本期目录

2017年, 第28卷, 第01期 刊出日期:2017-01-22
  

  • 全选
    |
    论著
  • Li-Ying Cui, Yu Yan, Xin-Yu Zhao, Cun-Long Yu, Ying Ma, Bai Yang
    中国化学快报. 2017, 28(01): 1-5. https://doi.org/10.1016/j.cclet.2016.07.028
    摘要 ( ) PDF全文 ( ) HTML 可视化 收藏
    A simple and novel method is firstly reported for controlling coffee ring structure on polystyrene (PS) film surface by O2 plasma. O2 plasma treatment leads to the wettability change of PS surface from hydrophobic to hydrophilic. For hydrophilic PS surface the coffee ring structure is avoided relying on the motion of contact line (CL) while SiO2 microspheres are left. The motion of the CL is produced based on the viscosity and Marangoni effect with the addition of polymer additives. For hydrophobic PS surface coffee ring structure still persists even with polymer additives because SiO2 microspheres transfer with the motion of the CL at the beginning of droplet evaporation and accumulate at the droplet edge at late stage with the pinning of the CL. As a result, uniform and macroscale SiO2 microspheres deposition without coffee ring structure and SiO2 microspheres deposition with coffee ring structure are controlled by O2 plasma. This method provides a new way to tune coffee ring structure with smart surface and may be potentially useful for a range of application at material deposition and diagnosing diseases.
  • Ji-Yuan Yao, Hong-Hao Hou, Xiao-Dong Ma, Hong-Jie Xu, Zi-Xing Shi, Jie Yin, Xue-Song Jiang
    中国化学快报. 2017, 28(01): 6-12. https://doi.org/10.1016/j.cclet.2016.06.008
    摘要 ( ) PDF全文 ( ) HTML 可视化 收藏
    We synthesized four diphenylquinoxaline derivatives (SQs) with phenyl-thioether units, which combine photo-cleavable and hydrogen-abstracting groups in one molecule. The photochemistry and photopolymerization of SQs were investigated. SQs possess suitable UV vis absorption in the range of 350 400 nm with high extinction coefficients. UV vis and HPLC-MS spectra revealed that C-S bond in phenyl-thioether group of SQs can be broken by irradiation of UV-light. Photolysis and photopolymerization experiments showed that SQs can be used as photo-cleavable photointiators, their photoinitiating efficiency can be enhanced by hydrogen donor. As photo-cleavable photoinitiators, SQs could initiate hexamethylene diacrylate (HDDA) very efficiently with the double bond conversion (DBC) of 80%. In the presence of ethyl-4-(dimethylamino) benzoate (EDB) as coinitiator, photoinitiator systems initiated photopolymerization of commercial acrylate monomers with higher double bond conversion than 90%. These characteristics make SQs potential photoinitiators in photo-curing field.
  • Zhi-Kai Yu, Wei-Fei Fu, Wen-Qing Liu, Zhong-Qiang Zhang, Yu-Jing Liu, Jie-Lin Yan, Tao Ye, Wei-Tao Yang, Han-Ying Li, Hong-Zheng Chen
    中国化学快报. 2017, 28(01): 13-18. https://doi.org/10.1016/j.cclet.2016.06.021
    摘要 ( ) PDF全文 ( ) HTML 可视化 收藏
    A solution-processed CuOx film has been successfully integrated as the hole-transporting layer (HTL) for inverted planar heterojunction perovskite solar cells (PVSCs). The CuOx layer is fabricated by simply spin-coating a copper acetylacetonate (Cu(acac)2) chloroform solution onto ITO glass with high transparency in the visible range. The compact and pinhole-free perovskite film with large grain domains is grown on the CuOx film. The inverted PVSCs with the structure of ITO/CuOx/MAPbI3/PC61BM/ZnO/Al are fabricated and show a best PCE of 17.43% under standard AM 1.5G simulated solar irradiation with a VOC of 1.03 V, a JSC of 22.42 mA cm-2, and a fill factor of 0.76, which is significantly higher and more stable than that fabricated from the often used hole-transporting material PEDOT:PSS (11.98%) under the same experimental conditions. The enhanced performance is attributed to the efficient hole extraction through the CuOx layer as well as the high-quality CH3NH3PbI3 films grown on the CuOx. Our results indicate that low-cost and solution-processed CuOx film is a promising HTL for high performance PVSCs with better stability.
  • Chuan-Dong Deng, Yu-Jia Qiao, Qing-De Chen, Xing-Hai Shen
    中国化学快报. 2017, 28(01): 19-23. https://doi.org/10.1016/j.cclet.2016.06.020
    摘要 ( ) PDF全文 ( ) HTML 可视化 收藏
    Two single crystals[Ln(TBPO)4(NO3)2]NTf2 (Ln=Eu, Gd) were prepared and characterized by element analysis, single crystal X-ray diffraction, PXRD, FT-IR, TGA and fluorescence spectroscopy. The two compounds have similar coordinate structures, in which the central metal ion is coordinated by four TBPO (Tri-n-butylphosphine oxide) molecules and two bidentate nitrates, while NTf2-(bis(trifluor-(bis(trifluoromethylsulfonyl) imide anion) acts as the counter anion. The packing modes of the two crystals are same. The two single crystals are the focus on 8-coordinate tetra-TRPO complexes (TRPO is Trialkyphosphine oxides).
  • Xin-Li Leng, Li-Li Song, Yan Lu, Xiao-Qing Liu, Li Wang
    中国化学快报. 2017, 28(01): 24-28. https://doi.org/10.1016/j.cclet.2016.06.036
    摘要 ( ) PDF全文 ( ) HTML 可视化 收藏
    The carbon-carbon couplings of 4,4"-dibromo-p-terphenyl (DBTP) on Cu(110) surface have been investigated at a single molecular level by scanning tunneling microscopy. After annealing at 353 K, a mixture of parallel non-organometallic and organometallic intermediates of DBTP molecules along the[1-10] direction of the surface has been observed. Further annealing at 393 K causes one group of molecules to form oligomers with para-para and para-meta motifs via Ullmann reaction and the other group of molecules to synthesize oligomers with meta-meta motifs via direct carbon-carbon coupling reaction. Statistical results directly reveal that the occurrence of reaction type is strongly related to the initial binding configuration of DBTP molecules.
  • Lu Cheng, Yu Cao, Rui Ge, Ying-Qiang Wei, Na-Na Wang, Jian-Pu Wang, Wei Huang
    中国化学快报. 2017, 28(01): 29-31. https://doi.org/10.1016/j.cclet.2016.07.001
    摘要 ( ) PDF全文 ( ) HTML 可视化 收藏
    A mixed organic (4-phenylbutylamine, 4-PBA) and inorganic (cesium, Cs) cations are used to deposit quasi-two-dimensional layered perovskites. This layered perovskites exhibit good film coverage as twodimensional perovskites and high emission performance close to three-dimensional organic-inorganic hybrid perovskites. Light-emitting diodes (LEDs) are fabricated by using solution process based on the quasi-two-dimensional layered perovskites. The perovskite LEDs exhibit a sky-blue emission with electroluminescence peak at 491 nm and a low turn on voltage at 2.9 V. The maximum external quantum efficiency reaches 0.015% at brightness of 186 cd/m2.
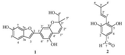
  • Yan Zhang, Yun-Bao Liu, Yong Li, Shuang-Gang Ma, Li Li, Jing Qu, Dan Zhang, Jian-Dong Jiang, Shi-Shan Yu
    中国化学快报. 2017, 28(01): 32-36. https://doi.org/10.1016/j.cclet.2016.05.012
    摘要 ( ) PDF全文 ( ) HTML 可视化 收藏
    Three new phenolics (1-3) and twenty-eight known compounds (4-31) were isolated from an ethanolic extract of roots of Alangium chinense. Compound 11 exhibited antiviral activity against Coxsackie virus B3 with IC50 values of 16.89 μmol/L. Compounds 1, 10-17, 19-21, and 23 showed strong antioxidant activity against Fe2+-cysteine-induced rat liver microsomal lipid peroxidation, with IC50 values of 0.14-8.18 μmol/L.
  • Xiao-Ling Wang, Xia-Xia Di, Tao Shen, Shu-Qi Wang, Xiao-Ning Wang
    中国化学快报. 2017, 28(01): 37-40. https://doi.org/10.1016/j.cclet.2016.06.024
    摘要 ( ) PDF全文 ( ) HTML 可视化 收藏
    One new 2-arylbenzofuran derivative, artocarstilbene B (1), one new benzaldehyde derivative, (E)-3,5-dihydroxy-4-(3-methylbut-1-enyl) benzaldehyde (2), as well as 18 known compounds (3-20) were obtained from the leaves of Artocarpus heterophyllus. Their structures were elucidated on the basis of extensive spectroscopic techniques including 2D NMR and HR-ESIMS. Many compounds exhibited moderate to weak inhibitory activity against the proliferation of the PC-3, NCI-H460, and A549 cancer cell lines.
  • Li-Qing Xie, Yan-Hui Zhang, Fei Gao, Quan-An Wu, Piao-Yang Xu, Shan-Shan Wang, Ning-Ning Gao, Qing-Xiang Wang
    中国化学快报. 2017, 28(01): 41-48. https://doi.org/10.1016/j.cclet.2016.05.015
    摘要 ( ) PDF全文 ( ) HTML 可视化 收藏
    A nanocomposite of polyaniline/reduced graphene oxide (PANI-rGO) was synthesized using a hydrothermal method. The product was characterized by FT-IR, Raman spectra, XRD, SEM and TEM. Then the hybrid material of PANI-rGO and Nafion (PANI-rGO-NF) was prepared and used to modify glassy carbon electrode for the trace determination of dopamine (DA) employing differential pulse voltammetry (DPV). It was found that the hybrid material showed good catalytic activity toward the oxidation of DA, and no response to ascorbic acid (AA) and uric acid (UA) was observed, suggesting a high selectivity of the sensor toward DA. The peak currents were linearly correlated with the concentration of DA in the range from 0.05 μmol/L to 60.0 μmol/L (R=0.996) and 60.0 μmol/L to 180.0 μmol/L (R=0.996) with a detection limit of 0.024 μmol/L (S/N=3). The modified electrode also exhibited excellent repeatability and stability.
  • Qi-Feng Li, Chao Wang, Xiao-Zheng Lan
    中国化学快报. 2017, 28(01): 49-54. https://doi.org/10.1016/j.cclet.2016.05.024
    摘要 ( ) PDF全文 ( ) HTML 可视化 收藏
    Latent heat storage performance of a layered perovskite-type compound, 1-C14H29NH3)2ZnCl4 (C14Zn), embedded in a series of silica gel (SG) with pore sizes of d=15-200 nm is investigated using differential scanning calorimetry (DSC), and powder X-ray diffractions (XRD). C14Zn in the nanopores of silica gel shows size-dependent phase transition temperature, enthalpy change and supercooling. They have a stable transition temperature and heat capacity at each size in a short-term thermal cycling. Similar Xray diffraction patterns are observed for the nano-sized and the bulk C14Zn. The encapsulation of a phase change material in nanopores is a new way of tuning its thermal energy storage properties for a wider range of temperature regulation.
  • Yue-Ling Xu, Qiang Gao, Meng Zhao, Huan-Jun Zhang, Ying-Hui Zhang, Ze Chang
    中国化学快报. 2017, 28(01): 55-59. https://doi.org/10.1016/j.cclet.2016.06.006
    摘要 ( ) PDF全文 ( ) HTML 可视化 收藏
    A new metal-organic framework {[Zn2(bpta)(bpy-ee)(H2O)2]·x solve}n (1) (H4bpta=biphenyl-2,2',6,6'-tetracarboxylic acid and bpy-ee=1,2-bis(4-pyridyl) ethylene) has been obtained under hydrothermal condition, and structurally characterized by single-crystal X-ray diffraction. Complex 1 reveals a threedimensional (3D) "pillar-layered" framework with non-flexible linker, in which some different structure characters can be found compared to that of some related other "pillar-layered" MOFs based on flexible pillar linkers. It demonstrates the impact of the flexibility of pillar linker on the final structure in this system. In addition, the selective CO2 adsorption performance of 1 was also investigated.
  • Ying-Xia Wang, Chuan-Fei Liu, Man-Li Yang, Xi-Hui Zhao, Zhi-Xin Xue, Yan-Zhi Xia
    中国化学快报. 2017, 28(01): 60-64. https://doi.org/10.1016/j.cclet.2016.05.025
    摘要 ( ) PDF全文 ( ) HTML 可视化 收藏
    Concave nanostructures may be developed to improve the specific mass activity of a catalyst for formic acid and methanol electro-oxidation. In this work, we report the elctrocatalytic oxidation of methanol and formic acid in acid medium over concave Pt-Cu-Fe ternary nanocubes (NCs), obtained by the galvanic exchange of Pt and Fe on Cu NCs. The concave Pt-Cu-Fe NCs exhibited improved electrooxidation performance contrasted to Pt-Cu NCs and purchased commercial Pt/C as demonstrated by their improved durability, lower onset potential, and more preferable anti-poisoning properties. These properties are believed to originate from the tailored concave structure of the catalyst and possible synergetic effects among the components of the Pt-Cu-Fe NCs.
  • Shu-Yang Zhao, Sheng-Ping Wang, Yu-Jun Zhao, Xin-Bin Ma
    中国化学快报. 2017, 28(01): 65-69. https://doi.org/10.1016/j.cclet.2016.06.003
    摘要 ( ) PDF全文 ( ) HTML 可视化 收藏
    The mechanism of dimethyl carbonate (DMC) formation from CO2 and methanol is investigated using three well-shaped CeO2 catalysts, nanorod, nanocube and octahedron, which are packed with different crystal planes. In situ Fourier Transform Infrared Spectroscopy (FTIR) is employed to probe each reaction step in the DMC synthesis. The number of -OH groups and the species of CO2 adsorptions on ceria surface have significant influence on the activity of ceria with different morphologies. Rod-ceria has favorable catalytic activity because of the large amount of -OH groups and the formation of bidentate carbonate species.
  • Ke Shi, Shou-Ying Huang, Zhong-Yao Zhang, Sheng-Ping Wang, Xin-Bin Ma
    中国化学快报. 2017, 28(01): 70-74. https://doi.org/10.1016/j.cclet.2016.06.005
    摘要 ( ) PDF全文 ( ) HTML 可视化 收藏
    Copper oxides (CuOx) nanoparticles dispersed on activated carbon (AC) were prepared by using vaporphase methanol as the reducing agent. The CuOx/AC as prepared exhibited an enhanced catalytic activity in oxidative carbonylation of methanol to dimethyl carbonate (DMC). The catalytic performance was significantly influenced by reduction conditions including temperature and time. With the similar selectivity of DMC, the space time yield (STY) under optimal reduction conditions reached up to 408 mg g-1 h-1, which is superior to conventional methods such as thermolysis and solvothermal reduction. Based on the characterization results of XRD, TEM and XPS, the good copper dispersion and high Cu+ content obtained by vapor-phase methanol reduction were mainly responsible for the high catalytic activity.
  • Zahra Abbasi, Sobhan Rezayati, Maryam Bagheri, Rahimeh Hajinasiri
    中国化学快报. 2017, 28(01): 75-82. https://doi.org/10.1016/j.cclet.2016.06.022
    摘要 ( ) PDF全文 ( ) HTML 可视化 收藏
    In this protocol, Ag supported on the hydroxyapatite-core-shell magnetic γ-Fe2O3 nanoparticles (γ-Fe2O3@HAp-Ag NPs) as a novel, efficient, and magnetically recyclable catalyst is synthesized, and characterized by transmission electron microscopy (TEM), scanning electron microscopy (SEM), Fourier transform infrared spectroscopy (FT-IR), X-ray diffraction (XRD), and vibrating sample magnetometry (VSM). The use of the catalyst is described in the synthesis of coumarin derivatives by the Pechmann condensation of various phenols with β-ketoesters under solvent-and halogen-free conditions at 80℃. This novel and inexpensive method offers advantages, such as recyclability simple experimental protocol, short reaction time, minimal work-up procedure, and excellent yields of products, together with desirable, eco-friendly, green aspects by avoiding toxic elements and solvents, and ease of recovery from the reaction mixture using an external magnet.
  • Ying Jia, Ying Shi, Peng Wang, Jian-Ping Zhang
    中国化学快报. 2017, 28(01): 83-88. https://doi.org/10.1016/j.cclet.2016.05.032
    摘要 ( ) PDF全文 ( ) HTML 可视化 收藏
    Upon anthracene-sensitizing, triplet excitation dynamics of β-carotene (β-Car) were studied in n-hexane, in methanol, and in acetonitrile, respectively, by ns flash photolysis spectroscopy. In n-hexane, only the bleaching of the ground state absorption (GSB) and the excitation triplet (3Car*) absorption were observed, and there were no cationic species detected. In both methanol and acetonitrile, similar excitation dynamics were observed, i.e., 3Car* having a similar lifetime to that in n-hexane, and the immediate generation of the cation dehydrodimer (#[Car]2+) upon excitation following transformation into the radical cation Car·+, since Car·+ has much longer lifetime in acetonitrile than in methanol. The results prove that both solvent and carotenoid structure determine the triplet excitation mechanism. 2016 Chinese Chemical Society and Institute of Materia Medica, Chinese Academy of Medical Sciences.
  • Alexander Yu. Tolbin, Larisa G. Tomilova
    中国化学快报. 2017, 28(01): 89-91. https://doi.org/10.1016/j.cclet.2016.06.038
    摘要 ( ) PDF全文 ( ) HTML 可视化 收藏
    Nanoaggregation of the thermally stable bis(2-hydroxy-9(10),16(17),23(24)-tri-tert-butylphthalocyanine) of J-type was observed by the field emission scanning electron microscopy (FE-SEM). Ordered phases, represented as threads composed of about 200 nm diameter circles were discovered, unlike the parent dimeric magnesium complex, in which similar circles combine together to give visually distinguishable zones with widths of about 600 nm and the same distance between them.
  • Yan Wang, Hao Zhou, Ke Xu, Mei-Hua Shen, Hua-Dong Xu
    中国化学快报. 2017, 28(01): 92-96. https://doi.org/10.1016/j.cclet.2016.05.011
    摘要 ( ) PDF全文 ( ) HTML 可视化 收藏
    A convenient rhodium catalyzed oxidative arene homologation of aniline derivatives with symmetrical or unsymmetrical alkynes using Cu(OAc)2 as oxidant is described. Urea group is shown to be effective as a directing group for initial ortho C-H activation. Two migratory insertion events of alkyne into Rh-C bond occur successively, both with complete regioselectivity. This method is particularly useful for synthesis of polyarenes with different substituents, which has not been reported with conventional protocol. A mechanism has been proposed to explain the observed data.
  • Meng Tao, Fang Wu, Teng Li, Yan-Yun Li, Jing-Xing Gao
    中国化学快报. 2017, 28(01): 97-100. https://doi.org/10.1016/j.cclet.2016.05.028
    摘要 ( ) PDF全文 ( ) HTML 可视化 收藏
    Novel chiral multidentate P3N4-type ligand has been synthesized and characterized by NMR and HRMS. Using i-PrOH as solvent and hydrogen source, asymmetric transfer hydrogenation of various ketones was investigated. The catalyst generated in situ from chiral multidentate aminophosphine ligand (R,R,R,R)-3 and IrCl(CO)(PPh3)2 exhibited highly catalytic activity and excellent enantioselectivity under mild conditions, achieving the corresponding chiral alcohols with up to 99% yield and 99% ee.
  • Shi-Guo Zhang, Zong-Bo Xie, Lian-Sheng Liu, Meng Liang, Zhang-Gao Le
    中国化学快报. 2017, 28(01): 101-104. https://doi.org/10.1016/j.cclet.2016.06.001
    摘要 ( ) PDF全文 ( ) HTML 可视化 收藏
    We discovered that α-chymotrypsin has a promiscuous ability to catalyze the cyclocondensation of aromatic and aliphatic aldehydes with 2-aminobenzamides to afford the corresponding 2,3-dihydroquinazolin-4(1H)-ones successfully in high yields (90%-98%) under alcohol solvent. The catalytic activity of α-chymotrypsin was evaluated through investigating the temperature, the enzyme loading and the ratio of substrates in the enzyme-catalyzed reactions. The present method proves to be efficient and environmentally friendly in terms of short reaction time, high yield, green catalyst and the clean products obtained without further purification processes.
  • Hong-Ying Niu, Ling-Yun Su, Shi-Xia Bai, Jian-Ping Li, Xi-Lan Feng, Hai-Ming Guo
    中国化学快报. 2017, 28(01): 105-108. https://doi.org/10.1016/j.cclet.2016.06.009
    摘要 ( ) PDF全文 ( ) HTML 可视化 收藏
    C8-Alkyl-substituted purine analogues were synthesized through direct alkylation of 8-H purine with tetrahydrofuran in the presence of Co catalyst in one step. The reactions gave a series of novel C8-oxygen heterocyclic alkyl purine compounds in good yields under mild reaction conditions by the readily available alkylating reagents, providing a complementary route to the classical coupling reactions for the synthesis of C8-alkyl-substituted purine analogues.
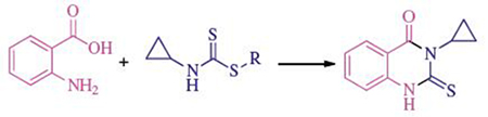
  • Najmedin Azizi, Mahtab Edrisi
    中国化学快报. 2017, 28(01): 109-112. https://doi.org/10.1016/j.cclet.2016.06.012
    摘要 ( ) PDF全文 ( ) HTML 可视化 收藏
    A practical and straightforward protocol has been developed for the preparation of 2-thioxo-2,3-dihydroquinazolin-4(1H)-one derivatives from dithiocarbamate chemistry. The method involves the reaction of anthranilic acid derivatives (2-aminobenzoic acid, 2-aminobenzamide and isatoic anhydride) with various dithiocarbamate derivatives using ethanol as solvent. The main advantages of this protocol include practical simplicity, good to high yields, and ease of product isolation, purification and cheapness of the solvent.
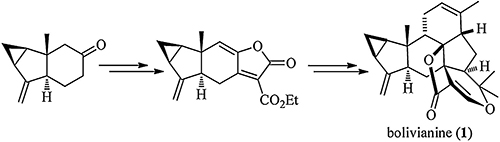
  • Jin-Peng Li, Chang-Chun Yuan, Biao Du, Bo Liu
    中国化学快报. 2017, 28(01): 113-116. https://doi.org/10.1016/j.cclet.2016.06.013
    摘要 ( ) PDF全文 ( ) HTML 可视化 收藏
    An alternative total synthesis of bolivianine in twelve steps is herein reported on the basis of our previous successful bioinspired total synthesis. The present total synthesis features straightforward transformation from an aldol product to the butenolide of the target molecule, and stereoselective DielsAlder cycloaddition to construct ring E, as well as the final spontaneous IMHDA process.
  • Ya-Nan Li, Bo-Zhou Wang, Yuan-Jie Shu, Lian-Jie Zhai, Sheng-Yong Zhang, Fu-Qiang Bi, Yu-Chuan Li
    中国化学快报. 2017, 28(01): 117-120. https://doi.org/10.1016/j.cclet.2016.06.026
    摘要 ( ) PDF全文 ( ) HTML 可视化 收藏
    Potassium 5,5'-azobis(1-nitraminotetrazolate), (K2ABNAT), a new green primary explosive, was synthesized via a safe and convenient synthetic procedure based on methylcarbazate and cyanogen azide. The compound was characterized by single-crystal X-ray diffraction, IR spectroscopy, Raman spectroscopy, multinuclear NMR spectroscopy, elemental analysis, and differential scanning calorimetry (DSC). With the calculated (CBS-4M) heat of formation (617.0 kJ/mol) and the room temperature X-ray density (2.11 g/cm3), impressive values for the detonation parameters such as detonation velocity (8367 m/s) and pressure (31.5 GPa) were computed using the EXPLO5 program. The superior calculated energetic performance show it could serve as a green replacement for the widely used primary explosive, lead(II) azide, which contains toxic ingredient.
  • Zhi-Bing Wu, Xiang Zhou, Yi-Qiang Ye, Pei-Yi Wang, Song Yang
    中国化学快报. 2017, 28(01): 121-125. https://doi.org/10.1016/j.cclet.2016.06.010
    摘要 ( ) PDF全文 ( ) HTML 可视化 收藏
    A series of novel 5-(trifluoromethyl)-1H-pyrazole-4-carboxamide derivatives (6a-6n, 7a, 7b, and 8a-8f) were synthesised by placing the amide bond at the 4-position of the pyrazole ring. These derivatives differed from the structure of chlorantraniliprole analogues with the amide bond at the 5-position of the pyrazole ring. Preliminary bioassay results revealed that a few title compounds exhibited good insecticidal activities against lepidopteran pests, such as Plutella xylostella, Mythimna separate, Heliothis armigera, and Ostrinia nubilalis. Some title compounds also elicited broad-spectrum insecticidal activities against dipterous insects including Culex pipiens pallens after altering the amide position. Similar to pyrazole-5-carboxamide analogues, compounds 6b and 6e showed 100% insecticidal activity against P. xylostella, C. pipiens pallens, and M. separate at concentrations of 200, 2, and 200 μg/mL, respectively. This finding suggested that 5-(trifluoromethyl)-1H-pyrazole-4-carboxamide derivatives are potential alternative insecticides for management of agriculture pests.
  • Xin-Xin Zhang, Yong-Qiang Liu, Hong Yu, Ren-Qing Zhang
    中国化学快报. 2017, 28(01): 126-130. https://doi.org/10.1016/j.cclet.2016.05.034
    摘要 ( ) PDF全文 ( ) HTML 可视化 收藏
    A method of ion-pair chromatography with direct conductivity detection was developed on a silicabased monolithic column for the fast and simultaneous determination of piperidinium and pyrrolidinium ionic liquid cations. The effects of the mobile phase, column temperature and flow rate on the retention of the cations were investigated. The retention rules were discussed. As an ion-pair reagent, sodium heptanesulfonate is more suitable than sodium pentanesulfonate for the separation and determination of piperidinium and pyrrolidinium cations. The increase of ion-pair reagent concentration led to the increased retention time of the cations. When acetonitrile content and mobile phase flow were increased, the retention time of the cations became shorter. The retention of piperidinium and pyrrolidinium cations is an exothermic process, and the retention of the cations conforms to the carbon number rule. The chromatographic analysis was performed using the Chromolith Speed ROD RP-18e column, 0.5 μmol/L sodium heptanesulfonate-5% acetonitrile as the mobile phase at a flow rate of 3.0 mL/min and column temperature of 30℃. Separation of N-methyl-N-ethyl piperidinium, N-methyl-N-propyl piperidinium, N-methyl-N-butyl piperidinium and N-methyl-N-ethyl pyrrolidinium, N-methyl-N-propyl pyrrolidinium, N-methyl-N-butyl pyrrolidinium cations were achieved within 10 min. The detection limits (S/N=3) were between 0.19 and 3.08 mg/L. Relative standard deviations (n=5) for peak areas were less than 1.2%. The method has been applied to the determination of piperidinium and pyrrolidinium cations in ionic liquid samples. The spiked recoveries of ionic liquid cations were between 96% and 111%. The method is accurate, reliable, rapid, and has a better practicability.
  • Yuan-Hui Fu, Ya-Ru Liu, Yan-Peng Zheng, Nan Jiang, Yue-Ying-Jiao, Wei Li, Xiang-Lei Peng, Jin-Sheng He
    中国化学快报. 2017, 28(01): 131-135. https://doi.org/10.1016/j.cclet.2016.06.018
    摘要 ( ) PDF全文 ( ) HTML 可视化 收藏
    Human respiratory syncytial virus (RSV) is an important pediatric pathogen of lower respiratory tract worldwide. No vaccines and antiviral drugs are available. Herein the use of an RNA polymerase I-driven RSV minigenome for analyzing RSV replication and screening anti-RSV drugs was investigated. The RNA polymerase I (Pol I) was used to transcribe RSV minigenome from the constructed plasmid, designated pHM-RSV-Gluc, of minigenome cDNA which comprised trailer region, gene start sequence (GS), reverse complementary copy of Gaussia luciferase (Gluc) gene, gene end sequence (GE), and leader region in the direction of 5'-3' end and was flanked by promoter and terminator of Pol I. The expression of Gluc was confirmed in pHM-RSV-Gluc transfected HEp-2 cells following RSV infection and had the characteristics of dose-dependent, which provided a rapid, sensitive, and quantitative method for quantifying virus titers and screening antiviral drugs.
  • Kalawati Meena, Sudesh Kumari, Jitender M. Khurana, Amita Malik, Chetan Sharma, Harsh Panwar
    中国化学快报. 2017, 28(01): 136-142. https://doi.org/10.1016/j.cclet.2016.06.025
    摘要 ( ) PDF全文 ( ) HTML 可视化 收藏
    A simple and efficient three component procedure has been developed for the synthesis of highly substituted spiro[indolo-3,10'-indeno[1,2-b]quinolin]-2,4,11'-triones by one pot three component condensation of enaminones, isatin and indane-1,3-dione in ethanol:water (1:1) in presence of ceric ammonium nitrate (CAN) as catalyst. This method provides several advantages such as lesser reaction time, high yield of products and operational simplicity. The antimicrobial activity of some of the compounds has been investigated against six microbial strains, some of the tested compounds showed good antimicrobial activity.
  • Hui-Li Xu, Wei-De Zhang
    中国化学快报. 2017, 28(01): 143-148. https://doi.org/10.1016/j.cclet.2016.10.008
    摘要 ( ) PDF全文 ( ) HTML 可视化 收藏
    In this study, a new facile preparation method of nanocomposites consisting of graphene oxide and manganese dioxide nanowires (GO/MnO2 NWs) was developed. The morphology, structure and composition of the resulted products were characterized by transmission electron microscopy, X-ray diffraction and N2 adsorption and desorption. The GO/MnO2 nanocomposite was used as an electrode material for non-enzymatic determination of hydrogen peroxide. The proposed sensor exhibits excellent electrocatalytic performance for the determination of hydrogen peroxide in phosphate buffer solution (PBS, pH 7) at an applied potential of 0.75 V. The non-enzymatic biosensor for determination of hydrogen peroxide displayed a wide linear range of 4.90 μmol L-1-4.50 mmol L-1 with a correlation coefficient of 0.9992, a low detection limit of 0.48 μmol L-1 and a high sensitivity of 191.22 μA (mmol L-1)-1 cm-2 (signal/noise, S/N=3). Moreover, the non-enzymatic biosensor shows an excellent selectivity.
  • Bo Hai, Ying-Quan Zou, Gui-Bao Guo, Zheng-De Wang, Yun-Ying Liu, Xiao-Xia Wang, Hui Yan, Li-Tong Ma, Yu-Chen Bai
    中国化学快报. 2017, 28(01): 149-152. https://doi.org/10.1016/j.cclet.2016.07.023
    摘要 ( ) PDF全文 ( ) HTML 可视化 收藏
    NiAl-layered double hydroxide (NiAl-LDH) networks loaded carbon microcylinder (CMC) hybrid was synthesized for the first time using typical carbon based microelectromechanical systems (C-MEMS) techniques combined with in situ growth progress. The incorporation of NiAl-LDH on C-MEMS structures via a simple pyrolysis of modified photoresist was investigated. With proper control of parameters in lithography and hydrothermal processes, the NiAl-LDH/CMC composites with suitable morphology were fabricated. When the composites applied as new catalytic material for glucose detection, this simple sensor showed satisfying electrocatalytic properties towards glucose oxidation owing to its unique structure and excellent electric conductivity. It is also worth pointing out that this novel fabrication process can equip carbon microfeatures with various nanostructures, and have wide potential applications in scaling up carbon based nanocomposites.
  • Dong-Hang Yin, Wei Liu, Zhi-Xiang Wang, Xin Huang, Jing Zhang, De-Chun Huang
    中国化学快报. 2017, 28(01): 153-158. https://doi.org/10.1016/j.cclet.2016.10.015
    摘要 ( ) PDF全文 ( ) HTML 可视化 收藏
    The direct three-component aza-Diels-Alder reaction was conducted with lipase as a catalyst for the first time. Under the optimized conditions, the aza-Diels-Alder reaction catalyzed by lipase from Candida sp. 99-125 provided the products in moderate to excellent yields. Meanwhile, the endo/exo ratio reached up to 88:12.