urea and thiourea can crystallize into novel ternary complex with the molar ratio of guest polymer and host small molecule as 3:2,and proved that the ternary complex behaves isomorphism phenomenon by varying the ratio between urea and thiourea for the first time.This observation gives a boost to prepare co-crystals of different small molecules that cannot be obtained by direct mixing without the aid of polymer chains.
  • Chi Yao, Jia Tian, Hui Wang, Dan-Wei Zhang, Yi Liu, Fan Zhang, Zhan-Ting Li
    中国化学快报. 2017, 28(04): 893-899. https://doi.org/10.1016/j.cclet.2017.01.005
    摘要 ( ) PDF全文 ( ) HTML 可视化 收藏
    Four water-soluble porous supramolecular organic framework drug delivery systems(sof-DDSs)have been used to adsorb doxorubicin(DOX)in water at physiological pH of 7.4,which is driven exclusively by hydrophobicity.The resulting complexes DOX@SOFs are formed instantaneously upon dissolving the components in water.The drug-adsorbed sof-DDSs can undergo plasm circulation with important maintenance of the drug and overcome the multidrug resistance of human breast MCF-7/Adr cancer cells. DOX is released readily in the cancer cells due to the protonation of its amino group in the acidic medium of cancer cells.In vitro and in vivo experiments reveal that the delivery of SOF-a-d remarkably improve the cytotoxicity of DOX for the MCF-7/Adr cells and tumors,leading to 13-19-fold reduction of the IC50 values as compared with that of DOX.This new sof-DDSs strategy omits the indispensable loading process required by most of reported nano-scaled carriers for neutral hydrophobic chemotherapeutic agents,and thus should be highly valuable for future development of low-cost delivery systems.
  • Fan-Qiang Meng, Xiu-Juan Feng, Wan-Hui Wang, Ming Bao
    中国化学快报. 2017, 28(04): 900-904. https://doi.org/10.1016/j.cclet.2016.12.018
    摘要 ( ) PDF全文 ( ) HTML 可视化 收藏
    An efficient method for the synthesis of 5-vinyl-2-norbornene from cyclopentadiene and 1,3-butadiene was developed.The Diels-Alder reaction of cyclopentadiene with 1,3-butadiene proceeded smoothly in supercritical carbon dioxide in the absence of any polymerization inhibitor to produce the corresponding 5-vinyl-2-norbornene in satisfactory yield with high selectivity.
  • Yuan Gao, Wei Xiao, Hong-Chun Liu, Jian-Rong Wang, Li-Gong Yao, Ping-Kai Ouyang, De-Cai Wang, Yue-Wei Guo
    中国化学快报. 2017, 28(04): 905-908. https://doi.org/10.1016/j.cclet.2017.01.004
    摘要 ( ) PDF全文 ( ) HTML 可视化 收藏
    One new dolabellane-type diterpenoid,named clavirolide G(1),and one known related analogue(3), have been isolated from the soft coral Clavularia viridis collected off the Xisha Islands in the South China Sea.Its structure and absolute configuration were determined on the basis of spectroscopic analysis, electronic circular dichroism,and compared with literature model compounds.The cytotoxic activity of these two compounds was evaluated against a panel of human tumor cell lines.Compound 1 showed moderate cytotoxic activity against KB and HL-60 cells.
  • Qing-Kun Wu, Yi-Xian Li, Yue-Mei Jia, Chu-Yi Yu
    中国化学快报. 2017, 28(04): 909-912. https://doi.org/10.1016/j.cclet.2016.12.033
    摘要 ( ) PDF全文 ( ) HTML 可视化 收藏
    A novel C-branched polyhydroxylated cyclic nitrone 25,which could be a valuable intermediate for the synthesis of C-branched pyrrolidine iminosugars,was synthesized starting from the commercially available L-arabinose in 29.0% total yield.
  • Hai-Jiang Chen, Yan-Juan Jiang, Yong-Qiang Zhang, Qi-Wei Jing, Na Liu, Yan Wang, Wan-Nian Zhang, Chun-Quan Sheng
    中国化学快报. 2017, 28(04): 913-918. https://doi.org/10.1016/j.cclet.2016.11.027
    摘要 ( ) PDF全文 ( ) HTML 可视化 收藏
    In order to discover new generation of triazole antifungal agents,a series of novel antifungal triazoles were designed and synthesized by structural simplification of our previously identified triazole-piperdine-heterocycle lead compounds.Several target compounds showed good antifungal activity with a broad spectrum.In particular,compound 7l was highly active against Candida albicans and Candida glabrata.Moreover,compound 7l showed potent in vivo antifungal efficacy in the Caenorhabditis elegans-C.albicans infection model.
  • Kang Chang, Jian-Qin Chen, Yan-Xia Shi, Mei-Jian Sun, Peng-Fei Li, Zhen-Jiang Zhao, Wei-Ping Zhu, Hong-Lin Li, Yu-Fang Xu, Bao-Ju Li, Xu-Hong Qian
    中国化学快报. 2017, 28(04): 919-926. https://doi.org/10.1016/j.cclet.2017.02.004
    摘要 ( ) PDF全文 ( ) HTML 可视化 收藏
    Started from salicylic acid(SA)and related commercialized plant activators,based on molecular three-dimensional shape and pharmacophore similarity comparison(SHAFTS),a new lead compound benzotriazole was predicted and a series of benzotriazole derivatives were designed and synthesized.The bioassay showed that benzotriazole had high activity against a broad spectrum of diseases including fungi and oomycetes in vivo,but no activity in vitro.And the introduction of proper groups at the 1'-position and 5'-position was beneficial to the activity.So,they had the potential to be exploited as novel plant activators.