本期目录

2017年, 第28卷, 第02期 刊出日期:2017-02-22
  

  • 全选
    |
    论著
  • Zhi Xu, Shu Zhang, Chuan Gao, Jing Fan, Feng Zhao, Zao-Sheng Lv, Lian-Shun Feng
    中国化学快报. 2017, 28(02): 159-167. https://doi.org/10.1016/j.cclet.2016.07.032
    摘要 ( ) PDF全文 ( ) HTML 可视化 收藏
    Tuberculosis (TB) is one of the most common and even fatal infectious diseases known to mankind. Millions of new cases are reported every year over the world, and one-third of the world's population is potentially infected with mycobacteria tuberculosis (MTB). Research to develop novel anti-TB drugs led to the identification of several isatin-based antimycobacterial agents, among which a number of potential candidates displayed excellent antimycobacterial activity and were found to be free of cytotoxicity. This review outlines the advances in the application of isatin hybrids as antimycobacterial agents and the critical aspects of design and structure-activity relationship of these derivatives.
  • Jian-Yong Zhang, Li-Hua Zeng, Juan Feng
    中国化学快报. 2017, 28(02): 168-183. https://doi.org/10.1016/j.cclet.2016.07.015
    摘要 ( ) PDF全文 ( ) HTML 可视化 收藏
    Dynamic covalent chemistry has emerged recently to be a powerful tool to construct functional materials. This article reviews the progress in the research and development of dynamic covalent chemistry in gels assembled from small molecules. First dynamic covalent reactions used in gels are reviewed to understand the dynamic covalent bonding. Afterwards the catalogues of dynamic covalent gels are reviewed according to the nature of gelators and the interactions between gelators. Dynamic covalent bonding can be involved to form low molecular weight gelators. Low molecular weight molecules with multiple functional groups react to form dynamic covalent cross-linked polymers and act as gelators. Two catalogues of gels show different properties arising from their different structures. This review aims to illustrate the structure-property relationships of these dynamic covalent gels.
  • Yu Li, Yong-Zan Zheng, Ding-Kun Zhang, Hai-Fang Li, Yuan Ma, Jin-Ming Lin
    中国化学快报. 2017, 28(02): 184-188. https://doi.org/10.1016/j.cclet.2016.07.020
    摘要 ( ) PDF全文 ( ) HTML 可视化 收藏
    A novel chemiluminescence (CL) performance of CdTe/CdS/ZnS quantum dots (QDs) with periodate (KIO4) was studied. Effects of concentration and pH on the CL system were investigated. Electron spin resonance (ESR) and the effects of radical scavenger analysis were employed for identification of intermediate species. The CL spectra for this system showed only one maximum emission peak centered around 620 nm, which was similar with photoluminescence (PL) spectra of CdTe/CdS/ZnS QDs. The CL of CdTe/CdS/ZnS QDs was induced by direct chemical oxidation and the possible mechanism could be explained by radiative recombination of injected holes and electrons. This investigation not only provided new sight into the optical characteristics of CdTe/CdS/ZnS QDs, but also broadened their potential optical utilizations.
  • An-Qin Leng, Yun-Fei Tian, Ming-Xuan Wang, Li Wu, Kai-Lai Xu, Xian-Deng Hou, Cheng-Bin Zheng
    中国化学快报. 2017, 28(02): 189-196. https://doi.org/10.1016/j.cclet.2016.06.056
    摘要 ( ) PDF全文 ( ) HTML 可视化 收藏
    An environmentally friendly, low power consuming, sensitive and compact mercury analyzer was developed for the determination of mercury in water samples by integrating a thin film dielectric barrier discharge induced cold vapor reactor and a dielectric barrier discharge optical emission spectrometer into a small polymethyl methacrylate plate (10.5 cm length×8.0 cm width×1.2 cm height). Mercury cold vapor was generated when standard or sample solutions with or without formic acid were introduced to the reactor to form thin film liquid and exposed to microplasma irradiation and subsequently separated from the liquid phase for transport to the microplasma and detection of its atomic emission. Limits of detection of 0.20 μg L-1 and 2.6 μg L-1 were obtained for the proposed system using or not using formic acid, respectively. Compared to the conventional microplasma optical emission spectrometry used for mercury analysis, this system not only retains the good limit of detection amenable to the determination of mercury in real samples, but also reduces power consumption, eliminates the generation of hydrogen and avoids the use of toxic or unstable reductant. Method validation was demonstrated by analysis of a certified reference material of water sample and three real water samples with good spike recoveries (88-102%).
  • Yong-Ming Wang, Qing-De Chen, Xing-Hai Shen
    中国化学快报. 2017, 28(02): 197-200. https://doi.org/10.1016/j.cclet.2016.06.035
    摘要 ( ) PDF全文 ( ) HTML 可视化 收藏
    Black precipitates were successfully obtained by radiolytic reduction of ammonium uranyl tricarbonate in the aqueous solution of HCOONH4 by one step. TEM, SAED, EDS, and XRD analysis indicated that the precipitates consist of hollow UO2 nanospheres (φ:30-50 nm, wall thickness:8-15 nm, and cavity diameter:10-20 nm). The effect of HCOONH4 concentration, irradiation time and dose rate on the morphology, and size of nanospheres was investigated. Then, a gas-bubble template mechanism was proposed.
  • Jiao You, Jiang-Yong-Quan Cao, Si-Chong Chen, Yu-Zhong Wang
    中国化学快报. 2017, 28(02): 201-205. https://doi.org/10.1016/j.cclet.2016.06.039
    摘要 ( ) PDF全文 ( ) HTML 可视化 收藏
    Triblock copolymer of poly(p-dioxanone) and polyethylene glycol end-capped with pyrene moieties ((Py-PPDO)2-b-PEG) was synthesized and used as modifier for multi-wall carbon nanotubes (MWCNTs). Nano-aggregates ((Py-PPDO)2-b-PEG@MWCNTs) with shish-kebab like partially wrapped morphology and very good stability were obtained by incorporating the copolymer with MWCNTs. The bare MWCNT sections of (Py-PPDO)2-b-PEG@MWCNTs were able to induce π-π interactions with graphene (GE) and resulted in a novel GE/(Py-PPDO)2-b-PEG@MWCNTs hybrid. The dispersity of GE in solution or polymer matrix was therefore greatly improved. The PCL nanocomposite films using GE/(Py-PPDO)2-bPEG@MWCNTs as hybrid nanofiller exhibited obviously improved mechanical properties especially at very low hybrid nanofiller content. The influence of the nanofiller content and feed ratio of GE/MWCNTs on the mechanical properties of composites films was evaluated. When the feed ratio of GE to MWCNTs is 2:8 and the total loading of nanofiller is only 0.01 wt%, the tensile strength of the composite film increased by 163% and the elongation at break increased by 17% compared to those of neat PCL. These results can be attributed to fine dispersion of the nanofillers in PCL matrix and the hybrid interactions between GE and MWCNTs. Therefore, this work provides a novel method for preparing polymer nanocomposites with high mechanical performance and low nanofiller loading.
  • Ling-Yang Liu, Xu Zhang, Hong-Xia Li, Bao Liu, Jun-Wei Lang, Ling-Bin Kong, Xing-Bin Yan
    中国化学快报. 2017, 28(02): 206-212. https://doi.org/10.1016/j.cclet.2016.07.027
    摘要 ( ) PDF全文 ( ) HTML 可视化 收藏
    Li-ion hybrid capacitors (LIHCs), composing of a lithium-ion battery (LIB) type anode and a supercapacitor (SC) type cathode, gained worldwide popularity due to harmonious integrating the virtues of high energy density of LIBs with high power density of SCs. Herein, nanoflakes composed microflower-like Co-Ni oxide (CoNiO) was successfully synthesized by a simple co-precipitation method. The atomic ratio of as-synthesized CoNiO is determined to be 1:3 through XRD and XPS analytical method. As a typical battery-type material, CoNiO and capacitor-type activated polyanilinederived carbon (APDC) were used to assemble LIHCs as the anode and cathode materials, respectively. As a result, when an optimized mass ratio of CoNiO and APDC was 1:2, CoNiO//APDC LIHC could deliver a maximum energy density of 143 Wh kg-1 at a working voltage of 1-4 V. It is worth mentioning that the LIHC also exhibits excellent cycle stability with the capacitance retention of 78.2% after 15,000 cycles at a current density of 0.5 A g-1.
  • Shi-Kun Jia, Yu-Bing Lei, Long-Long Song, Shun-Ying Liu, Wen-Hao Hu
    中国化学快报. 2017, 28(02): 213-217. https://doi.org/10.1016/j.cclet.2016.06.053
    摘要 ( ) PDF全文 ( ) HTML 可视化 收藏
    A synergistic rhodium(II)/phosphoric acid catalyzed three component reaction of 3-diazooxindoles, alcohols and N-benzhydryl-α-imino ester is developed for the efficient construction of chiral β-alkoxy Cβ-tetrasubstituted α-amino acid derivatives in good yields and with excellent diastereoselectivities and high enantioselectivities. The synthetic application of the resulting products was illustrated by reducing with Pd/C under H2 atmosphere followed reacting with CSCl2 at room temperature to rapid afford 3-spirocyclic oxindole in a good yield with a chirality retainment. The three-component reaction is proposed to proceed through an electrophilic trapping of the oxonium ylides by N-benzhydryl-α-imino ester.
  • Li-Li Zhang, Hui-Kun Zhu, Chun-Chang Zhao, Xian-Feng Gu
    中国化学快报. 2017, 28(02): 218-221. https://doi.org/10.1016/j.cclet.2016.07.008
    摘要 ( ) PDF全文 ( ) HTML 可视化 收藏
    Most reported fluorescent probes have limitations in practical applications in living systems due to the strong autofluorescence background, construction of probes with near-infrared (NIR) fluorescence emission is an accessible approach for addressing this challenge. We here designed a NIR fluorescent probe for monitoring the endogenous production of H2S in living cells. The designed probe showed significant NIR fluorescence turn-on response to H2S with high selectivity, enabling the sensitive detection H2S. Importantly, the probe could be applied in monitoring the endogenous production of H2S in raw264.7 macrophages. This study showed that fluvastatin can promote the activity of cystathionine γ-lyase (CSE) for generation H2S.
  • Liang-Liang Chen, Fan-Dong Kong, Pei Wang, Jing-Zhe Yuan, Zhi-Kai Guo, Hao Wang, Hao-Fu Dai, Wen-Li Mei
    中国化学快报. 2017, 28(02): 222-225. https://doi.org/10.1016/j.cclet.2016.07.019
    摘要 ( ) PDF全文 ( ) HTML 可视化 收藏
    Two new tremulane sesquiterpenes coriolopsin A (1) and coriolopsin B (2), together with two known ones conocenol C (3) and ceriponol E (4), were isolated from the fermentation extract of endophytic fungus Coriolopsis sp. J5 from Ceriops tagal. The structures and absolute configuration of compounds 1 and 2 were determined based on HR-ESI-MS and spectroscopic data (IR, UV, 1D, 2D NMR and X-ray crystallographic analysis).
  • Ting-Ting Song, Wei Wang, Li-Li Meng, Yan Liu, Xiao-Bo Jia, Xun Mao
    中国化学快报. 2017, 28(02): 226-230. https://doi.org/10.1016/j.cclet.2016.07.021
    摘要 ( ) PDF全文 ( ) HTML 可视化 收藏
    In this study, a natural cotton thread immunoassay device combined with gold nanorod (GNR) reporter probe is developed for the rapid, sensitive and quantitative electrochemical determination of human ferritin, a lung cancer related biomarker. Human ferritin as an analyte and a pair of monoclonal antibodies are used to demonstrate the proof-of-concept on the cotton thread immunoassay device. An enhancement of the sensitivity is achieved by using gold nanorod as an electroactive report probe compared with a traditional gold nanoparticle (GNP) report probe. The device was capable of measuring 1.58 ng/mL ferritin in 30 min by anodic stripping voltammetry (ASV) testing, which meet the requirement for clinical diagnosis.
  • Zhi Chen, Xiao-Xiao Shi, Dong-Qin Ge, Zhen-Zhen Jiang, Qi-Qi Jin, Hua-Jiang Jiang, Jia-Shou Wu
    中国化学快报. 2017, 28(02): 231-234. https://doi.org/10.1016/j.cclet.2016.07.022
    摘要 ( ) PDF全文 ( ) HTML 可视化 收藏
    The cyclization reaction of 2-ethynyl-N-sulfonylanilides proceeded efficiently in water with the presence of a catalytic amount of K2CO3 under transition metal-free condition to give indoles in high yields. The recovery and reusability of the present catalytic system were investigated.
  • Xue-Dong Jia, Shuo Wang, Ming-Hua Wang, Ming-Liang Liu, Gui-Min Xia, Xiu-Jun Liu, Yun Chai, Hong-Wei He
    中国化学快报. 2017, 28(02): 235-239. https://doi.org/10.1016/j.cclet.2016.07.024
    摘要 ( ) PDF全文 ( ) HTML 可视化 收藏
    A series of naphthyridinone derivatives based on 1a (a precursor of Voreloxin) were designed and synthesized. Seven compounds having >70% inhibition against HL60 at 30 μmol/L were further evaluated for their in vitro antitumor activity by SRB assay. Results reveal that thiazol-2-yl and 3-aminomethyl-4-benzyloxyimino-3-methylpyrrolidin-1-yl groups are optimal at the N-1 and C-7 positions of naphthyridinone core, respectively. 10j exhibits broad-spectrum activity (IC50:<0.5-6.25 μmol/L) against all of the tested cell lines including Etoposide- and/or 1a-resistant ones, and is 1.3-fold to >100-fold more potent than the two references against eight of these cell lines.
  • Masoumeh Taei, Foroozan Hasanpour, Mohammad Dinari, Nasrin Sohrabi, Mohammad Sadegh Jamshidi
    中国化学快报. 2017, 28(02): 240-247. https://doi.org/10.1016/j.cclet.2016.07.025
    摘要 ( ) PDF全文 ( ) HTML 可视化 收藏
    In this study, Au nanoparticles/poly 5-[(2-hydroxynaphthalen-1-yl)diazenyl] isophthalic acid film modified glassy carbon electrode (AuNPs/poly(NDI)/GCE) has shown excellent electrocatalytic activity toward the oxidation of adrenaline (ADR), paracetamol (PAC), and tryptophan (Trp). The bare glassy carbon electrode (GCE) fails to separate the oxidation peak potentials of these molecules, while the poly(NDI) film modified electrode can resolve them. Electrochemical impedance spectroscopy (EIS) indicates that the charge transfer resistance of the bare electrode decreases as 5-[(2-hydroxynaphthalen-1-yl)diazenyl] isophthalic acid is electropolymerized on the bare electrode. Furthermore, EIS exhibits enhancement of electron transfer kinetics between analytes and the electrode after electrodeposition of Au nanoparticles. Differential pulse voltammetry results show that the electrocatalytic current increases linearly in the ranges of 0.01-680.0 μmol L-1 for ADR, 0.05-498.0 μmol L-1 for PAC, and 3.0-632.0 μmol L-1 for Trp; with detection limits (S/N=3) of 0.009 μmol L-1, 0.005 μmol L-1, and 0.09 μmol L-1 for ADR, PAC, and Trp, respectively. The proposed method has been successfully applied for simultaneous determination of ADR, PAC, and Trp in biological samples.
  • Ji-Mei Liu, De-Wu Zhang, Min Zhang, Ri-Dao Chen, Zheng Yan, Jian-Yuan Zhao, Jin-Lian Zhao, Nan Wang, Jun-Gui Dai
    中国化学快报. 2017, 28(02): 248-252. https://doi.org/10.1016/j.cclet.2016.07.031
    摘要 ( ) PDF全文 ( ) HTML 可视化 收藏
    Periconones B-E (1-4), four new polyketide-terpenoid hybrid molecules were isolated from the endophytic fungus Periconia sp. F-31. Their structures and absolute configurations were established by extensive spectroscopic data analysis and electronic circular dichroism (ECD). Compound 4 exhibited in vitro cytotoxic activity against the human MCF-7 tumor cell line with an IC50 value of 4.2 μmol/L, and compound 1 displayed anti-HIV activity with an IC50 value of 18.0 μmol/L.
  • Yu-Tao Zheng, Teng-Teng Zhang, Pei-Yi Wang, Zhi-Bing Wu, Lei Zhou, Yi-Qiang Ye, Xiang Zhou, Ming He, Song Yang
    中国化学快报. 2017, 28(02): 253-256. https://doi.org/10.1016/j.cclet.2016.06.055
    摘要 ( ) PDF全文 ( ) HTML 可视化 收藏
    By introducing the pyrazole moiety into the 5-position of 1,3,4-oxadiazole, a series of novel 2-(thioether/sulfone)-5-pyrazolyl-1,3,4-oxadiazole derivatives were synthesized. Preliminary bioassays suggested that target compounds exhibited appreciable activity against pathogenic bacteria Xanthomonas oryzae pv. oryzae (Xoo) and five phytopathogenic fungi in vitro. Among them, the half-maximal effective concentration (EC50) values of 6c, 7a, 7b and 7c against Xoo were within 16.6 μg/mL and 65.7 μg/mL, which were better than those of commercial agricultural antibacterial bismerthiazol (92.6 μg/mL) and thiodiazole copper (121.8 μg/mL). While compounds 7a, 7b, and 7c exerted comprehensive antifungal activity toward five plant fungi, which were comparable with that of hymexazol. The results demonstrated that this kind of compounds can be further studied and developed as promising antifungal and antibacterial agents.
  • Peng-Cheng Lin, Jing Yao, Jiang Wu, Jin Tian, Yi Bao, Sheng Lin
    中国化学快报. 2017, 28(02): 257-259. https://doi.org/10.1016/j.cclet.2016.08.005
    摘要 ( ) PDF全文 ( ) HTML 可视化 收藏
    A new ureido-substituted amino acid, conopsamide A (1), has been isolated from an ethanolic extract of the tubers of Gymnadenia conopsea. Its structure was elucidated by extensive spectroscopic analysis, and the absolute configuration was assigned by Marfey's method. The new compound was evaluated for in vitro assay for HDAC1 (Histone Deacetylase 1) inhibitory activity.
  • Hong-Lei Xie, Chun-Chi Liu, Yi-Qun Li, Chang-Lin Bai, Chen-Zhou Hao, Jing Guo, Chang-Qun Luo, Dong-Mei Zhao, Mao-Sheng Cheng
    中国化学快报. 2017, 28(02): 260-263. https://doi.org/10.1016/j.cclet.2016.10.016
    摘要 ( ) PDF全文 ( ) HTML 可视化 收藏
    A novel series of β-propanamide derivatives as inhibitors of cholesteryl ester transfer protein (CETP) were synthesized. Previously, H3 (IC50 2 μmol/L) was observed to inhibit CETP moderately (Xie et al., 2016). Structural modifications based on H3 led to discovery of the successful CETP inhibitor, known as 1-methyl-4-arylpyrazole. Using a similar approach, compound Q08 was identified as a highly potent CETP inhibitor with an IC50 of 490 nmol/L in vitro.
  • Samy M. Shaban, Ismail Aiad, Mohamed M. El-Sukkary, E. A. Soliman, Moshira Y. El-Awady
    中国化学快报. 2017, 28(02): 264-273. https://doi.org/10.1016/j.cclet.2016.09.010
    摘要 ( ) PDF全文 ( ) HTML 可视化 收藏
    The chemical structure of newly synthesized cationic surfactants based on Schiff base was confirmed using Fourier transform infrared spectroscopy, proton nuclear magnetic resonance spectroscopy, and mass spectroscopy. The synthesized surfactants were used in the synthesis of silver nanoparticles by a simple one-step method. The silver nanoparticle (AgNPs) formation was confirmed using transmission electron microscopy (TEM), electron diffraction (SAED), dynamic light scattering (DLS), and energy dispersive X-ray spectroscopy (EDX). The structure of the surfactant played an important role in the synthesis process. Increasing the hydrophobic chain length, the stability, and the amount of surfactant increased the quantity of AgNPs formed. The surface activity of the synthesized cationic surfactants was determined using surface tension measurements at three different temperatures. The synthesized surfactants showed a high tendency toward adsorption and micellization. Increasing the hydrophobic chain length of the synthesized surfactant increased its adsorption. Screening the synthesized cationic surfactants and their nano-form against bacteria and fungi showed that they are highly effective. The silver nanoparticles enhanced the biological activity of the synthesized cationic surfactants.
  • Hadi Sajjadi-Ghotbabadi, Shahrzad Javanshir, Faramarz Rostami-Charati
    中国化学快报. 2017, 28(02): 274-279. https://doi.org/10.1016/j.cclet.2016.09.011
    摘要 ( ) PDF全文 ( ) HTML 可视化 收藏
    A three-component condensation was applied for the preparation of cyclopentadiene derivatives through the reaction of primary amines, alkyl propiolate and dialkyl acetylenedicarboxylate in the presence of catalytic amount of ZnO-nanorods (Zn-NR) under solvent-free conditions at 50℃. The method has proved to be synthetically green, simple, and effective with high atom economy and yield. The catalyst also revealed significant reusability. Moreover, the antioxidant activity and free radical scavenging capacity of the newly synthesized derivatives 4a, 4b, 4c, and 4d was screened using free radical scavenging 2,2-diphenyl-1-picrylhydrazyl (DPPH) and ferric reducing antioxidant power (FRAP) assays and compared with hydroxytoluene (BHT) and tert-butylhydroquinone (TBHQ). These compounds do not exhibit good DPPH radical scavenging, but they have a desirable FRAP.
  • Ji-Xi Guo, Ming-Xi Guo, Dian-Zeng Jia, Yin-Hua Li
    中国化学快报. 2017, 28(02): 280-284. https://doi.org/10.1016/j.cclet.2016.06.037
    摘要 ( ) PDF全文 ( ) HTML 可视化 收藏
    Novel photochromic composite films have been successfully fabricated by dispersing pyrazolone derivative:1,3-Diphenyl-4-(3-chlorobenzal)-5-hydroxypyrazole 4-phenylsemicarbazone (1a) into hydrosol of polyvinyl alcohol (PVA). The microstructure, photochromic behaviors and thermal bleaching properties were investigated by Raman spectroscopy, X-ray powder diffraction (XRD), field emission scanning electron microscopy (FE-SEM) and ultraviolet-visible absorption spectroscopy (UV-vis). The results showed that 1a was not only blended but also well dispersed in the PVA polymer films with a suitable content of chromophore. Upon UV light irradiation, the composite films gradually changed from colorless to yellow and recovered fully to the initial state upon thermal bleaching. The time constants of photochromic reactions were almost the same as those of 1a observed in their crystalline state, indicating that the photochromic phenomenon is barely disturbed by the polymer matrix.
  • Yan Xie, Liang Han, Cheng-Sheng Ge, Yan-Hong Cui, Jian-Rong Gao
    中国化学快报. 2017, 28(02): 285-292. https://doi.org/10.1016/j.cclet.2016.06.042
    摘要 ( ) PDF全文 ( ) HTML 可视化 收藏
    Three novel triarylamine dyes (AFL1-AFL3) containing fluorenyl and the biphenyl moieties have been designed and synthesized for application in dye-sensitized solar cells. The light-harvesting capabilities and photovoltaic performance of these dyes were investigated systematically through comparison of different π-bridges. The dye with a furan linker exhibited a higher open-circuit voltage (VOC) and monochromatic incident photon-to-current conversion efficiency (IPCE) compared to thiophene and benzene linker. Thus, AFL3 containing a furan linker exhibited the maximum overall conversion efficiency of 5.81% (VOC=760 mV, JSC=11.36 mA cm-2 and ff=0.68) under standard global AM 1.5 G solar condition.
  • Xue-Mei Liao, Veronique Pitchon, Pham-Huu Cuong, Wei Chu, Valerie Caps
    中国化学快报. 2017, 28(02): 293-296. https://doi.org/10.1016/j.cclet.2016.06.043
    摘要 ( ) PDF全文 ( ) HTML 可视化 收藏
    Bimetallic AuxCuy/CeO2 (x/y=3/1, 1/1, and 1/3) catalysts were prepared by direct anion exchange (DAE), following impregnation (IMP) methods, and used for selective hydrogenation of cinnamaldehyde. The effects of pretreatments, such as calcination or reduction on the catalytic activities of these catalysts were investigated. XRD and HRTEM showed that for the reduced catalysts, there is the formation of an Au-Cu alloy. HAADF-STEM displayed that reduction pretreatment leads to a very homogenous distribution of Au and Cu on the external catalyst surface. Reaction parameters, such as CAL concentration, the stirring speed, nature of the solvent influence the catalytic activities. Pretreatments lead to a major effect on CAL conversion and HCAL selectivity. Catalysts AuxCuy/CeO2pretreated under reduction display higher CAL conversion and HCAL selectivity than that of under calcination mainly due to the synergistic effect resulting in a formation of Au-Cu alloy.
  • Zun-Qi Liu, Yang Liu, Yuan Chen, Wu-Qiang Zhao, Wei-Na Fang
    中国化学快报. 2017, 28(02): 297-301. https://doi.org/10.1016/j.cclet.2016.07.013
    摘要 ( ) PDF全文 ( ) HTML 可视化 收藏
    A novel inorganic-organic hybrid supramolecular compound,[(3-nitroanilinium+)(18-crown-6)] [IO4-](CH3OH) (1), was discovered as phase-transition materials displaying dielectric anomalous behaviors. The yellow block crystal formed by N-H…O hydrogen bonding that made contact through the cavity of 18-crown-6 was characterized by single-crystal X-ray diffraction, elemental analysis, infrared analysis, thermogravimetric analysis, differential scanning calorimetry, and potential-energy calculations. Differential scanning calorimetry measurements indicate that the compound experiences a reversible phase transition at around 220 K. Temperature-dependent dielectric measurements further confirm the phase transitions. Potential-energy calculations demonstrate that the phase transition occurs due to the molecular order-disorder rotation of CH3OH, whereas the space grouping of the crystal remains unchanged.
  • Rui Yu, Cheng-Fa Jiang, Wei Chu, Mao-Fei Ran, Wen-Jing Sun
    中国化学快报. 2017, 28(02): 302-306. https://doi.org/10.1016/j.cclet.2016.07.014
    摘要 ( ) PDF全文 ( ) HTML 可视化 收藏
    The decoration of CNTs surface by magnetic nanoparticles was achieved by an ultrasonication-assisted hydrothermal method (UAHM). The effect of ultrasonication time on the crystal structure, magnetic performance, and chemical composition of the magnetic CNT composite material was determined. X-ray diffraction (XRD), Fourier transform infrared spectroscopy (FTIR), transmission electron microscopy (TEM), and vibrating sample magnetometry were used to characterize the physical, chemical, and magnetic properties of the composites. The composites synthesized via the UAHM exhibited superparamagnetic properties. The ultrasonication time was a critical factor that affected the structure and magnetic performance of the composites. By simply controlling the ultrasonication time, the crystal phase structure of Fe oxide could be selectively modulated and the magnetic performance of the MCs could be effectively tuned.
  • Ting-Ting Zhang, Jing-Yang Jiang, Yan-Hua Wang
    中国化学快报. 2017, 28(02): 307-311. https://doi.org/10.1016/j.cclet.2016.07.029
    摘要 ( ) PDF全文 ( ) HTML 可视化 收藏
    Various supported Pt-Pb bimetallic catalysts were prepared and applied for the catalytic conversion of nitrobenzene to p-aminophenol in the environmentally benign pressurized CO2/H2O system. Among the bimetallic catalysts prepared, Pt-Pb/SiO2 is the best and nitrobenzene could be converted to paminophenol with a selectivity as high as 82% when the reaction was carried out using this catalyst at 110℃ under 5 MPa CO2 and 0.2 MPa H2.
  • Savan M. Darjee, Keyur D. Bhatt, Urvi S. Panchal, Vinod K. Jain
    中国化学快报. 2017, 28(02): 312-318. https://doi.org/10.1016/j.cclet.2016.07.026
    摘要 ( ) PDF全文 ( ) HTML 可视化 收藏
    Water dispersible silver nanoparticles (AgNps) were prepared using thiacalix[4]arene tetrahydrazide (TCTH) as a reducing and stabilizing agent. TCTH-AgNps were characterized by surface plasmon resonance (SPR), transmission electron microscopy (TEM) and energy dispersive X-ray (EDX). Relatively uniform 20 nm spherical particles of TCTH-AgNps were efficiently formed over a pH range of 5-9 and from 10-40℃. The interaction behavior of TCTH-AgNps with different amino acids was investigated using spectrophotometry and spectrofluorimetry. Among the amino acids tested, only tryptophan and histidine showed fluorescence quenching and fluorescence enhancement, respectively. The linear detection range by Stern-Volmer plot was 5 nmol/L to 0.48 μmol/L for tryptophan and 4 nmol/L to 0.54 μmol/L for histidine. TCTH-AgNps were able to effectively reduce the levels of gram-positive bacteria, gram-negative bacteria, and fungi. These properties argue for the potential use of TCTH-AgNps as detectors of histidine and tryptophan and as antibiotics.
  • Yang Chang, Chen Shen, Pin-Yi Li, Lei Fang, Zai-Zai Tong, Min Min, Chun-Hua Xiong
    中国化学快报. 2017, 28(02): 319-323. https://doi.org/10.1016/j.cclet.2016.08.003
    摘要 ( ) PDF全文 ( ) HTML 可视化 收藏
    Polyacrylonitrile beads (PAN) cysteine (CS) was synthesized from polyacrylonitrile beads (PAN) and cysteine (CS). The content of the functional group and the percentage conversion of the functional group of PAN-CS prepared under the optimum condition using response surface methodology (RSM) for the first attempt were 3.22 mmol/g and 35.78%. The structure was characterized by FT-IR and elemental analysis. The adsorption properties of the resin for Cu(II) were investigated by batch and column experiments. Batch adsorption results suggested that PAN-CS had higher adsorption capability for Cu(II) than other metal ions and maximum saturated adsorption capacity was 184.7 mg/g. The resin and its metal complexes were studied by FT-IR. Furthermore, the resin can be eluted easily using 1 mol/L HCl. PAN-CS can provide a potential application for selective removal of copper from waste solution.
  • Wei Wei, Fang-Fang Jia, Ke-Feng Wang, Peng Qu
    中国化学快报. 2017, 28(02): 324-328. https://doi.org/10.1016/j.cclet.2016.09.003
    摘要 ( ) PDF全文 ( ) HTML 可视化 收藏
    In this work, via a facile solvothermal route, we synthesized an anode material for lithium ion batteries (LIBs)-SnS2 nanoparticle/graphene (SnS2 NP/GNs) nanocomposite. The nanocomposite consists of SnS2 nanoparticles with an average diameter of 4 nm and graphene nanosheets without restacking. The SnS2 nanoparticles are firmly anchored on the graphene nanosheets. As an anode material for LIBs, the nanocomposite exhibits good Li storage performance especially high rate performance. At the high current rate of 5,10, and 20 A/g, the nanocomposite delivered high capacities of 525, 443, and 378 mAh/g, respectively. The good conductivity of the graphene nanosheets and the small particle size of SnS2 contribute to the electrochemical performance of SnS2 NP/GNs.
  • Ping Wu, Hong Gao, Jing Sun, Chao-Guo Yan
    中国化学快报. 2017, 28(02): 329-332. https://doi.org/10.1016/j.cclet.2016.07.016
    摘要 ( ) PDF全文 ( ) HTML 可视化 收藏
    The BF3OEt2 catalyzed one-pot 1,3-dipolar cycloaddition reaction of benzylamines, isatins and dimethyl acetylenedicarboxylate in dry methylene dichloride afforded the functionalized dihydrospiro[indoline-3,2'-pyrroles] in moderate to good yields and with high diastereoselectivity. The reaction was accomplished by the tandem 1,3-dioplar cycloaddition of in situ generated azomethine ylide with acetylenedicarboxylate and the nucleophilic addition of pyrrole ring to second molecular acetylenedicarboxylate.
  • Shuai-Jie Chi, Liang Chen, Jian-Gang Liu, Xin-Hong Yu, Yan-Chun Han
    中国化学快报. 2017, 28(02): 333-337. https://doi.org/10.1016/j.cclet.2016.09.005
    摘要 ( ) PDF全文 ( ) HTML 可视化 收藏
    We chose a series of isoindigo-based conjugated polymer (IIDDT, IIDDT-C3 and IIDDT-C4) with different length of side chains and bifurcation positions to investigate the relationship between the degree of alignment and the length of side chains and bifurcation positions. We found that the dichroic ratio was increased from 2.37 to 5.23 when the side chain was longer and the bifurcation position was away from the backbone. The π-π stacking distance was decreased from 3.67 Å to 3.61 Å when the bifurcation position was away from the backbone because of its smaller hindrance and the d-spacing of the (100) was increased from 20.06 Å to 25.21 Å when the side chain was longer. All the polymers were adopted an edge-on orientation with the backbone paralleled with the long axis of fibers. The weak interaction of side-chain in IIDDT-C4 was beneficial for the molecules being rearranged in parallel during the contact line receding and the strong π-π interaction could accelerate the interchain assembly of the parallel molecules through π-π interaction to form aligned fibers.
  • Ya-Li Xu, Xiao-Ying Niu, Hong-Li Chen, Sheng-Guo Zhao, Xing-Guo Chen
    中国化学快报. 2017, 28(02): 338-344. https://doi.org/10.1016/j.cclet.2016.10.003
    摘要 ( ) PDF全文 ( ) HTML 可视化 收藏
    In this work, molybdenum disulfide quantum dots (MoS2 QDs) were firstly prepared by hydrothermal method using sodium molybdate and glutathione as precursors, and applied in ascorbic acid detection. When joining MnO2 nanosheets into MoS2 QDs solution, they produced an obvious fluorescence quenching, which should be due to inner filter effect (IFE). Meanwhile, the fluorescent probe was formed. Interestingly, we found that this quenching phenomenon disappeared with the addition of ascorbic acid. In other words, the fluorescence gradually restored. This recovery phenomenon is mainly due to the reduction effect of ascorbic acid for MnO2 nanosheets. Under the optimum conditions, the limit of detection (LOD) of 39 nmol/L for ascorbic acid was achieved with a linear range of 0.33-5.00 μmol/L. The repeatability was better than 5.0% for ascorbic acid in both standard and fruit samples (n=3). Moreover, the as-fabricated fluorescent sensing system was successfully employed to detect the ascorbic acid levels in hawthorn and jujube with satisfactory results.
  • Qing-Jiao Luo, Yong-Xin Li, Meng-Qian Zhang, Ping Qiu, Yong-Hui Deng
    中国化学快报. 2017, 28(02): 345-349. https://doi.org/10.1016/j.cclet.2016.10.024
    摘要 ( ) PDF全文 ( ) HTML 可视化 收藏
    A highly sensitive sensor for determination of carbamate pesticides based rhodamine B (RB) modified silver nanoparticle (RB-AgNPs) was developed. Compared with the classical method, it combined colorimetric with fluorescence for detecting carbamate pesticides in complex solutions. Carbamate pesticides can inhibit the activity of acetylcholinesterase (AChE), thus preventing the generation of thiocholine. On the other hand, thioncholine can transform the yellow RB-AgNPs solutions gray color and unquenches the fluorescence of RB simultaneously. Once the activity of AChE was inhibited by the pesticide, the color of the RB-AgNPs solution remains yellow and the fluorescence of RB molecules remains quenched. Under optimized experimental conditions, carbaryl was detected in a concentration range from 0.1 ng/L to 8.0 ng/L with a detection limit of 0.023 ng/L (it was detected by fluorescence spectra). This simple method is suitable for determination of carbamate pesticides in complex samples, such as tomato, apple and river water.
  • Xi-Yu Liu, Hai-Bo Zhu, Ya-Jing Shen, Jian Jiang, Tao Tu
    中国化学快报. 2017, 28(02): 350-353. https://doi.org/10.1016/j.cclet.2016.09.006
    摘要 ( ) PDF全文 ( ) HTML 可视化 收藏
    Pyridine-bridged bis-benzimidazolylidene nickel complexes exhibited very high catalytic activity toward cross coupling of inactive (hetero)aryl benzylic ammonium salts with (hetero)aryl and alkenyl boronic acids under mild reaction conditions. Even at 2 mol% catalyst loading, a wide range of substrates for both coupling partners with different steric and electronic properties were well tolerated.
  • Gui-Cheng Liu, Wen-Qiang Zhang, Xiu-Li Wang, Yu-Zhong Wang
    中国化学快报. 2017, 28(02): 354-357. https://doi.org/10.1016/j.cclet.2016.10.014
    摘要 ( ) PDF全文 ( ) HTML 可视化 收藏
    A cross-linkable comonomer containing a diacetylene group, named dimethyl 4,4'-(buta-1,3-diyne-1,4-diyl)dibenzoate (DA) was synthesized and copolymerized with dimethyl succinate and 1,4-butanediol to prepare a series of slightly cross-linked PBS copolyesters (PBDASx). The chemical structure, crystallization and rheological behaviours of PBDASx were well investigated. Compared to neat PBS, PBDASx showed the greatly increased crystallization rate because of the promoting nucleation of the cross-linking domains, and the XRD results indicated that it had no influence on crystallization structure of PBS. The rheological behaviours indicate that PBDASx possessed higher viscosity than neat PBS even at high shear rate and temperature. PBDAS0.3 exhibited better comprehensive properties than neat PBS, which will widen applications of PBS.
  • Da-Ke Zhao, Xing-Qiao Shi, Li-Mei Zhang, Dong-Qiong Yang, Hua-Chun Guo, Yan-Ping Chen, Yong Shen
    中国化学快报. 2017, 28(02): 358-361. https://doi.org/10.1016/j.cclet.2016.09.012
    摘要 ( ) PDF全文 ( ) HTML 可视化 收藏
    Four new diterpenoid alkaloids, nagaconitines A-D (1-4), were isolated from the roots of Aconitum nagarum var. heterotrichum. Their structures were elucidated as 8-(4'-hydroxylbutyryl) aconitine (1), 15-oxo-13-deoxyludaconitine (2), 15-hydroxyldelphisine (3), and 14-hydroxyl-2-acetoxyspiradine C (4) based on extensive UV, IR, MS, 1D NMR and 2D NMR analyses. Compounds 3-4 showed inhibition of cancer cell line SK-OV-3 with 31% (IC50 43.78 μmol/L) and 24% (IC50 32.14 μmol/L), respectively.
  • Liang Deng, Wen-Hui Yang, Xing Lyu, Shu-Feng Wei, Zheng Wang, Hui-Xian Wang
    中国化学快报. 2017, 28(02): 362-366. https://doi.org/10.1016/j.cclet.2016.10.009
    摘要 ( ) PDF全文 ( ) HTML 可视化 收藏
    In situ NMR measurements of the diffusion coefficients, including an estimate of signal strength, of lithium ion conductor using diffusion-weighting pulse sequence are performed in this study. A cascade bilinear model is proposed to estimate the diffusion sensitivity factors of pulsed-field gradient using prior information of the electrochemical performance and Arrhenius constraint. The model postulates that the active lithium nuclei participating electrochemical reaction are relevant to the NMR signal intensity, when discharge rate or temperature condition is varying. The electrochemical data and the NMR signal strength show a highly fit with the proposed model according our simulation and experiments. Furthermore, the diffusion time is constrained by temperature based on Arrhenius equation of reaction rates dependence. An experimental calculation of Li4Ti5O12 (LTO)/carbon nanotubes (CNTs) with the electrolyte evaluating at 20℃ is presented, which the b factor is estimated by the discharge rate.
  • Wei Deng, Hua-Chao Guo, Guo-An Li, Cheng-You Kan
    中国化学快报. 2017, 28(02): 367-371. https://doi.org/10.1016/j.cclet.2016.10.012
    摘要 ( ) PDF全文 ( ) HTML 可视化 收藏
    Hollow structure microspheres with composite polymeric-Laponite shells were prepared by electrostatic self-assembly of Laponite on the polymeric hollow microspheres in this work. The multilayer hydrophilic core/hydrophobic shell polymer latex particles containing carboxyl groups inside were first synthesized via seeded emulsion polymerization, followed by alkali treatment, generating polymeric hollow microspheres. Then, polyethyleneimine (PEI) and Laponite were alternately electrostatic adsorbed on the prepared polymeric hollow microspheres to form polymeric-Laponite composite hollow microspheres. It was indicated that the morphology of alkali-treated microspheres could be tuned through simply altering the dosage of alkali used in the post-treatment process. Along with the increasing of the coating layers, the zeta potential of microspheres absorbed PEI or Laponite approximately tended to be constant respectively, and the thickness of Laponite layer around the hollow microspheres increased clearly, getting more uniform and homogenous. Furthermore, the corresponding polymeric-Laponite hollow microspheres showed high pressure resistance ability compared to the polymeric hollow microspheres.
  • Jing-Peng Zhang, Yao-Guo Qin, Ya-Wen Dong, Dun-Lun Song, Hong-Xia Duan, Xin-Ling Yang
    中国化学快报. 2017, 28(02): 372-376. https://doi.org/10.1016/j.cclet.2016.10.030
    摘要 ( ) PDF全文 ( ) HTML 可视化 收藏
    In order to discover novel compounds with high-activity to control aphid, a series of novel ((E)-β-farnesene analogues containing 1,2,3-thiadiazole were designed and synthesized, and their structures were confirmed by IR, 1H NMR, 13C NMR, and HRMS (ESI). The stability of representative compounds was studied by HPLC and 1H NMR techniques. Repellent activity results indicated that compounds 8h and 8j displayed 60.3% and 62.0% repellent rates, respectively. The aphicidal bioassay results showed that most analogues exhibited considerable aphicidal activity against Myzus persicae. Especially, analogues 8l, 8s and 8t exhibited high activity with LC50 values of 33.4 μg/mL, 50.2 μg/mL and 61.8 μg/mL, respectively, which were higher than the lead compound (E)-β-farnesene, but lower than commercial insecticide pymetrozine with a LC50 of 7.1 μg/mL.
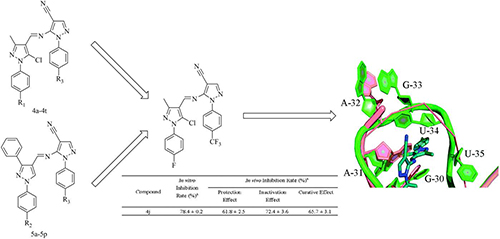
  • Xian-Hai Lv, Zi-Li Ren, Dong-Dong Li, Ban-Feng Ruan, Qing-Shan Li, Ming-Jie Chu, Cheng-Ying Ai, Dao-Hong Liu, Kai Mo, Hai-Qun Cao
    中国化学快报. 2017, 28(02): 377-382. https://doi.org/10.1016/j.cclet.2016.10.029
    摘要 ( ) PDF全文 ( ) HTML 可视化 收藏
    Many pyrazole derivatives were reported to exhibit highly activity towards tobacco mosaic virus (TMV). In this work, an optimized pyrazole Schiff base scaffold was designed and introduced to derive novel potential TMV inhibitors. Thirty-six compounds were synthesized, characterized by elemental analysis, mass spectra and nuclear magnetic resonance (NMR) spectroscopy and evaluated by biological experiments. The bioassay results showed that some of the synthesized compounds exhibited excellent anti-TMV activities. Especially, 5-chloro-3-methyl-1H-pyrazole contained compound 4j showed ningnanmycin comparable inhibitory activity and can be considered as potential anti-TMV candidate agent. With molecular docking, compound 4j insert into nucleotide sequence (GAAGUU) of OriRNA stably which revealed nucleotide could be a target of these compounds.
  • Jian-Min Wang, En-Fang He, Hai-Long Wang, Wen-Long Hou, Jing Xu, Lan Yu, Le-Le Zhao, Zhen-Lin Zhang, Hai-Quan Zhang
    中国化学快报. 2017, 28(02): 383-387. https://doi.org/10.1016/j.cclet.2016.10.011
    摘要 ( ) PDF全文 ( ) HTML 可视化 收藏
    The perylene diimide derivatives (s-THBPDI and d-THBPDI) bearing oxygen bridged twisty heptatomic biphenyl in the bay positions of the perylene core through acetylene bond were designed and synthesized. The photophysical properties of the functionalized dyes were investigated in solution and solid state by UV-vis and photoluminescence (PL) spectra. Their UV-vis and PL spectrum both exhibited the different concentration-dependent behaviors due to the difference of chemical structure. Moreover, cyclic voltammetry results indicated that the introduction of oxygen bridged twisted heptatomic biphenyl could decrease the LUMO energy level of the perylene diimide effectively and made it promising material in photoelectric devices.
  • Ashraf S. Hassan, Mohamed F. Mady, Hanem M. Awad, Taghrid S. Hafez
    中国化学快报. 2017, 28(02): 388-393. https://doi.org/10.1016/j.cclet.2016.10.022
    摘要 ( ) PDF全文 ( ) HTML 可视化 收藏
    New series of pyrazolo[1,5-a]pyrimidine derivatives 7a-i, 11a-c and Schiff bases 13a-c were synthesized and screened for their in vitro antitumor activity against three human carcinoma cell lines, namely colorectal carcinoma (HCT116), prostate adenocarcinoma (PC-3) and liver carcinoma (HepG-2) using MTT cytotoxicity assay at 100 μg/mL. Some of the tested compounds displayed good anticancer activities against HCT-116 and PC-3 cells. Whereas, compounds 7d and 11a showed better antitumor activity than the rest of the compounds against both cell lines. A structure-activity relationship (SAR) has been discussed and structures of the newly synthesized compounds were confirmed by different spectral data (MS, IR, 1H NMR and 13C NMR) and elemental analysis.
  • Xin-Rui Wang, Yong Li, Li-Ping Tang, Wen Gan, Wei Zhou, Yu-Fei Zhao, Dong-Sheng Bai
    中国化学快报. 2017, 28(02): 394-399. https://doi.org/10.1016/j.cclet.2016.09.002
    摘要 ( ) PDF全文 ( ) HTML 可视化 收藏
    ZnTi-layered double hydroxides (LDHs) with varying Zn/Ti ratio have been synthesized by coprecipitation of zinc and titanium salts from homogeneous solution. The obtained ZnTi-LDHs possess high crystallinity and hierarchical structure with improved UV-absorbance property. The UV-vis spectra show that the UV absorbing properties of ZnTi-LDHs is stronger and broader than both MgAl-LDH and ZnAl-LDH due to the existence of Ti. Moreover, the UV absorption property increased with the content of Ti, which can be ascribed to the decrease in the band gap energy, as clearly confirmed by density functional theory calculations. When irradiated by UV rays, the property of the samples with generated free radicals (OH· and O2·-) was evaluated by means of electron spin resonance (EPR). ZnTi-LDHs generated a relatively lower active radicals in contrast with TiO2 and ZnO, which implied an increased safety used as sunscreens. Therefore, this work provides a detailed understanding of UV shielding properties of ZnTiLDHs which was unrevealed previously, and demonstrates the expansive application prospects of ZnTiLDHs in the field of sunscreens.
  • Li-Zhuang Chen, Xing-Xing Cao
    中国化学快报. 2017, 28(02): 400-406. https://doi.org/10.1016/j.cclet.2016.10.037
    摘要 ( ) PDF全文 ( ) HTML 可视化 收藏
    Two novel phase transition materials,[C9H20N2] [Na(BF4)3] (1) and[C9H20N2] [(PF6)2] (2), were synthesized based on 1-isopropyl-1,4-diazabicyclo[2.2.2]octan-1-ium with sodium tetrafluoroborate and hexafluorophosphoric acid, respectively. Differential scanning calorimetry measurements detected that 1 and 2 underwent reversible phase transitions, which were confirmed by dielectric measurements. Single crystal X-ray diffraction data suggested that compound 1 changed from a high temperature phase with a space group of P63 to a low temperature one with a space group of P21/c, and that compound 2 transformed from the space group of Pbca at room temperature to P21/c at low temperature. Formation of hydrogen bonds and distortion of 1,4-diazabicyclo[2.2.2]octane rings may drive the transitions.
  • Rui-Guang Xing, Ya-Nan Li, Bang-Wen Zhang
    中国化学快报. 2017, 28(02): 407-411. https://doi.org/10.1016/j.cclet.2016.10.017
    摘要 ( ) PDF全文 ( ) HTML 可视化 收藏
    It is well-known that chemical functionalization of graphene has the great significance. We report the development of a new synthesis method of chloro-functionalized reduced graphene oxide (rGOCl). The rGOCl was prepared by radical reaction, and treatment of carboxyl graphene oxide (GOCOOH) with N-chlorosuccinimide (NCS) at 90℃ for 10 h under an atmosphere of nitrogen, using silver nitrate as catalyst. The morphologies and structures of the prepared materials were investigated by field-emission scanning electron microscopy (FESEM), X-ray diffraction (XRD), Fourier transform infrared spectroscopy (FTIR), Raman spectroscopy and the thermal gravimetric. Results indicated that the rGOCl can be readily obtained from graphene oxide (GO) in three steps.
  • Shuang-Ke Liu, Xiao-Bin Hong, Yu-Jie Li, Jing Xu, Chun-Man Zheng, Kai Xie
    中国化学快报. 2017, 28(02): 412-416. https://doi.org/10.1016/j.cclet.2016.10.038
    摘要 ( ) PDF全文 ( ) HTML 可视化 收藏
    A nanoporous N-doped reduced graphene oxide (p-N-rGO) was prepared through carbothermal reaction between graphene oxide and ammonium-containing oxometalates as sulfur host for Li-S batteries. The p-N-rGO sheets have abundant nanopores with diameters of 10-40 nm and the nitrogen content is 2.65 at%. When used as sulfur cathode, the obtained p-N-rGO/S composite has a high reversible capacity of 1110 mAh g-1 at 1C rate and stable cycling performance with 781.8 mAh g-1 retained after 110 cycles, much better than those of the rGO/S composite. The enhanced electrochemical performance is ascribed to the rational combination of nanopores and N-doping, which provide efficient contact and wetting with the electrolyte, accommodate volume expansion and immobilize polysulfides during cycling.
  • Bin Lang, Hong-Kun Yu
    中国化学快报. 2017, 28(02): 417-421. https://doi.org/10.1016/j.cclet.2016.10.019
    摘要 ( ) PDF全文 ( ) HTML 可视化 收藏
    Here, Ag2S nanoparticles on reduced graphene oxide (Ag2S NPs/RGO) nanocomposites with relatively good distribution are synthesized for the first time by conversing Ag NPs/RGO to Ag2S NPs/RGO via a facile hydrothermal sulfurization method. As an noval catalyst for the reduction of 4-nitrophenol (4-NP), it only takes 5 min for Ag2S NPs/RGO to reduce 98% of 4-NP, and the rate constant of the composites is almost 13 times higher than that of Ag NPs/RGO composites. The high catalytic activity of Ag2S NPs/RGO can be attributed to the following three reasons:(1) Like metal complex catalysts, the Ag2S NPs is also rich with metal center Ag(δ+), with pendant base S(δ-) close to it, and thus the Ag and basic S function as the electron-acceptor and proton-acceptor centers, respectively, which facilitates the catalyst reaction; (2) RGO features the high adsorption ability toward 4-NP which provides a high concentration of 4-NP near the Ag2S NPs; and (3) electron transfer from RGO to Ag2S NPs, facilitating the uptake of electrons by 4-NP molecules.
  • Wei-Huang Zhou, Xi-Guo Xu, Jin Li, Xiao Min, Jian-Zhong Yao, Guo-Qiang Dong, Chun-Lin Zhuang, Zhen-Yuan Miao, Wan-Nian Zhang
    中国化学快报. 2017, 28(02): 422-425. https://doi.org/10.1016/j.cclet.2016.09.001
    摘要 ( ) PDF全文 ( ) HTML 可视化 收藏
    In the past decade, the p53-MDM2 protein-protein interaction by small molecules has been confirmed as a successful strategy for cancer therapy. In our previous work, pyrrolo[3,4-c]pyrazol-6(1H)-ones were found to be potent p53-MDM2 inhibitors. Further optimization and structure-activity relationship studies were described in the present work. The result revealed that benzyl group on position N1 of imidazole and bromine on C4-phenyl of pyrrolidone showed higher inhibitory activities. In vitro antiproliferative assay demonstrated the potent p53-MDM2 inhibitor 5c with 4-fold selectivity for U2 OS and Saos-2 cells. These data indicated that 4,5-dihydropyrrolo[3,4-c]pyrazol-6(1H)-one moiety is a valuable scaffold for further development of p53-MDM2 inhibitors.
  • Ai-Nan Zhou, Bonan Li, Lejun Ruan, Yeting Wang, Gengli Duan, Jianqi Li
    中国化学快报. 2017, 28(02): 426-430. https://doi.org/10.1016/j.cclet.2016.09.007
    摘要 ( ) PDF全文 ( ) HTML 可视化 收藏
    An improved and practical synthesis of enzalutamide was accomplished in five steps. Starting from 4-bromo-2-fluoro-benzonic acid, a methyl esterification, Ullmann ligation, methyl esterification, ring closing reaction and final methyl amidation provided the target in 35% total yield with 99.8% purity. Five identified impurities were also synthesized. This efficient and economical procedure avoids the use of highly toxic reagents and multiple recrystallization operations, which is suitable for further industrialization.
  • Chang-Bo Yin, Ying Han, Gui-Fei Huo, Jing Sun, Chao-Guo Yan
    中国化学快报. 2017, 28(02): 431-436. https://doi.org/10.1016/j.cclet.2016.09.008
    摘要 ( ) PDF全文 ( ) HTML 可视化 收藏
    An efficient method for the synthesis of some difunctionalized copillar[5]arene Schiff bases from condensation of salicylaldehyde and its 5-chloro, 5-bromo, 3,5-di(t-butyl) substituted derivatives with corresponding diamino-functionalized copillar[5]arene, which were prepared by Gabriel reaction according to the reported method. Single-crystals of six copillar[5]arenes were determined by X-ray diffraction. An ORTEP of compounds showed that the two chains units of Schiff base exist in the outside of the cavity of pillar[5]arene. Furthermore, the complexing ability of these Schiff bases to transition metal ions were investigated by UV and fluorescence spectroscopy.
  • Santhosh Govindaraju, Sumaiya Tabassum, Riyaz-ur-Rahaman Khan, Mohamed Afzal Pasha
    中国化学快报. 2017, 28(02): 437-441. https://doi.org/10.1016/j.cclet.2016.09.013
    摘要 ( ) PDF全文 ( ) HTML 可视化 收藏
    Meglumine efficiently catalyzes the one-pot, five-component reaction of hydrazine, ethyl acetoacetate, aryl aldehydes, substituted phenylacetonitriles and ammonium acetate in ethanol at room temperature to afford novel 4,7-dihydro-1H-pyrazolo[3,4-b]pyridin-6-amine derivatives. The present approach offers several advantages such as shorter reaction durations, low cost, excellent yields, milder reaction conditions, simple workup procedure and is environment friendly. All the synthesized derivatives are characterized by IR, 1H NMR, 13C NMR, HRMS and CHN analysis.
  • Wen-Jie Qi, Ying Han, Chang-Zhou Liu, Chao-Guo Yan
    中国化学快报. 2017, 28(02): 442-445. https://doi.org/10.1016/j.cclet.2016.09.014
    摘要 ( ) PDF全文 ( ) HTML 可视化 收藏
    The three-component reaction of triphenylphosphine, dialkyl but-2-ynedioate and arylidene pivaloylacetonitrile in dry methylene dichloride at room temperature resulted in unexpected densely substituted 1-(triphenyl-λ5-phosphanylidene)ethyl)-2,3-dihydrofurans in satisfactory yields with high diastereoselectivity. The relative configuration of the 2,3-dihydrofurans was elucidated by determination of single crystal structures.
  • Afshin Yazdani-Elah-Abadi, Malek-Taher Maghsoodlou, Razieh Mohebat, Reza Heydari
    中国化学快报. 2017, 28(02): 446-452. https://doi.org/10.1016/j.cclet.2016.09.016
    摘要 ( ) PDF全文 ( ) HTML 可视化 收藏
    A green, convenient, high yielding and one-pot procedure for the synthesis of novel spiro[benzo[a]pyrano[2,3-c]phenazine] derivatives by domino multi-component condensation reaction between 2-hydroxynaphthalene-1,4-dione, benzene-1,2-diamines, ninhydrine, and malononitrile in the presence of a catalytic amount of 1,3-dimethyl-7H-purine-2,6-dione (theophylline) as an expedient, eco-friendly and reusable solid base catalyst under thermal, microwave irradiation and solvent-free conditions. This procedure has also been applied successfully for the synthesis of benzo[a]pyrano[2,3-c]phenazines.
  • Guang Huang, Qing-Qing Meng, Wen Zhou, Qi-Jing Zhang, Jin-Yun Dong, Shao-Shun Li
    中国化学快报. 2017, 28(02): 453-457. https://doi.org/10.1016/j.cclet.2016.09.015
    摘要 ( ) PDF全文 ( ) HTML 可视化 收藏
    DMAKO-05, a novel dimethylation of alkannin oxime derivative, exhibits remarkable anticancer activity as well as excellent cellular selectivity and thus has been considered as a promising antineoplastic agent for colorectal carcinoma and melanoma. However, its potent cytotoxicity is not closely associated with reactive oxygen species (ROS) and bioreductive alkylation. Its specific antitumor target(s) has still remained elusive. To recognize the molecular target(s) of DMAKO-05 and its analogs, four biotinylated DMAKO derivatives were designed and prepared. The biotin moiety was successfully introduced in the molecule through a modified Mitsunobu reaction, which kept its anticancer activity. Moreover, the cellbased investigation demonstrated that replacement of the linker C4 chain with another alkyl chain (C6 or C8) gave rise to the enhancement of cytotoxicity. Among these biotinyl derivatives, both compound 16 and 8c exhibited more potent anticancer activity than DMAKO-05 against MCF-7 cells and were comparatively effective to alkannin toward HCT-15 cells. As expected, they might be thought as ideal chemical probes. Collectively, our present work could provide an available approach for the identification of the potential antineoplastic target(s) of DMAKO derivatives.
  • Jia-Ming Liu, Xing-Yu Liu, Xu-Shun Qing, Ting Wang, Cun-De Wang
    中国化学快报. 2017, 28(02): 458-462. https://doi.org/10.1016/j.cclet.2016.09.017
    摘要 ( ) PDF全文 ( ) HTML 可视化 收藏
    An efficient and straightforward synthetic method has been developed for the preparation of 4-cyanofuran-3-carboxylate derivatives via iodine/potassium carbonate-promoted ring-opening/cyclization/rearrangement domino reaction of 1-cyanocyclopropane-1-carboxylates, which are a wide range of structurally interesting and pharmacologically significant compounds.
  • Tian-Tian Li, Lan-Lan Wen, Hai-Long Ji, Feng-Yu Liu, Shi-Guo Sun
    中国化学快报. 2017, 28(02): 463-466. https://doi.org/10.1016/j.cclet.2016.10.004
    摘要 ( ) PDF全文 ( ) HTML 可视化 收藏
    CB[n](n=6-8) is a family of synthetic macrocyclic host molecules composed of n glycoluril units, which can be employed as molecular reactor. N-phenyloxypropyl-N'-ethyl-4,4'-bipyridium (1) was designed to form a host-guest inclusion complex with CB[n](n=6-8), subsequently, the bromination reaction of 1 and its corresponding inclusion complexes was investigated in this work. In the case of 1/CB[8], the folded including mode is quite helpful to acquire 1-bormination product completely through intramolecular charge transfer (ICT), and CB[8] can provide a safe bromination environment for 1.
  • Nan Yan, Zhi-Wei Lei, Jia-Kun Su, Wei-Lin Liao, Xiang-Guo Hu
    中国化学快报. 2017, 28(02): 467-470. https://doi.org/10.1016/j.cclet.2016.10.006
    摘要 ( ) PDF全文 ( ) HTML 可视化 收藏
    A stable and commercially available reagent mixture, composed of tetrabutylammonium bifluoride/potassium bifluoride (TBAF/KHF2), was found to be effective for the nucleophilic ring opening reactions of sugar-derived epoxides with fluoride. Different sugar-derived epoxide precursors, including 1-thioglycosides can be ring-opened to afford fluorinated carbohydrate products in high yields and in short reaction times.
  • Hong-Tao Jiang, Hao-Ling Gao, Cheng-Sheng Ge
    中国化学快报. 2017, 28(02): 471-475. https://doi.org/10.1016/j.cclet.2016.10.005
    摘要 ( ) PDF全文 ( ) HTML 可视化 收藏
    Valuable chiral N-Boc-β-benzyl-β-amino acid was concisely synthesized via construction of chiral N-Boc-3-benzyl-5-oxoisoxazolidine through cross-metathesis/conjugate addition/oxidation. All of the starting materials for the synthesis of chiral N-Boc-β-benzyl-β-amino acid are cheap, and two-step short procedure make it easy for the rapid construction of various chiral β-arylmethyl-β-amino acids and important drugs, such as sitagliptin phosphate.
  • Zeng-Yong Wang, Qian Wang, Yan-Qi Han, Min Jiang, Jie Gao, Yan Miao, Gang Bai
    中国化学快报. 2017, 28(02): 476-481. https://doi.org/10.1016/j.cclet.2016.11.021
    摘要 ( ) PDF全文 ( ) HTML 可视化 收藏
    In this study, the protective effects of Cimicifugae Rhizoma (CR) was demonstrated in Pseudomonas aeruginosa-induced pneumonia mouse model. To identify the anti-inflammatory ingredients, an ultraperformance liquid chromatography quadrupole time-of-flight mass spectrometry (UPLC/Q-TOF-MS) integrated nuclear factor кB (NF-кB) luciferase reporter assay screening system was carried out. As a result, some caffeic acid derivatives, including caffeic acid, ferulic acid/isoferulic acid, fukinolic acid, and cimicifugic acid ingredients were identified as the potential effective compounds from CR. For testing the anti-inflammatory capacity, caffeic acid was demonstrated to inhibit NF-кB and reduce the levels of IL-6 and IL-8 in TNF-α-treated BEAS-2B cells in a dose-dependent manner. Hence, CR preparations and its cinnamic acid derivatives have the possibility to be developed as a complementary therapy in the treatment of respiratory system infection in clinics.
  • Jing-Hui Lyu, Hua-Lei Hu, Jia-Yao Rui, Qun-Feng Zhang, Jie Cen, Wen-Wen Han, Qing-Tao Wang, Xiao-Kun Chen, Zhi-Yan Pan, Xiao-Nian Li
    中国化学快报. 2017, 28(02): 482-486. https://doi.org/10.1016/j.cclet.2016.10.025
    摘要 ( ) PDF全文 ( ) HTML 可视化 收藏
    Nitrided hierarchical porous ZSM-5 was synthesized by nitridation of hierarchical porous ZSM-5 with flowing ammonia at elevated temperature. The samples were characterized by XRD, SEM, Nitrogen sorption isotherms, NH3-TPD and Py-IR, and evaluated in alkylation of benzene and methanol. The result indicated that the high specific surface area of parent ZSM-5 was maintained, while the Brönsted acidity was effectively adjusted by nitridation. Moreover, the high suppression of ethylbenzene was observed on nitrided catalyst and this could be attributed to the decrease of Brönsted acidity which suppressed the methanol to olefins reactions.
  • Xue-Ying Wu, Yao-Ling Wang, Li Hai, Ping Gong, Yong Wu
    中国化学快报. 2017, 28(02): 487-492. https://doi.org/10.1016/j.cclet.2016.10.026
    摘要 ( ) PDF全文 ( ) HTML 可视化 收藏
    Rocuronium bromide has been used as an aminosteroid non-depolarizing neuromuscular blocker and muscle relaxant. In this work, a new and efficient route for preparing a key intermediate 2β-(4-morpholinyl)-16β-(1-pyrrolidinyl)-5α-androstan-3α,17β-diol (6) was developed through a ring-opening of epoxide followed by introducing and pyrrolidine. Compound 6 can easily provide rocuronium bromide and the overall yield of compound 6 in 5 steps increased to 57.8%, which was higher than currently reported methods. Extraordinarily, this method would avoid the generation of disubstituted impurities E and F which are difficult to remove.