本期目录

2017年, 第28卷, 第03期 刊出日期:2017-03-22
  

  • 全选
    |
    评论
  • Yu-Ning Gao, Min Shi
    中国化学快报. 2017, 28(03): 493-502. https://doi.org/10.1016/j.cclet.2016.12.001
    摘要 ( ) PDF全文 ( ) HTML 可视化 收藏
    Nucleophilic chiral phosphine catalysis has been prosperous in asymmetric synthesis over the past two decades. Various tunable chiral phosphines display excellent activity and selectivity in asymmetric transformations including acycloaddition reactions and cycloaddition reactions. Enantiomerically enriched cyclic compounds are ubiquitous in natural products and drug molecules. These phosphinecatalyzed reactions provide effective and extensive strategies for the synthesis of a series of complex cyclic compounds as well as the synthesis of chiral compounds which could be easily transformed to carbocycles and heterocycles. This minireview summarizes recent developments in this area and highlights meaningful breakthroughs.
  • Fateh Ullah, Hongzheng Chen, Chang-Zhi Li
    中国化学快报. 2017, 28(03): 503-511. https://doi.org/10.1016/j.cclet.2016.11.009
    摘要 ( ) PDF全文 ( ) HTML 可视化 收藏
    In this review, we highlight the recent development of organic π-functional materials as buffer layers in constructing efficient perovskite solar cells (PVSCs). By following a brief introduction on the PVSC development, device architecture and material design features, we exemplified the exciting progresses made in field by exploiting organic π-functional materials based hole and electron transport layers (HTLs and ETLs) to enable high-performance PVSCs.
  • 论著
  • Kai-Kai Wang, Wei Du, Jin Zhu, Ying-Chun Chen
    中国化学快报. 2017, 28(03): 512-516. https://doi.org/10.1016/j.cclet.2016.11.003
    摘要 ( ) PDF全文 ( ) HTML 可视化 收藏
    A mild and efficient dearomatic[3+2] annulation reaction of 3-nitro-7-azaindoles and Morita Baylis Hillman carbonates from isatins was developed catalyzed by DMAP, affording the corresponding polycyclic spirooxindoles containing fused azaindoline architectures andvicinal quaternarycenters in excellent yields (up to 96%) with high regio- and diastereoselectivity (dr>19:1). Moderate enantioselectivity (79% ee) was obtained by employing a chiral DMAP-type Lewis base catalyst.
  • Lei Xiang, Kai Yang, Qiu-Ling Song
    中国化学快报. 2017, 28(03): 517-520. https://doi.org/10.1016/j.cclet.2016.11.023
    摘要 ( ) PDF全文 ( ) HTML 可视化 收藏
    A Pd(II)-catalyzed ortho-olefination of aromatic acetic esters is described which features with an excellent funcitional group tolerance, good yields, mild reaction conditions, good scalability as well as high chemo- and regio-selectivity.
  • Zhi-Qiang Duan, Xin-Bao Gao, Tian-Peng Li, Kai Yao, Xu-Ming Xie
    中国化学快报. 2017, 28(03): 521-524. https://doi.org/10.1016/j.cclet.2016.11.031
    摘要 ( ) PDF全文 ( ) HTML 可视化 收藏
    We report the hierarchical assembly of Au nanoparticles on carboxylized carbon nanotubes (c-CNTs) through Cu2+ coordination. This route is facile and green, and can easily control the loading density of Au nanoparticles. The c-CNT matrix ensures uniform distribution of Au nanoparticles, which is particularly important for the enrichment of hot spots while preventing their serious agglomeration. Moreover, the cCNT matrix also contributes to the electromagnetic enhancement due to its surface plasmon resonance, and the chemical enhancement due to the adsorption of the target molecules. The resulting Au@c-CNT nanohybrids exhibit a remarkable synergy in SERS compared to neat Au nanoparticles.
  • Xin Jin, Jacob R. Cramer, Qi-Wei Chen, Hai-Lin Liang, Jian Shang, Xiang Shao, Wei Chen, Guo-Qin Xu, Kurt V. Gothelf, Kai Wu
    中国化学快报. 2017, 28(03): 525-530. https://doi.org/10.1016/j.cclet.2016.11.007
    摘要 ( ) PDF全文 ( ) HTML 可视化 收藏
    Two-dimensional self-assemblies of four partially fluorinated molecules, 1,4-bis(2,6-difluoropyridin-4-yl)benzene,4,4'-bis(2,6-difluoropyridin-4-yl)-1,1'-biphenyl, 4,4'-bis(2,6-difluoropyridin-4-yl)-1,1':4',1"-terphenyl and 4,4'-bis(2,6-difluoropyridin-3-yl)-1,1'-biphenyl, involving weak intermolecular C-H…F and C-H…N hydrogen bonds were systematically investigated on Au(111) with low-temperature scanning tunneling microscopy. The inter-molecular connecting modes and binding sites were closely related to the backbones of the building blocks,i.e., the molecule length determines its binding sites with neighboring molecules in the assemblies while the attaching positions of the N and F atoms dictate its approaching and docking angles. The experimental results demonstrate that multiple weak hydrogen bonds such as C-H…F and C-H…N can be efficiently applied to tune the molecular orientations and the self-assembly structures accordingly.
  • Jun-Tao Dai, Yu Zhang, Heng-Chao Li, Yong-Hui Deng, Ahmed A. Elzatahry, Abdulaziz Alghamdi, De-Liang Fu, Yong-Jian Jiang, Dong-Yuan Zhao
    中国化学快报. 2017, 28(03): 531-536. https://doi.org/10.1016/j.cclet.2016.11.008
    摘要 ( ) PDF全文 ( ) HTML 可视化 收藏
    Gemcitabine (Gem) is currently the first-line chemotherapeutic drug in management of pancreatic cancer, however the therapeutic efficacy of Gem is limited due to its short half-life and poor cell membrane permeability. Here we designed mesoporous silica vesicles (MSVs) with large pore sizes as a novel drug delivery system. The MSVs were synthesized using cetyltrimethyl ammonium bromide (CTAB) as a structure-directing agent, tetraethoxysilane (TEOS) as silica source in n-hexane/water biliquid system. By virtue of the large pore size and large pore volume of the MSVs, Gem was loaded into the mesoporous of MSVs via "nanocasting" method. In vitro drug release experiments of gemcitabineloaded MSVs showed an accelerating release of gemcitabine in acidic condition. These fluorescently labeled MSVs could be effectively internalized by both a human (BxPC-3) and a mouse pancreatic cancer cell lines (Pan02). Additionally, some MSVs could even reach the nuclei of the pancreatic cancer cells. Cell viability assays demonstrated that gemcitabine-loaded MSVs exhibited enhanced anticancer activity in inhibiting the proliferation of BxPC-3 and Pan02 cells compared with free Gem, while the MSVs alone showed no significant cytotoxicity. Our results indicate that our synthesized MSVs might represent a promising novel drug delivery platform for the treatment of pancreatic cancer.
  • Juan Ren, Yi-Yun Wang, Ru-Xia Feng, Xiang-Lei Kong
    中国化学快报. 2017, 28(03): 537-540. https://doi.org/10.1016/j.cclet.2016.10.032
    摘要 ( ) PDF全文 ( ) HTML 可视化 收藏
    Threonine-substituted serine octamer ions were generated by electrospray ionization (ESI) and investigated by mass spectrometry and infrared photodissociation (IRPD) spectroscopy. IRPD spectra of[L-Ser7+L/D-Thr1]H+ and [L-Ser6+L/D-Thr2]H+ were obtained in the range of 2700-3600 cm-1. Chiral differentiation was achieved by comparing their IRPD spectra. The main difference located in the range of 3300-3500 cm-1. And the results indicate the substitution of L-Ser by D-Thr could weaken the intermolecular H-bonds and loosen the original structures of serine octamers.
  • Yong Li, Jie Lei, Jia Xu, Dian-Yong Tang, Zhong-Zhu Chen, Jin Zhu, Chuan Xu
    中国化学快报. 2017, 28(03): 541-545. https://doi.org/10.1016/j.cclet.2016.10.027
    摘要 ( ) PDF全文 ( ) HTML 可视化 收藏
    A series of quinolino[3,4-b]quinoxalin-6(5H)-ones have been synthesized using an Ugi/deprotection/cyclization (UDC) strategy, followed by a nucleophilic aromatic substitution reaction. This facile microwave-assisted method provided good yields and could potentially be used for the construction of a diverse library of quinolino[3,4-b]quinoxalin-6(5H)-ones for high-throughput screening in medicinal chemistry.
  • Nastaran Parsafard, Mohammad Hasan Peyrovi, Nasibeh Parsafard
    中国化学快报. 2017, 28(03): 546-552. https://doi.org/10.1016/j.cclet.2016.10.028
    摘要 ( ) PDF全文 ( ) HTML 可视化 收藏
    Platinated W/Zr mixed oxides supported on mesoporous silica with various amounts of Si/Zr, namely PtWO3/ZrO2(x)-HMS, were prepared and studied for n-heptane isomerization reaction at 200-350℃. The various methods such as XRD, XRF, FT-IR, UV-vis DRS, NH3-TPD, H2 chemisorption, nitrogen adsorption-desorption, Py-IR, SEM and TGA techniques were used for characterization of these materials. Kinetics of n-heptane isomerization was also investigated under various hydrogen. n-Heptane pressures and the influence of reaction conditions on catalytic performance were studied. The ideal catalytic performance was observed on HMS with 0.6%Pt/12%WO3/ZrO2 and Si/Zr=10.
  • Zhi-Meng Wu, Shao-Zhong Liu, Xiao-Zhong Cheng, Xin-Rui Zhao, Hao-Fei Hong
    中国化学快报. 2017, 28(03): 553-557. https://doi.org/10.1016/j.cclet.2016.11.001
    摘要 ( ) PDF全文 ( ) HTML 可视化 收藏
    P-113 is a fragment of natural occurring peptide Histatin 5 found in human saliva. This peptide exhibited broad spectrum of antibacterial and antifungal biological activities. In this study, bifunctional P-113 peptides 2-5 were designed as Sortase A substrates and synthesized by solid support peptide synthesis, where the N-terminus were equipped with glycine and its analogues, and C-terminus were extended with LPETGGS, respectively. Under Sortase A catalyzed condition, head to tail cyclization products 7-10 were afforded in yields from 76% to 93%. The conformation insights of linear peptides 2-5 and cyclic analogues 7-10 in aqueous buffers and in trifluroethanol (TFE) analyzed by circular dichroism (CD) suggested that α-helix structures were produced progressively in hydrophobic environment independent of the cyclization, which displayed the similar behavior as parent peptide P-113.
  • Zhi-Feng Sun, Lu-Nan Zhou, Tao Zhang, Zhen-Ting Du
    中国化学快报. 2017, 28(03): 558-562. https://doi.org/10.1016/j.cclet.2016.11.018
    摘要 ( ) PDF全文 ( ) HTML 可视化 收藏
    According to our retrosynthesis, the main chain of the target molecule could be constructed using a C5+C7+C5 strategy. The key induction reaction afforded chiral methyl group moieties using different Evans templates with different configurations. Li2CuCl4 was effectively employed in the Csp3-Csp3 coupling protocol. The target molecular was obtained in a 12.6% overall yield with nine steps in the longest linear route.
  • Qiu-Hong Cui, Lan Peng, Zhi-Dong Lou, Yu-Feng Hu, Feng Teng
    中国化学快报. 2017, 28(03): 563-568. https://doi.org/10.1016/j.cclet.2016.11.004
    摘要 ( ) PDF全文 ( ) HTML 可视化 收藏
    Miniaturized channel filters are in high demand for many applications such as photonic integrated circuits, information-based technology, and platforms for investigation of light-matter interactions. Recently, several photonic schemes have been proposed to achieve nanofilters, which require sophisticated growth techniques. Here, we have fabricated microdisk whispering-gallery-mode (WGM) resonators through controlled assembly of organic materials with an emulsion-solventevaporation method. Based on this emulsion assembly method, the diameters of microdisks can be easily controlled, and more importantly, a microwire-disk interconnected structure is able to be constructed via one-step assembly. This microwire-waveguide-connected microdisk heterostructure can be utilized as a channel drop filter. Our results have demonstrated a facile way to achieve flexible WGM-based photonic components which can be integrated with other functional devices.
  • Xin-Le Li, Xiao-Mei Lang, Lian-Ming Yang, Sheng-Yuan Zhou, Hong-Fan Hu, Shan Xue, Xin Sun, Shi-Xuan Xin
    中国化学快报. 2017, 28(03): 569-574. https://doi.org/10.1016/j.cclet.2016.11.002
    摘要 ( ) PDF全文 ( ) HTML 可视化 收藏
    A nickel-based catalyst was employed for the first time in the crossing-coupling of indenoindoles with bromo-/iodoarenes. A simple and practical method was provided for the synthesis of N-aryl substituted indenoindole and the mechanism of this reaction was discussed.
  • Shi-Chao Xu, Shou-Ji Zhu, Liang-Wu Bi, Yu-Xiang Chen, Jing Wang, Yan-Ju Lu, Yan Gu, Zhen-Dong Zhao
    中国化学快报. 2017, 28(03): 575-578. https://doi.org/10.1016/j.cclet.2016.11.020
    摘要 ( ) PDF全文 ( ) HTML 可视化 收藏
    Metallodeuteroporphyrins (MDPs) were employed as the catalysts for aerobic oxidation of β-pinene in absence of solvents and additives. Allylic hydroxylation products were found to be the main products from this protocol. The catalytic activity of MDPs with different metal nuclei and the influences of technological conditions on this reaction were investigated. This catalytic system has bright application prospect since only eco-friendly and readily available dioxygen were needed.
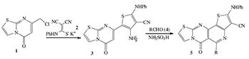
  • Dao-Lin Wang, Dong Wang, Jin-Juan Xing, Jian-Hua Qian
    中国化学快报. 2017, 28(03): 579-582. https://doi.org/10.1016/j.cclet.2016.11.024
    摘要 ( ) PDF全文 ( ) HTML 可视化 收藏
    An efficient method for the preparation of thieno[30,20:2,3] pyrido[4,5-d] thiazolo[3,2-a] pyrimidin-5-ones 5 is described. The keyintermediate, 7-(3-amino-4-cyano-5-phenylaminothieno-2-yl)-5H-thiazolo-[3,2-a]pyrimidin-5-one(3),wassynthesizedfrom7-chloromethyl-5H-thiazolo[3,2-a]pyrimidin-5-one(1) with potassium-(2,2-dicyano-1-phenylaminoethen-1-yl)thiolate (2) by Thorpe-Ziegler isomerization. Subsequent reaction of the intermediate amine with aromatic aldehydes via Pictet-Spengler reaction provided thieno-pyridine fused thiazolo[3,2-a] pyrimidines under p-TsOH as catalyst in good yields.
  • Meng-Meng Liu, Qiong Mei, Yi-Xiao Zhang, Peng Bai, Xiang-Hai Guo
    中国化学快报. 2017, 28(03): 583-587. https://doi.org/10.1016/j.cclet.2016.11.019
    摘要 ( ) PDF全文 ( ) HTML 可视化 收藏
    A concise and efficient approach was developed for the synthesis of mono-substituted and di-substituted pyrimidines products via palladium-catalyzed amination of chloro-substituted 5-nitropyrimidines and amines. This synthetic methodology can produce various di-substituted pyrimidines in high yields with good functional group tolerance, and provide a complementary tool for the syntheses of important intermediates of nucleosides and purines with bioactivities.
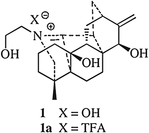
  • Xian-Hua Meng, Zhi-Bo Jiang, Qing-Lan Guo, Jian-Gong Shi
    中国化学快报. 2017, 28(03): 588-592. https://doi.org/10.1016/j.cclet.2016.11.010
    摘要 ( ) PDF全文 ( ) HTML 可视化 收藏
    A rare arcutine-type C20-diterpenoid alkaloid, named aconicarmicharcutinium A and obtained as hydroxide (1) and trifluoroacetate (1a), was characterized as a minor constituent of "fu zi" (the lateral roots of Aconitum carmichaelii). The structures of 1 and 1a were elucidated by comprehensive analysis of spectroscopic data including 19F and 2D NMR experiments. Compounds 1 and 1a represent the first examples of the arcutine-type C20-diterpenoid alkaloid iminium.
  • Gang Ding, Jing Wang, Jiao-Dong Fei, Rong-Tao Li, Hong-Mei Jia, Tao Zhang, Chang-Yuan Yu, Zhong-Mei Zou
    中国化学快报. 2017, 28(03): 593-596. https://doi.org/10.1016/j.cclet.2016.10.033
    摘要 ( ) PDF全文 ( ) HTML 可视化 收藏
    Three new ent-kaurane diterpenoids fimbrialtols K-M (3-5) with highly substituted functionalities were isolated from the extract of Flickingeria fimbriata (B1.) Hawkes. The structures of these new compounds were determined by NMR and HR-ESIMS. The relative configurations of these compounds were determined by analysis of NOESY correlations. The absolute configurations of these new compounds were established by CD methods together with considering the biosynthetic pathway. Compounds 3 and 4 contain a cinnamic carboxyl group, whereas compound 5 possesses a benzoic carboxyl group representing the first report in more than known 600 ent-kaurane diterpenoids.
  • Kuo Xu, Zi-Ming Feng, Jian-Shuang Jiang, Ya-Nan Yang, Pei-Cheng Zhang
    中国化学快报. 2017, 28(03): 597-601. https://doi.org/10.1016/j.cclet.2016.10.036
    摘要 ( ) PDF全文 ( ) HTML 可视化 收藏
    Four new glycosides including a eudesmane-type sesquiterpenoid (1), a guaiane-type sesquiterpenoid (2), and two C14-polyacetylenes (3, 4) were isolated from the rhizomes of Atractylodes lancea. Their structures were elucidated by means of spectroscopic and spectrometric analyses (UV, IR, 1D and 2D NMR, and HR-ESIMS). The absolute configurations of their aglycones were established based on the experimental and calculated electronic circular dichroism (ECD), whereas those of monosaccharide moieties were determined by the GC method after chiral derivatization. Compound 4 showed weak anti-inflammatory effects on the LPS-induced NO production in microglia BV2 cells at a concentration of 10 μmol L-1.
  • Nikhil M. Parekh, Bhupendra M. Mistry, Muthuraman Pandurangan, Surendra K. Shinde, Rahul V. Patel
    中国化学快报. 2017, 28(03): 602-606. https://doi.org/10.1016/j.cclet.2016.10.021
    摘要 ( ) PDF全文 ( ) HTML 可视化 收藏
    A new series of multi-heterocyclic Schiff base was constructed starting from 4'-(imidazol-1-yl)-acetophenone which was converted to its 2-bromoethanone precursor which on cyclic condensation with thiourea yielded final thiazol-2-amine intermediate (3) to be reacted with substituted aldehydes to generate final imidazolylphenylheterocyclic-2-ylmethylenethiazole-2-amines (4a-4i). New Schiff base was investigated for their in vitro cytotoxic efficacies against a panel of three human cancer cell lines namely, MCF7 (human breast cancer), HCT116 (human colon cancer), and DU145 (human prostate cancer) and one normal skin fibroblast (SF). Most of these synthetic derivatives shown important cytotoxic actions against individual carcinoma cell line collections, but weak actions against SF, which is as anticipated. Observations of SAR suggested that the difference in the characteristics of substituents attached to the Schiff base function leads to the interesting variations within pharmacological effects of resultant molecular systems. Structural analysis performed using FT-IR, 1H NMR, 13C NMR spectroscopy and CHN analysis for final potent anticancer Schiff base, which warrant further investigations.
  • Muhammad Taha, Syed Adnan Ali Shah, Muhammad Afifi, Manar Zulkeflee, Sadia Sultan, Abdul Wadood, Fazal Rahim, Nor Hadiani Ismail
    中国化学快报. 2017, 28(03): 607-611. https://doi.org/10.1016/j.cclet.2016.10.020
    摘要 ( ) PDF全文 ( ) HTML 可视化 收藏
    In this paper, synthesis and anticancer activities of morpholine hydrazones scaffold (1-17) thoroughly studied. Small series of morpholine hydrazones synthesized by treating 5-morpholinothiophene-2-carbaldehyde with different aryl hydrazides to form morpholine hydrazones scaffold (1-17). The in vitro anticancer potential of all these compounds was checked against human cancer cell lines like HepG2 (human hepatocellular liver carcinoma) and MCF-7 (human breast adenocarcinoma). Analogs 13 had similar substantial cytotoxic effects towards HepG2 with IC50 value 6.31±1.03 μmol/L when compared with the standard Doxorubicin (IC50 value 6.00±0.80 μmol/L); while compounds 5,8 and 9 showed potent cytotoxicity against MCF-7 with IC50 value 7.08±0.42 μmol/L, 1.26±0.34 μmol/L and 11.22±0.22 μmol/L respectively when compared with the standard Tamoxifen (IC50=11.00±0.40 μmol/L). Molecular docking studies also performed to understand the binding interaction.
  • Mai A. Basha, Mohamed K. Abd El-Rahman, Lories I. Bebawy, Maissa Y. Salem
    中国化学快报. 2017, 28(03): 612-618. https://doi.org/10.1016/j.cclet.2016.11.012
    摘要 ( ) PDF全文 ( ) HTML 可视化 收藏
    Three novel amprolium HCl (AMP)-selective electrodes were investigated with 2-nitrophenyl octylether as a plasticiser in a polymeric matrix of polyvinyl chloride (PVC). Sensor I was fabricated using potassium tetrakis(4-chlorophenyl) borate (TpClPB) as a cationic exchanger without incorporation of an ionophore. Sensor II used 2-hydroxy propyl β-cyclodextrin as an ionophore while sensor III used p-tert-butylcalix[8] arene as an ionophore. The three proposed sensors showed Nernestian response slopes of 29.2±0.8, 29.3±0.6 and 30.2±0.4 mV/decade over the concentration range from 10-6 to 10-2 mol L-1, respectively. The proposed sensors displayed useful analytical characteristics for the determination of AMP in bulk powder, different pharmaceutical formulations, and chicken liver and in the presence of ethopabate. The proposed method was validated according to ICH guidelines for its linearity, accuracy, precision and robustness.
  • Xin Nie, Xin Ning, Ying-Ying Zhao, Li-Zhu Yang, Fan Zhang, Pin-Gang He
    中国化学快报. 2017, 28(03): 619-624. https://doi.org/10.1016/j.cclet.2016.11.013
    摘要 ( ) PDF全文 ( ) HTML 可视化 收藏
    A sensitive label-free fluorescent aptasensing strategy for the detection of adenosine triphosphate (ATP) has been developed with a metallocyclodextrin, tris(bipyridine) ruthenium(II) complex containing six cyclodextrin units (6CD-Ru), which exhibited much stronger emission signal compared to the parent compound Ru(bpy)3Cl2. Furthermore, the emission spectrum showed that the ATP-aptamer (ssDNA) could increase the fluorescence intensity of 6CD-Ru dramatically, attributed to the interaction between aptamer and cyclodextrin, which could provide protection to the ruthenium core from the quenching of emission by oxygen in the solution. With the addition of ATP, the interaction between aptamer and cyclodextrins on 6CD-Ru was diminished, since the ATP/aptamer complex had the priority to be formed, leading to the corresponding reduction of fluorescence intensity, which could be utilized to detect ATP quantitatively. A linear relationship was displayed between the fluorescence and the logarithm of ATP concentrations in the range from 1 nmol/L to 1 μmol/L with the detection limit of 0.5 nmol/L (S/N=3). The proposed fluorescent aptasensing strategy exhibited high sensitivity and specificity, without any labeling or amplification procedures, and it could also be applied for the detection of many other aptamer-specific targets.
  • Shu-Ping Wu, Xiang-Zi Dai, Jia-Rui Kan, Fang-Di Shilong, Mai-Yong Zhu
    中国化学快报. 2017, 28(03): 625-632. https://doi.org/10.1016/j.cclet.2016.11.015
    摘要 ( ) PDF全文 ( ) HTML 可视化 收藏
    Carboxymethyl chitosan-hemicellulose resin (CMCH) was synthesized by thermal cross-linking process and characterized by FTIR, TGA, and SEM. Subsequently, the adsorption properties of CMCH toward Ni(II), Cd(II), Cu(II), Hg(II), Mn(VII) and Cr(VI) were evaluated. Various factors affecting the uptake behavior such as pH, temperature, contact time and the initial concentration of the metal ions were investigated. The results showed that all adsorption processes fit the pseudo-second-order model and Langmuir isotherm equation. Significantly, the regeneration experiments showed CMCH can be used as a potentially recyclable and effective adsorbent for the removal and recovery of metal ions from wastewater.
  • Yong Zhu, Zhi-Shan Bai, Hua-Lin Wang
    中国化学快报. 2017, 28(03): 633-641. https://doi.org/10.1016/j.cclet.2016.10.031
    摘要 ( ) PDF全文 ( ) HTML 可视化 收藏
    An improved biosorbent of thiourea modified chitosan microsphere (TMCM) with high specific surface, favorable mechanical strength and excellent adsorption performance had been synthesized via microfluidic technology. Polyethylene glycol was used as a significant component added in aqueous solution of chitosan to produce such microspheres through droplets forming, chemical crosslinking and pores creating. For the improvement of adsorption capacity, thiourea was considered as an excellent choice in increasing amino functional group by graft modification. The SEM, FTIR and EDS were employed to detect distinct features of TMCM. Copper(II) was used to test the adsorption performance of TMCM. The experimental results indicated that TMCM exhibited higher adsorption capacity (qe=60.6 mg g-1) and faster adsorption rate than that non-modified chitosan microsphere (NMCM). The adsorption kinetic was described well by the pseudo-second order kinetic model, which suggested that chemical adsorption along with electrons transferring was dominant in adsorption process.
  • Nejla Chihaoui, Besma Hamdi, Ridha Zouari
    中国化学快报. 2017, 28(03): 642-650. https://doi.org/10.1016/j.cclet.2016.10.002
    摘要 ( ) PDF全文 ( ) HTML 可视化 收藏
    A novel interesting d10 metal hybrid,[1,2-C6H10(NH3)2]ZnCl4; 1,2-diammoniumcyclohexane tetrachlorozincate(II) was grown, structurally characterized and their vibrational as well as thermal and dielectric proprieties were studied. A preliminary single crystal X-ray diffraction structural analysis has revealed that the latter crystallizes in the monoclinic system (space group C2/c). Its unit cell dimensions are a=32.394(9) Å, b=12.217(4) Å, c=10.175(3) Å, β=97.852(13)° with Z=12 and the refinement converged to R=0.034 and ωR=0.065. Hirshfeld surface analyses, especially dnorm surface and fingerprint plots were used for decoding intermolecular interactions in the crystal network. The optimized geometric parameters, normal mode frequencies and corresponding vibrational assignments of the present compound were theoretically examined by the DFT/B3LYP method with the LanL2DZ basis set. The thermal and dielectric analyses suggested the presence of ferroelectric phase transition at 314 K.
  • Anees A. Ansari
    中国化学快报. 2017, 28(03): 651-657. https://doi.org/10.1016/j.cclet.2016.10.010
    摘要 ( ) PDF全文 ( ) HTML 可视化 收藏
    A simple polyol and sol-gel Stober process were employed for synthesis of YF3:Tb+ (core), YF3:Tb+@LaF3 (core/shell) and YF3:Tb+@LaF3@SiO2 (core/shell/SiO2) nanoparticles (NPs). The phase purity, crystalinity, morphology, optical and photoluminescence properties were investigated and discussed with the help of various analytical techniques including X-ray diffraction pattern, FE-transmission electron microscopy (TEM), FTIR, UV/vis absorption, energy band gap and emission spectra. XRD and FE-TEM studies indicate the formation of core/shell nanostructure and 10 nm thick amorphous silica surface coating surrounding the core-NPs, which is also confirmed by FTIR spectral results. The surface modifications of core-NPs significantly affect the optical features in the form of energy band gap, which were correlated with particle size of the nanomaterials. The comparative emission spectral results show that after inert layer coating the luminescent core-NPs display stronger emission intensity in respect to core and silica coated core/shell/SiO2-NPs. The solubility character along with colloidal stability was improved after silica surface modification, whereas luminescent intensity was suppressed causing the surface functionalized with high energy silanol (Si-OH) molecules. These novel luminescent nanomaterials with enhanced emission intensity and excellent solubility in aqueous solvents would be potentially useful for fluorescence bioimaging/optical bio-probe etc.
  • Shu-Ying Chen, Zhi-Cheng Sun, Lu-Hai Li, Yong-Hao Xiao, Yan-Min Yu
    中国化学快报. 2017, 28(03): 658-662. https://doi.org/10.1016/j.cclet.2016.11.005
    摘要 ( ) PDF全文 ( ) HTML 可视化 收藏
    The thermally expandable microspheres (TEMs) were prepared via suspension polymerization with acrylonitrile (AN), methyl methacrylate (MMA) and methyl acrylate (MA) as monomers and n-hexane as the blowing agent. Meanwhile, a novel type of functional and conductive thermal expandable microsphere was obtained through strongly covering the surface of microsphere by conductive polymers with the mass loading of 1.5%. The optimal conditions to prepare high foaming ratio and equally distributed microcapsules were investigated with AN-MMA-MA in the proportion of 70%/20%/10% (m/m/m), and 25 wt% of n-hexane in oil phase. The further investigation results showed that the unexpanded TEMs were about 30 μm in diameter and the maximum expansion ratio was nearly 125 times of original volume. The polypyrrole (PPy) was smoothly coated on the surface of the TEMs and the expansion property of PPy-coated TEMs was almost the same as the uncoated TEMs. Moreover, the structure and expanding performance of TEMs and PPy-coated TEMs were characterized by scanning electron microscopy (SEM), laser particle size analyzer and dilatometer (DIL).
  • Md. Hasan Zahir, Shamseldin A. Mohamed, Mohammad Mizanur Rahman, Ateeq Ur Rehman
    中国化学快报. 2017, 28(03): 663-669. https://doi.org/10.1016/j.cclet.2016.10.018
    摘要 ( ) PDF全文 ( ) HTML 可视化 收藏
    Ru/CeO2[RC] and Ru/CeO2/ethylene glycol (EG)[RCE] nanoparticles were produced by performing a simple hydrothermal reaction at 200℃ for 24 h and found to have two distinct morphologies. The RC nanoparticles are phase pure CeO2; triangular highly crystalline CeCO3OH nanoparticles are formed from the solution containing EG under the same hydrothermal reaction conditions at pH 8.5. EG plays an important role in the formation of the triangular CeCO3OH nanoparticles. The polycrystalline CeCO3OH nanoparticles retain their triangular structure even after calcination at 600℃ in air but are transformed into a pure CeO2 phase. The room temperature photoluminescence of the RC and RCE nanoparticles and of RCE calcined at 600℃[RCE-600] was also investigated. It was found that the high crystallinity triangular RCE-600 sample exhibits the highest photoluminescence intensity.
  • Jing-Jing Liang, Ming-Gang Zhao, Long-Jiang Ding, Si-Si Fan, Shou-Gang Chen
    中国化学快报. 2017, 28(03): 670-674. https://doi.org/10.1016/j.cclet.2016.10.035
    摘要 ( ) PDF全文 ( ) HTML 可视化 收藏
    P-Type NiO foam with rough nanostructured surface was prepared by the surface treatment of Ni foam, and then it was decorated with n-type ZnO nanopyramids to construct a 3D p-n junction foam. The p-n junction foam was used for electrochemical detection of dopamine and the sensing performance was improved significantly compared with the single NiO and ZnO. High sensitivity (171 μA/mmol/L), fast response (2 s), excellent selectivity and stability were achieved. It was attributed to the introduction of numerous p-n junction interfaces, the interfacial potential barrier played as a tuning factor for the electrochemical determination of dopamine. The results demonstrated it would be an important way to improve the biosensing performance by introducing the p-n junction interfaces.