本期目录

2016年, 第27卷, 第12期 刊出日期:2016-12-22
  

  • 全选
    |
    综述
  • Zhi-Meng Wu, Shao-Zhong Liu, Xiao-Zhong Cheng, Wen-Zhang Ding, Tao Zhu, Bing Chen
    中国化学快报. 2016, 27(12): 1731-1739. https://doi.org/10.1016/j.cclet.2016.04.024
    摘要 ( ) PDF全文 ( ) HTML 可视化 收藏
    Cyclopeptidomimetics are class of cyclopeptides with unnatural linkage. They usually displayed unique constrained structure, enhanced proteolytic stability, and other drug-like character; and have been widely used in medicinal chemistry. Therefore, development of efficient strategies for the synthesis of cyclopeptidomimetics has received many attentions. On-resin cyclization strategy is one of the effective approaches developed to overcome the competing side reaction such as oligomerization and cyclooligomers occurred in solution cyclization. This approach took advantage of the "pseudo-dilution" effect to avoid these undesired by-products and greatly simplified the downstream product purification process. This review summarized the recent on-resin peptide cyclization strategies for the synthesis of cyclopeptidomimetics.
  • 论文
  • Tian-Nan Wang, Guang Yang, Li-Bin Wu, Guo-Song Chen
    中国化学快报. 2016, 27(12): 1740-1744. https://doi.org/10.1016/j.cclet.2016.05.009
    摘要 ( ) PDF全文 ( ) HTML 可视化 收藏
    In this paper, dynamic covalent bond has been employed to construct supra-amphiphile of carbohydrate for the first time. In neutral environment, the molecule was fabricated by reacting a hydrophobic building block bearing benzoic aldehyde with a hydrophilic building block bearing hydrazine to form a sugar-containing supra-amphiphile based on acylhydrazone bond. The obtained azobenzenegalactopyranoside (Azo-Gal) supra-amphiphile self-assembled to fibrillar structure in water, which showed dual responses to UV light and pH.
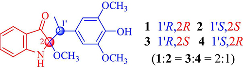
  • Da-Wei Li, Qing-Lan Guo, Xian-Hua Meng, Cheng-Gen Zhu, Cheng-Bo Xu, Jian-Gong Shi
    中国化学快报. 2016, 27(12): 1745-1750. https://doi.org/10.1016/j.cclet.2016.08.006
    摘要 ( ) PDF全文 ( ) HTML 可视化 收藏
    Two pairs of unusual scalemic enantiomers with a novel carbon skeleton of 2-[1'-(4"-hydroxy-3",5"-dimethoxyphenyl)ethyl]-2-methoxyindolin-3-one, named isatidifoliumindolinones A-D (1-4), were isolated from an aqueous extract of Isatis indigotica leaves (da qing ye). Their structures including absolute configurations were determined by spectroscopic data analysis combined with comparison of their experimental CD and calculated ECD spectra. Validity of the ECD spectra calculation to assign the absolute configurations is discussed. Plausible biosynthetic pathways of 1-4 are proposed. Stereochemistry-dependent activity against LPS-induced NO production in BV2 cells was observed, and among the stereoisomers compound 4 is most active.
  • Fang Xiao, Chun-Ping Tang, Chang-Qiang Ke, Sheng Yao, Yang Ye
    中国化学快报. 2016, 27(12): 1751-1754. https://doi.org/10.1016/j.cclet.2016.04.022
    摘要 ( ) PDF全文 ( ) HTML 可视化 收藏
    Two new rearranged diterpenoids, tomocinol C (1) and spirocaesalmin C (2) were isolated from the seeds of Caesalpinia sappan. Their structures were elucidated based on comprehensive analysis of spectroscopic data, and their absolute configurations were established by single crystal X-ray crystallography.
  • Xiao-Xiao Zhang, Shuang-Cheng Ma, Peng Mao, Ya-Dan Wang
    中国化学快报. 2016, 27(12): 1755-1758. https://doi.org/10.1016/j.cclet.2016.06.051
    摘要 ( ) PDF全文 ( ) HTML 可视化 收藏
    One new bisbenzylisoquinoline alkaloid, neferine N-oxide (1), along with three known compounds, neferine (2), liensinine (3), and isoliensinine (4), were isolated from Plumulanelumbinis-the embryo of the seed of Nelumbonucifera. Their structures were elucidated by extensive spectroscopic analysis (MS, UV, IR, NMR), and the absolute configurations were determined by experimental circulardichroism (CD) spectra. Compound 1 is a new naturally occurring bisbenzylisoquinoline alkaloid with an N-oxide functionality, and the CD spectrum of (1R, 1'R) neferine is first reported. The antioxidant activities of compounds 1-4 were evaluated using the ORAC assay, which illustrated that all these compounds showed the different levels of oxygen radical absorbance capacity.
  • Xin-Meng Fan, Xian-Tao Yang, Yu-Jia Guo, Ren-Min Wu, De-Lin Pan, Zhu Guan, Xiao-Mei Ling, Li-He Zhang, Zhen-Jun Yang
    中国化学快报. 2016, 27(12): 1759-1762. https://doi.org/10.1016/j.cclet.2016.05.021
    摘要 ( ) PDF全文 ( ) HTML 可视化 收藏
    Deamination is a crucial step in the transformation of 6-cyclopropylamino guanosine prodrug to its active form. A convenient method using capillary electrophoresis (CE) without sample labeling was developed to analyze the deamination of a series of D-/L-6-cyclopropylamino guanosine analogs by mouse liver homogenate, mouse liver microsome, and adenosine deaminase (ADA). A two-step process involving a 6-amino guanosine intermediate formed by oxidative N-dealkylation was demonstrated in the metabolism of 6-cyclopropylamino guanosine to 6-hydroxy guanosine. The results indicated that the transformation rates of different prodrugs to the active form varied greatly, which were closely correlated with the configuration of nucleosides and the structure of glycosyl groups. Most importantly, D-form analogs were metabolized much faster than their L-counterparts, thus clearly pointed out that compared to guanine, modification of glycosyl part might be a better choice for the development of L-guanosine analogs for the treatment of HIV.
  • Anita Routaray, Somanath Mantri, Nibedita Nath, Alekha Kumar Sutar, Tungabidya Maharana
    中国化学快报. 2016, 27(12): 1763-1766. https://doi.org/10.1016/j.cclet.2016.06.011
    摘要 ( ) PDF全文 ( ) HTML 可视化 收藏
    In the present investigation, the novel copper Schiff base complex was synthesized and its catalytic activity was evaluated for the ring-opening polymerization (ROP) of lactide and block polymerization of poly(lactide) with poly(ethylene glycol)methyl ether.
  • Chuan-Ming Yu, Bing-Cheng Hu, Zhi-Hui Gong, Cheng Liu, Ji-Ting Li
    中国化学快报. 2016, 27(12): 1767-1770. https://doi.org/10.1016/j.cclet.2016.04.025
    摘要 ( ) PDF全文 ( ) HTML 可视化 收藏
    A fulgide connected to porphyrin (FUL-TPP) can transform its open isomer to closed isomer upon the irradiation with UV or visible light. Herein, they can be used to write binary data. Furthermore, the open form can emit luminescence but the closed cannot form while irradiated in another light that will not cause the optical chemical reaction. Therefore, the data can be read out without destruction.
  • Zhuang Li, Jun He, Yue Zhang, Qing-Guo Wang, Yan Zhao, Hui-Hua Qu, Xue-Qian Wang, Hui Kong, Wei-Ku Zhang, Jie-Kun Xu
    中国化学快报. 2016, 27(12): 1771-1775. https://doi.org/10.1016/j.cclet.2016.06.052
    摘要 ( ) PDF全文 ( ) HTML 可视化 收藏
    Theacrine (l,3,7,9-tetramethyluric acid), a purine alkaloid similar to caffeine in its chemical structure, is isolated from edible Camellia assamica var. kucha and has various pharmacological activities including hypnotic effects, anti-depressant effects, anti-inflammatory and analgesic effects, and a protective effect against stress-provoked liver damage. A rapid and simple assay is required to quantify theacrine in biological samples for pharmacokinetic studies in small animals. This study aimed to establish an enzyme-linked immunosorbent assay (ELISA) for theacrine quantification in blood. Herein, we successfully obtained monoclonal antibodies (MAbs) against theacrine, MAbs C11B5, and developed an ELISA method for the fast determination of theacrine in mouse blood. The range for calibration of theacrine by ELISA was 0.156-100 μg mL-1. The half maximuminhibitory concentration (IC50) value was 1.55 μg mL-1. The ELISA method lays a good foundation for the further research.
  • Lun Song, Xu-Dong Sun, Yu Ge, Yu-Hua Yao, Jie Shen, Wei-Bing Zhang, Jun-Hong Qian
    中国化学快报. 2016, 27(12): 1776-1780. https://doi.org/10.1016/j.cclet.2016.05.007
    摘要 ( ) PDF全文 ( ) HTML 可视化 收藏
    A polarity-sensitive fluorescent probe MNP was rationally designed and synthesized with naphthalimide as the fluorophore and maleimide as the receptor for thiols. MNP is weakly fluorescent due to the photoinduced electron-transfer (PET) from the fluorophore to the receptor, and it displays evidently solvatochromic UV-vis and fluorescence spectra:the emission shifted from 495 nm in n-hexane to 545 nm in phosphate buffer solution. Michael addition reaction between thiols and the maleimide in MNP inhibited the PET process, which led to about eight-fold fluorescence enhancement. In addition, MNP showed highly sensitivity to mercapto-containing proteins and it could detect as low as 20.4 mg/mL of BSA in PBS. MNP has potential in fluorescent imaging of thiols in living cells.
  • Zhuo-Ting Huang, Guo-Biao Xue, Jia-Ke Wu, Shuang Liu, Huan-Bin Li, Yu-Hui Yang,
    中国化学快报. 2016, 27(12): 1781-1787. https://doi.org/10.1016/j.cclet.2016.05.016
    摘要 ( ) PDF全文 ( ) HTML 可视化 收藏
    The n-channel behavior has been occasionally reported in the organic field-effect transistors (OFETs) that usually exhibit p-channel transport only. Reconfirmation and further examination of these unusual device performances should deepen the understanding on the electron transport in organic semiconductors. 6,13-bis(triisopropyl-silylethynyl) pentacene (TIPS-pentacene), a widely examined p-channel material as Au is used for source-drain electrodes, has recently been reported to exhibit electron transport when grown from non-polar solvent on divinyltetramethyldisiloxanebis (benzocyclobutene) (BCB) dielectric, spurring the study on this unusual electron transport. This paper describes FET characteristics of solution-grown TIPS-pentacene single crystals on five polymer gate dielectrics including polystyrene (PS), poly(methyl methacrylate) (PMMA), poly(4-vinyl phenol) (PVP), poly(vinyl alcohol) (PVA) and poly(vinylidene fluoride-trifluoroethylene-chlorofluoroethylene) (P(VDF-TrFE-CFE)). In addition to the p-channel behavior, electron transport occurs in the crystals on PMMA, PS, thick PVA (40 nm) and a bilayer dielectric of PMMA on P(VDF-TrFE-CFE), while does not on PVP and thin PVA (2 nm). The two distinct FET characteristics are consistent with the previous reported trap effect of hydroxyl groups (in PVP and PVA) and reduced injection barrier by Na+ ions (as impurity in PVA). The highest electron mobility of 0.48 cm2 V-1 s-1 has been achieved in the crystals on PMMA. Furthermore, the electron transport is greatly attenuated after the crystals are exposed to the vapor of a variety of polar solvents and the attenuated electron transport partially recovers if the crystals are heated, indicating the adverse effect of polar impurities on electron transport. By reconfirming the n-channel behavior in the OFETs based on TIPS-pentacene, this work has implications for the design of n-channel and ambipolar OFETs.
  • Guo-Fang Wang, An-Xiang Guan, Chun-Yan Zhou, Si-Yu Xia, Qian Chen, Xue-Ting Chen, Li-Ya Zhou
    中国化学快报. 2016, 27(12): 1788-1792. https://doi.org/10.1016/j.cclet.2016.07.012
    摘要 ( ) PDF全文 ( ) HTML 可视化 收藏
    CdTe@Zn5(CO3)2(OH)6 composites were synthesized by a hydrothermal method. CdTe@Zn5(CO3)2(OH)6 composite nanospheres were characterized via X-ray diffraction, scanning electron microscopy, energydispersive X-ray spectroscopy, and photoluminescence (PL). The hydrothermal reaction time and the mole ratios of Zn/Te played important roles in the growth and fluorescence intensity of CdTe@Zn5(CO3)2(OH)6 composites. The composite powders showed peak PL at 578 nm at 1.6 times the intensity of powdered CdTe QDs. CdTe@Zn5(CO3)2(OH)6 exhibited a strong yellow fluorescence emission, and its preparation method was easy and economical. Therefore, CdTe@Zn5(CO3)2(OH)6 offers potential applications in biological markers and light-emitting diodes.
  • Hai-Rong Zheng, Li-Ya Niu, Yu-Zhe Chen, Li-Zhu Wu, Chen-Ho Tung, Qing-Zheng Yang
    中国化学快报. 2016, 27(12): 1793-1796. https://doi.org/10.1016/j.cclet.2016.04.023
    摘要 ( ) PDF全文 ( ) HTML 可视化 收藏
    We report a turn-on fluorescent probe for H2S through a cascade reaction using a new trap group 4-(bromomethyl)benzoate, based on excited-state intramolecular proton transfer (ESIPT) sensing mechanism. The probe showed good selectivity and high sensitivity towards H2S and it was capable of detecting and imaging H2S in living HeLa cells, indicating its potential biological applications.
  • Lun Wan, Chen-Hui Jiao, Man-Bo Zhang, Jing-Xia Wang, Lei Jiang
    中国化学快报. 2016, 27(12): 1797-1800. https://doi.org/10.1016/j.cclet.2016.06.004
    摘要 ( ) PDF全文 ( ) HTML 可视化 收藏
    The paper demonstrated a facile approach for the orientated assembly of the rod-like silica particles by sandwich structure from the combined effect of superhydrophobic template and the superhydrophilic substrates. The rod-like particles can be arranged in ring-like, square-like and etc from the confined effect of the template, which will produce an important insight for the oriented assembly of anisotropic particles and the development of the novel functional materials and devices.
  • Zhe-Ming Liu, Lan Peng, Ai-Wei Tang
    中国化学快报. 2016, 27(12): 1801-1804. https://doi.org/10.1016/j.cclet.2016.04.016
    摘要 ( ) PDF全文 ( ) HTML 可视化 收藏
    A simple solvothermal approach employing oleic acid has been developed to prepare anatase TiO2 nanocrystals with different shapes, which were tuned from nanorods to nano-ellipsoids by increasing the amount of NaF from 0 to 0.5 mmol, and the optical band gap decreased from 3.47 eV to 3.29 eV accordingly. However, when the fluoride was changed to NH4F, the resultant TiO2 nanocrystals possessed an anatase phase but weremade up of smaller-sized nanocrystals and nanorods, and the band gap was increased to 3.53 eV. The X-ray photoelectron spectroscopy (XPS) results illustrated an increase of fluorine content with an increasing amount of NaF could account for the variation of the shape and optical band gap of TiO2 nanocrystals. Moreover, the absence of fluorine content brought about less change of shape and increase of optical band gap of the product synthesized in the presence of NH4F. This result may offer another way to alter the shape and band gap of metal oxide nanocrystals with the assistance of fluoride.