本期目录

2016年, 第27卷, 第11期 刊出日期:2016-11-22
  

  • 全选
    |
    论文
  • Zhong-Ran Dai, Chang-Feng Yin, Cheng Wang, Jin-Cai Wu
    中国化学快报. 2016, 27(11): 1649-1654. https://doi.org/10.1016/j.cclet.2016.05.001
    摘要 ( ) PDF全文 ( ) HTML 可视化 收藏
    A series of bis-ligated zinc complexes supported by Schiff base ligands were successfully synthesized and characterized by 1H,13C NMR,elemental analysis,and X-ray crystallography.These zinc complexes can be used as catalysts for the polymerization of rac-lactide in solution as well as in molten lactide.The results show that all catalysts exhibited high catalytic activity and obtained moderate heterotactic PLAs with the expected molecular weight.Complex 1 can catalyze the polymerization of rac-lactide under controllable conditions with living and immortal character in toluene solution.In addition,the steric hindrance and electronic effects has a great influence on the catalytic activity and selectivity of catalysts.
  • Xuan Wu, Lei Gao, Junzhao Sun, Xiao-Yu Hu, Leyong Wang
    中国化学快报. 2016, 27(11): 1655-1660. https://doi.org/10.1016/j.cclet.2016.05.004
    摘要 ( ) PDF全文 ( ) HTML 可视化 收藏
    Mono-alkyl-functionalized pillar[5] arenes P1,P2,and P3 were synthesized by click reaction,which exhibited different self-assembly behavior in polar solvent DMSO.Stable pseudo [1] rotaxane was formed by the self-complexation from P1 or P2,whereas,concentration-dependent pseudorotaxane structures were generated by P3 which bearing more flexible side chain.Interestingly,the obtained pseudo[1]rotaxanes exhibited a dynamic fast assembly process upon adding NaBF4,resulting in the formation of Na+-induced pseudorotaxanes.
  • Xian-Bo Mou, Zeeshan Ali, Bo Li, Tao-Tao Li, Huan Yi, Hong-Ming Dong, Nong-Yue He, Yan Deng, Xin Zeng
    中国化学快报. 2016, 27(11): 1661-1665. https://doi.org/10.1016/j.cclet.2016.04.005
    摘要 ( ) PDF全文 ( ) HTML 可视化 收藏
    The genetic variability has obtained more and more attention in the process of diagnosis and treatment of tumors.Herein,we have described a multiple genotyping method based on magnetic enrichmentmultiplex PCR (MEM-PCR) and microarray technology.Monodisperse magnetic beads were fabricated and modified with streptavidin.Four loci on two genes (M235T and A-6G loci on AGT gene,A1298C and C677T loci on MTHFR gene) were selected to study single nucleotide polymorphisms (SNP).Target sequences of these SNP loci were amplified using Cy3-labeled primers through multiplex PCR in one tube after the templates were enriched and purified by functional magnetic beads (MB).Four pairs of NH2-labeled probes,corresponding to each locus,were fixed on CHO-modified glass slide by covalent binding.Hybridization between target sequences and probes was performed under suitable conditions.The spotting locations on microarray and the ratio of fluorescence intensity,produced by different loci,were used to distinguish the SNP genotypes.Finally,three of gastric cancer samples were collected and genotyping analysis for these four SNP loci was carried out successfully simultaneously by this method.
  • Yu-Mei Zhao, Zhi-Bing Zheng, Song Li
    中国化学快报. 2016, 27(11): 1666-1672. https://doi.org/10.1016/j.cclet.2016.03.042
    摘要 ( ) PDF全文 ( ) HTML 可视化 收藏
    Flupirtine maleate,a pharmaceutical compound for treating psychotic disease in clinics,has seven polymorphs.Form A,with better crystal stability and bioavailability,has been widely used as the pharmaceutical crystal form.Unfortunately,it is usually found in a polymorphic mixture with form B.In this study,pure crystal forms of A and B were prepared and characterized by X-ray powder diffraction (XRPD),Fourier transform infrared spectroscopy (FT-IR) and thermal analysis.An XRPD-based method for the quantitative determination of the amount of the flupirtine maleate polymorphs form A and form B was also established through a systematic optimization of instrumental parameters.The results of the analytical methodology validation showed that the XPRD method had a broad quantitative range of 0-100%(w/w),good linear relationship,with R2=0.999,excellent repeatability and precision and low limits of detection (LoD) of 0.15%(w/w) and quantification (LoQ) of 0.5%(w/w).The results also showed that the single-peak method was not as good as the whole pattern in reducing the influence of the preferred orientation,but this can be compensated for by a systematic optimization of instrumental parameters and validating the analytical methodology to reduce errors and obtain a good,repeatable,sensitive,and accurate method.This XRPD method can be used to analyze mixtures of flupirtine maleate polymorphs (forms A and B) quantitatively and control the quality of the bulk drug.
  • Yuan Zhang, Yuan Fang, Nai-Zhang Xu, Ming-Qun Zhang, Guan-Zhi Wu, Cheng Yao
    中国化学快报. 2016, 27(11): 1673-1678. https://doi.org/10.1016/j.cclet.2016.04.011
    摘要 ( ) PDF全文 ( ) HTML 可视化 收藏
    A new pyrene derivative BF bearing a furan group was synthesized via a one-step reaction as a colorimetric and ratiometric chemosensor for Al3+in ethanol-H2O (9:1,v/v,pH 7.2,HEPES buffer) solution.This chemosensor could selectively recognize Al3+ in the presence of other competing ions.Low limit of detection (LOD) and high association constant revealed its superior sensitivity and binding affinity toward Al3+.Besides,the probe BF performed perfectly in a reversibility test using EDTA.The mechanism of the interaction has been confirmed by 1H NMR titration.Importantly,chemosensor BF has also been utilized to detect Al3+ on test paper strips,which showed its potential for practical applications.
  • Jie Yang, Jian-Jun Ma, Da-Min Zhang, Teng Xue, Ye-Jun Guan
    中国化学快报. 2016, 27(11): 1679-1682. https://doi.org/10.1016/j.cclet.2016.04.015
    摘要 ( ) PDF全文 ( ) HTML 可视化 收藏
    MIL-140-type metal organic frameworks (isoreticular zirconium oxide MOFs) with different aromatic moieties (phenyl,naphthalene,and biphenyl) have been synthesized and employed as the supports of palladium nanoparticles (Pd NPs).The catalysts were characterized by XRD,BET,TEM and CO chemisorption.The results reveal that Pd NPs are homogeneously dispersed on all materials whereas different accessibility to CO is observed.The hydrogenation performance in C=C saturation with respect to the effect of the aromatic moiety is compared.The Pd/MIL-140A MOF with the highest hydrogenation activity among the three catalysts comprised of different aromatic rings points to a unique Pd-π interaction between Pd and frameworks consisting of mono-phenyl groups (C6H4).
  • Cai-Xia Xu, Cun-Hua Ma, Fu-Rong Xiao, Hong-Wei Chen, Bin Dai
    中国化学快报. 2016, 27(11): 1683-1685. https://doi.org/10.1016/j.cclet.2016.04.019
    摘要 ( ) PDF全文 ( ) HTML 可视化 收藏
    We present a simple and straightforward protocol for hydrochlorination of terminal arylalkynes to vinyl chlorides using hydrogen chloride under mild reaction conditions.This protocol does not involve any metal catalysts or additives.It is simple,inexpensive,and easy to prepare,and exhibits good reaction activity.The hydrochlorination proceeds smoothly to yield unique regioselective products via the Markovnikov addition rule.
  • Chen-Feng Zhou, Jian-Jun Li, Wei-Ke Su
    中国化学快报. 2016, 27(11): 1686-1690. https://doi.org/10.1016/j.cclet.2016.05.010
    摘要 ( ) PDF全文 ( ) HTML 可视化 收藏
    A one-pot,four-component reaction of ethyl acetoacetate,hydrazine hydrate,aldehydes,and malononitrile was discussed using Lewis acid catalyst morpholine triflate (MorT) to afford a series of dihydropyrano[2,3-c] pyrazoles,which were generally catalyzed by organic alkalis.Moderate to excellent yields,no chromatographic purification,and evasion of environmentally hazardous solvents in the reaction process make this protocol very useful for academia and industry.
  • Dong-Yan Hu, Meng-Shun Li, Wen-Wu Zhong, Jian-Xin Ji, Jin Zhu, Wei Wei, Qiang Zhang, Ming Cheng
    中国化学快报. 2016, 27(11): 1691-1695. https://doi.org/10.1016/j.cclet.2016.05.029
    摘要 ( ) PDF全文 ( ) HTML 可视化 收藏
    A simple and highly efficient one-pot method for the construction of α-hydroxyketone phosphates from terminal alkynes and H-phosphine oxides has been developed in the presence of PhI (OAc)2 and H2O.The present protocol provides an attractive approach to α-hydroxyketone phosphates in good to high yields,with the advantages of operation simplicity,the use of commercially available materials,broad substrate scope,high atom efficiency and good tolerance to scale-up synthesis.
  • Zhi-Wei Yu, Shu-Xi Gao, Kai Xu, You-Xiong Zhang, Jun Peng, Ming-Cai Chen
    中国化学快报. 2016, 27(11): 1696-1700. https://doi.org/10.1016/j.cclet.2016.04.018
    摘要 ( ) PDF全文 ( ) HTML 可视化 收藏
    Organic/inorganic hybrid polymers have been widely studied for their potential use in nanocontainers and nanocarriers.In this article,one star-shaped hybrid polymer,polyhedral oligomeric silsesquioxane (POSS) grafted poly (N,N-(dimethylamino) ethyl methacrylate)(POSS-g-PDMA),was synthesized via reversible addition-fragmentation chain transfer polymerization (RAFT).The pH stimuli-responsive character of POSS-g-PDMA in aqueous solution were also studied.
  • Wei-Jia Chen, Yi Wu, Xin Zhao, Shu Liu, Feng-Rui Song, Zhong-Ying Liu, Zhi-Qiang Liu
    中国化学快报. 2016, 27(11): 1701-1707. https://doi.org/10.1016/j.cclet.2016.05.022
    摘要 ( ) PDF全文 ( ) HTML 可视化 收藏
    The aim of this work was to evaluate the ability of 33 herbal extracts in inhibiting the acute inflammation and xanthine oxidase (XOD) activity.The anti-inflammation effects of the herbal extracts were detected by an in vitro cell model,which was established by stimulating human umbilical vein endothelial cells (HUVEC) using sodium urate (MSU).In this model,the intercellular adhesion molecule-1(ICAM-1) and interleukin-1 beta (IL-1β) were expressed,and the anti-inflammation effects of herbal extracts were evaluated by detecting the content changes of ICAM-1 and IL-1β in cell lysates and cell culture supernates using an enzyme-linked immunosorbent assay (ELISA).Moreover,an ultrahigh performance liquid chromatography and tandem mass spectrometry (UPLC-MS/MS) method was used for the detection of XOD activity and the screening of XOD inhibitors in this research.The amount of uric acid from each analyte was directly detected using the multiple reaction monitoring mode and the uric acid level could be reduced via the addition of an inhibitor.Results indicated that Salviae Miltiorrhizae Radix et Rhizome,Rhei Radix et Rhizoma,Polygoni Cuspidati Rhizoma et Radix,Selaginellae Herba,Paeoniae Radix Rubra,especially Ginkgo Folium seemed to be more effective in anti-inflammation and inhibiting XOD activity.The anti-inflammation and enzyme inhibitory activities of the herbal extracts may be correlated with their bioactive components.And the differences between the herbal extracts were correlated with the amount of flavonoid and anthraquinone components.In our study,we have investigated the potential anti-inflammation bioactivity of 33 herbal extracts in vitro,which could provide a reference for further in vivo research in the prevention and treatment of gout.
  • Li Zhang, Yu-Chao Yao, Meng-Ying Gao, Rui-Xue Rong, Ke-Rang Wang, Xiao-Liu Li, Hua Chen
    中国化学快报. 2016, 27(11): 1708-1716. https://doi.org/10.1016/j.cclet.2016.05.027
    摘要 ( ) PDF全文 ( ) HTML 可视化 收藏
    Novel trimers of triphenylethylene-coumarin hybrid containing two amino side chains (5a-d and 6a-d) were designed and synthesized by the condensation of 1,3,5-benzenetricarboxylic acid with the varied amino monomeric hybrids catalyzed by HATU and DIPEA at room temperature.The extended trimeric compound 6a (R=piperidinyl) exhibited significant anti-proliferative activity against three cancer cells at IC50 of near 10 μmol/L.UV-vis,fluorescence (lifetime) and thermal denaturation exhibited that 6a had significant interaction with Ct-DNA by the intercalative mode of binding.The order of their antiproliferative activities was 6(a,d) > 5(a,d) and (5-6)a > (5-6)d,respectively,in accordance with that of their DNA binding properties,which suggested that the prolonged linker (six carbons) and piperidinyl group on the side chains are beneficial to DNA binding and the anti-tumor activity.
  • Chun-Mei Sai, Ning-Bo Qin, Cui-Cui Jia, Da-Hong Li, Kai-Bo Wang, Yue-Hu Pei, Jiao Bai, Zhan-Lin Li, Hui-Ming Hua
    中国化学快报. 2016, 27(11): 1717-1720. https://doi.org/10.1016/j.cclet.2016.06.017
    摘要 ( ) PDF全文 ( ) HTML 可视化 收藏
    Macleayine (1),a new natural occurring alkaloid with a unique spiro[furanone-piperidinedione] framework,was isolated from the aerial parts of Macleaya cordata.Its unusual structure was established by extensive spectroscopic analyses,computer-assisted structure elucidation software (ACD/Structure Elucidator),quantum chemistry calculations and ECD calculation.The result of virtual molecular docking predicted the compound can enhance the effects of insulin,and may be used to treat type II diabetes.
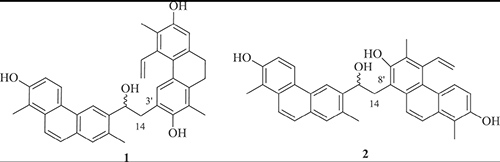
  • Fang Xiao, Qiong Li, Chun-Ping Tang, Chang-Qiang Ke, Yang Ye, Sheng Yao
    中国化学快报. 2016, 27(11): 1721-1724. https://doi.org/10.1016/j.cclet.2016.04.008
    摘要 ( ) PDF全文 ( ) HTML 可视化 收藏
    Two new phenanthrenoid dimers,named dijuncuenins A (1) and B (2),were isolated from the ethanolic extract of the whole plant of Juncus effusus.Their structures were determined by 1D and 2D NMR spectroscopic analysis and mass spectrometry.The plausible biosynthetic pathways of compounds 1 and 2 were proposed.
  • Bappi Paul, Sethumathavan Vadivel, Siddhartha Sankar Dhar
    中国化学快报. 2016, 27(11): 1725-1730. https://doi.org/10.1016/j.cclet.2016.07.005
    摘要 ( ) PDF全文 ( ) HTML 可视化 收藏
    Nanostructured α-Fe2O3 were prepared by precipitation followed by calcination method.Cetyltrimethylammonium bromide (CTAB) was used as surfactant.The nano α-Fe2O3 was then silanized with (3-chloropropyl)-triethoxysilane (CPTES) by room temperature mixing of α-Fe2O3 and CPTES to produce silane coated α-Fe2O3(ClPr-Si@Fe2O3).As-synthesized ClPr-Si@Fe2O3 was functionalized via covalent grafting of benzimidazole to produce 3-(1-benzimidazole) Pr-Si@Fe2O3.This was further reacted with bromine to afford α-Fe2O3 immobilized benzimidazolium tribromide (α-Fe2O3-BIM tribromide).This ionic liquid (IL) α-Fe2O3 BIM tribromide was characterized by FT-IR,XRD,TEM,SEM,TGA,VSM,EDX and BET analysis.The as-synthesized IL tribromide was used as catalyst for one-pot synthesis of highly substituted piperidines.The method is greener in terms of solvent selection,recovery of the catalyst and efficiency.