本期目录

2016年, 第27卷, 第07期 刊出日期:2016-07-22
  

  • 全选
    |
    论著
  • Xian-Hua Meng, Zhi-Bo Jiang, Cheng-Gen Zhu, Qing-Lan Guo, Cheng-Bo Xu, Jian-Gong Shi
    中国化学快报. 2016, 27(07): 993-1003. https://doi.org/10.1016/j.cclet.2016.05.013
    摘要 ( ) PDF全文 ( ) HTML 可视化 收藏
    Three new napelline-type C20-diterpenoid alkaloids, named aconicarmichinium A and B trifluoroacetates (1 and 2) and aconicarmichinium C chloride (3), were isolated from an aqueous extract of “fu zi”, the lateral roots of Aconitum carmichaelii. Their structures were elucidated by extensive spectroscopic data analysis. Compounds 1-3 represent the first examples of napelline-type C20-diterpenoid alkaloid alcohol iminiums, of which the structures were fully characterized. In addition, transformation and equilibration between the alcohol iminiums (1-3) and the aza acetals 1a-3a were investigated by measurements of the NMR spectra in protic and aprotic deuteriumsolvents including alkali pyridine-d5, along with evaporation under reduced pressure and gradual additions of TFA, AcOH, and HCl. The results demonstrated that the transformation and equilibration were solvent-, base-, and acid-dependent. Especially, in aqueous biological fluid, these C20-diterpenoid alkaloids would more likely exist as the alcohol iminiums accompanied by anion counterparts in biosystems to increase their solubility, bioavailability, transportations, and functions. The absolute configurations of 1-3 were confirmed by X-ray crystallographic analysis of 2a.
  • Jie Li, Lin-Ping Qian, Li-Ya Hu, Bin Yue, He-Yong He
    中国化学快报. 2016, 27(07): 1004-1008. https://doi.org/10.1016/j.cclet.2016.03.021
    摘要 ( ) PDF全文 ( ) HTML 可视化 收藏
    The pseudo-boehmite derived alumina supported metal (Cu, Co and Ni) catalysts prepared by the impregnation method were investigated in hydrogenation of maleic anhydride (MA) to succinic anhydride (SA) and γ-butyrolactone. The catalysts were characterized by ICP-AES, N2 adsorption-desorption, XRD, H2-TPR, CO-TPD, dissociative N2O adsorption and TEM and the results showed that the alumina possessed mesoporous feature and the metal species were well dispersed on the support. Compared to Cu/Al2O3 and Co/Al2O3, Ni/Al2O3 exhibited higher catalytic activity in the MA hydrogenation with 92% selectivity to SA and nearly 100% conversion of MA at 140 ℃ under 0.5 MPa of H2 with a weighted hourly space velocity of 2 h-1 (MA). The stability of Ni/Al2O3 catalyst was also investigated.
  • Qian Geng, Xin Xiao, Guang-Rui He, Su-Mei Yao, Guang-Xin Liang
    中国化学快报. 2016, 27(07): 1009-1012. https://doi.org/10.1016/j.cclet.2016.04.026
    摘要 ( ) PDF全文 ( ) HTML 可视化 收藏
    Hexafluoropropylene oxide (HFPO) oligomers are toxic, bioaccumulative, and persistent organic pollutants (POPs). Consuming the harmful chemicals to prevent them from releasing to nature is of serious significance as far as both natural environments and human health are concerned. In this study, investigation on degradation of HFPO oligomers to pentafluoropropionyl fluoride (PPF), a valuable industrial chemical, is reported. Different combinations of alkali metal fluoride in either diglyme or tetraglyme under both flask and batch autoclave conditions were examined. Under the optimal reaction conditions, HFPO oligomers (n = 2-10) were completely degraded to PPF in over 90% yield. Reactions on 200 g scale were tested and no deduction of efficiency was observed, which indicates the potential for practical industrial application of this chemistry.
  • Shu-Qi Wang, Qing-Wei Zhang, Xiao-Ling Wang, Xia-Xia Di, Xiao-Ning Wang, Hong-Xiang Lou
    中国化学快报. 2016, 27(07): 1013-1016. https://doi.org/10.1016/j.cclet.2016.03.039
    摘要 ( ) PDF全文 ( ) HTML 可视化 收藏
    Two new compounds, 11,11'-dimer of scopoletin (1) and 11-O-β-glucopyranosylhamaudol (2), together with seven known compounds were isolated and identified from the whole grass of Cicuta virosa. The chemical structures of the isolated compounds were elucidated using different spectroscopic methods. In addition, the chemical constituents were evaluated for multidrug resistance reversing activity towards doxorubicin-resistant K562/A02 cells. Compounds 1, 8, and 9 were endowed with remarkable MDR reversing effects.
  • Jian-Chang Gui, Zhi-Qiang Yan, Yuan Peng, Ji-Gao Yi, Da-Yang Zhou, Dan Su, Zhi-Hui Zhong, Guo-Wei Gao, Wan-Hua Wu, Cheng Yang
    中国化学快报. 2016, 27(07): 1017-1021. https://doi.org/10.1016/j.cclet.2016.04.021
    摘要 ( ) PDF全文 ( ) HTML 可视化 收藏
    The complexation behaviors of anthracenecarboxylic acid and water-soluble cationic pillararenes have been investigated by 1H NMR, UV-vis and ITC methods. The cationic pillar[6]arene was found to stepwise form 1:1 and 1:2 complexes, having a large K1 and a relatively small K2 values. Photocyclodimerization of AC within the pillar[6]arene improved the yield of the head-to-head photodimers. Up to 4.97 HH/HT ratio has been reached by optimizing the reaction conditions.
  • Dong Lu, Xiao-Chun Yang, Bing Leng, Xiao-Di Yang, Cong-Wu Ge, Xue-Shun Jia, Xi-Ke Gao
    中国化学快报. 2016, 27(07): 1022-1026. https://doi.org/10.1016/j.cclet.2016.05.003
    摘要 ( ) PDF全文 ( ) HTML 可视化 收藏
    A series of core-expanded naphthalene diimides (NDI-DTYM) and thiophene-based derivatives (1a-c) were designed and synthesized to investigate the relationship between molecular structures and the highest occupied molecular orbital (HOMO) energy levels but has little impact on the lowest unoccupied molecular orbital (LUMO) energy levels. The results demonstrated that increasing the number of thiophene units can gradually elevate the HOMO energy levels but had little impact on the LUMO energy levels. The n-channel organic field-effect transistors (OFETs) based on 1b and 1c have demonstrated that these almost unchanged LUMO energy levels are proper to transport electrons.
  • Li-Dan Hu, Yu-Lin Zhang, Hong Wang, Xing-Yue Peng, Yi Wang
    中国化学快报. 2016, 27(07): 1027-1031. https://doi.org/10.1016/j.cclet.2016.05.023
    摘要 ( ) PDF全文 ( ) HTML 可视化 收藏
    Glucagon exhibits insulinotropic ability by activating cAMP through glucagon or glucagon-like peptide-1 (GLP-1) receptors. To investigate the mechanism of endogenous and exogenous glucagon on insulin release, we studied the receptor selectivity on pancreatic islet beta-cells by switching the glucose concentration from 20 mmol/L to 0 mmol/L. To measure the exact temporal relationship between glucagon and insulin release, we developed a quick, small volume, multi-channel polydimethylsiloxane (PDMS) microchip. At 0 mmol/L glucose, we observed an insulinotropic effect in both INS-1 cells and islets. Meanwhile, we observed a 63 ± 6.27 s delay of endogenous glucagon-induced insulin release. After treatment with glucagon and GLP-1 receptor antagonists, we found that endogenous glucagon utilized the glucagon receptor, whereas exogenous glucagon primarily utilized the GLP-1 receptor to promote insulin secretion. The microchip can also be used to describe the “glucagonocentric” vision of diabetes pathophysiology. Taken together, the insulinotropic mechanism of different receptors should be taken into account in clinical treatments.
  • Qing-Fang Cheng, Jing-Wen Wang, Qi-Fa Wang, Zhou Liu
    中国化学快报. 2016, 27(07): 1032-1035. https://doi.org/10.1016/j.cclet.2016.03.007
    摘要 ( ) PDF全文 ( ) HTML 可视化 收藏
    Intermolecular Stetter reaction of aromatic aldehydes with (E)-(2-nitrovinyl)cyclohexane catalyzed by thiazolium A has been developed. The reaction rate and efficiency are profoundly impacted by the presence of thiourea B. The reaction affords moderate to good yields of the Stetter product. Some factors influencing yield were discussed.
  • Chun-Xian He, Zhi-Bo Jiang, Hua-Qing Cui, Da-Li Yin
    中国化学快报. 2016, 27(07): 1036-1039. https://doi.org/10.1016/j.cclet.2016.02.030
    摘要 ( ) PDF全文 ( ) HTML 可视化 收藏
    A new nucleophilic 1,3-rearrangement is observed when treating 2-methoxyquinolino-3-lithium with an α-C substituted deoxybenzoin, and this rearrangement yielded an unusual 3,4-disubstituted 3,4-dihydroquinoline. Several similar reactions were designed and executed to investigate this novel 1,3-rearrangement, and a mechanism involving a nucleophilic addition and a following 1,3-rearrangement with an unusual dearomatization on the quinoline ring is proposed.
  • Nahid Sabouri, Gholam Hossein Mahdavinia, Behrouz Notash
    中国化学快报. 2016, 27(07): 1040-1043. https://doi.org/10.1016/j.cclet.2016.03.015
    摘要 ( ) PDF全文 ( ) HTML 可视化 收藏
    A simple and versatile procedure for the combinatorial synthesis of (Z)-dialkyl-5-(alkylimino)-5Hspiro[ furan-2,11'-indeno[1,2-b]quinoxaline]-3,4-dicarboxylates via the catalyst-free one-pot fourcomponent reaction of ninhydrin, benzene-1,2-diamines, dialkyl acetylenedicarboxylates and isocyanides is described.
  • Hao Zhou, Ya-Bin Yang, Rong-Ting Duan, Xue-Qiong Yang, Ju-Cheng Zhang, Xiao-Guang Xie, Li-Xing Zhao, Zhong-Tao Ding
    中国化学快报. 2016, 27(07): 1044-1047. https://doi.org/10.1016/j.cclet.2016.03.018
    摘要 ( ) PDF全文 ( ) HTML 可视化 收藏
    Neopeapyran (1), an unusual furo[2,3b]pyran analogue, together with a new cyclopeptide, turnagainolide C (2), were isolated from Streptomyces sp. S2236 associated with the rhizosphere soil of Panax notoginseng. The planar structure and relative configuration of neopeapyran (1)) were elucidated on the basis of spectroscopic techniques, while the absolute configuration was determined by TDDFT calculation. The absolute configuration of turnagainolide C (2) was determined by partial hydrolysis, together with the advanced Marfey's method and spectroscopic analysis. The antimicrobial activities of these two compounds were also investigated.
  • Tao Li, Bin Wang, Nicole J. de Voogd, Xu-Li Tang, Qi Wang, Mei-Jun Chu, Ping-Lin Li, Guo-Qiang Li
    中国化学快报. 2016, 27(07): 1048-1051. https://doi.org/10.1016/j.cclet.2016.05.017
    摘要 ( ) PDF全文 ( ) HTML 可视化 收藏
    Two new N-methyladenine-containing diterpenes, nemoechines F (1) and G (2), were isolated from the South China Sea sponge Agelas aff. nemoechinata. The structures were assigned on the basis of spectroscopic date. Compound 2 showed weak activity against Jurkat cell lines with IC50 of 17.1 μmol/L.
  • Sheng Tang, Zong-Gen Peng, Xin Zhang, Xin-Yue Cheng, Wen-Jing Li, Jian-Dong Jiang, Ying-Hong Li, Dan-Qing Song
    中国化学快报. 2016, 27(07): 1052-1057. https://doi.org/10.1016/j.cclet.2016.03.006
    摘要 ( ) PDF全文 ( ) HTML 可视化 收藏
    A new series of 12-benzyl matrinic amide/ethanamide derivatives were synthesized from matrinine (1) and evaluated for their anti-HCV activity, taking compound 2 as the lead. SAR revealed that the introduction of a suitable substituent at the N'-end ofmatrinic amide might greatly enhance the potency. Among them, matrinic acid 17 and N'-substituted matrinic amides 18a-d exhibited promising potency with low micromolar EC50 values ranging from 1.03 μmol/L to 7.54 μmol/L, and better therapeutic window with SI from 66 to 132. Moreover, compound 17 displayed an excellent PK and safety profile in vivo, demonstrating good drug-like characteristics. Thus, it has been selected for further investigation, with an advantage of decreased chances of inducing drug-resistance mutations.
  • Mubarak H. Shaikh, Dnyaneshwar D. Subhedar, Vijay M. Khedkar, Prakash C. Jha, Firoz A. Kalam Khan, Jaiprakash N. Sangshetti, Bapurao B. Shingate
    中国化学快报. 2016, 27(07): 1058-1063. https://doi.org/10.1016/j.cclet.2016.03.014
    摘要 ( ) PDF全文 ( ) HTML 可视化 收藏
    A small focused library of eighteen new 1,2,3-triazole tethered acetophenones has been efficiently prepared via click chemistry approach and evaluated for their antifungal and antioxidant activity. The antifungal activity was evaluated against five human pathogenic fungal strains: Candida albicans, Fusarium oxysporum, Aspergillus flavus, Aspergillus niger, and Cryptococcus neoformans. Among the synthesized compounds, 9c, 9i, and 9p found to be more potent antifungal agents that the reference standard. These 1,2,3-triazole based derivatives were also evaluated for antioxidant activity, and compound 9h was found to be the most potent antioxidant as compared to the standard drug. Furthermore, molecular docking study of the newly synthesized compounds was performed and results showed good binding mode in the active site of fungal C. albicans enzyme P450 cytochrome lanosterol 14a-demethylase. Moreover, the synthesized compounds were also analyzed for ADME properties and showed potential as good oral drug candidates.
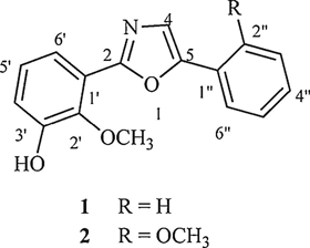
  • Shi-Ji Xiao, Da-Le Guo, Mao-Sheng Zhang, Shu-Ling Peng, Fang Chen, Yan Zhou, Li-Sheng Ding
    中国化学快报. 2016, 27(07): 1064-1066. https://doi.org/10.1016/j.cclet.2016.03.025
    摘要 ( ) PDF全文 ( ) HTML 可视化 收藏
    Two novel 2,5-diphenyl oxazole derivatives, named gymnothecaoxazoles A (1) and B (2), were isolated from the whole parts of endemic medicinal plant of Gymnotheca chinensis (Saururaceae). The structures of the new compounds were elucidated by extensive NMR and MS data, and the structure of compound 1 was further confirmed by X-ray crystal diffraction analysis.
  • Jaggi Lal, Sushil K. Gupta, D. Thavaselvam, Dau D. Agarwal
    中国化学快报. 2016, 27(07): 1067-1072. https://doi.org/10.1016/j.cclet.2016.03.032
    摘要 ( ) PDF全文 ( ) HTML 可视化 收藏
    Curcumin 3,4-dihydropyrimidinones/thiones/imines have been synthesized using one-pot cyclocondensation of curcumin with substituted aromatic aldehydes and urea/thiourea/guanidine in the presence of chitosamine hydrochloride as a biodegradable and nontoxic catalyst under solvent-free microwave irradiation. The synthesized product was purified by crystallization from ethanol and the process does not involve any hazardous solvent. All the synthesized curcumin derivatives 4a-o were screened for antioxidant and anti-inflammatory activity. Biological activity data of the synthesized showed that most of the synthesized compounds exhibited greater antioxidant and anti-inflammatory activity than curcumin.
  • Dan-Ting Tan, Xu Shao, Shu-Feng Pang, Yun-Hong Zhang
    中国化学快报. 2016, 27(07): 1073-1076. https://doi.org/10.1016/j.cclet.2016.02.019
    摘要 ( ) PDF全文 ( ) HTML 可视化 收藏
    FTIR-ATR technology is used to study the efflorescence kinetic of Na2SO4 and mixed Na2SO4/CTAB aerosols. As the RH decreased linearly, the ν3-SO4-2 band shifts from 1094 cm-1 to 1132 cm-1, suggesting the phase transition of Na2SO4 from solution to crystal phase (III). For pure Na2SO4 aerosols, the ERH is 75.1% RH, whereas the efflorescence point ofmixed Na2SO4/CTAB aerosols (74.2%) is lower. By further analysis of IR differential spectra, the ratio of Na2SO4 crystals in mixed aerosols is only 62.7% and the heterogeneous nucleation rate of Na2SO4 in Na2SO4/CTAB mixed aerosols is lower than that in pure Na2SO4 aerosols. They showed that CTAB assembled into reversed micelle and part Na2SO4 droplets are in the core to form core-shell structure, and CTAB shell prevents core Na2SO4 solutions from crystallizing. However, the counter ion Br- for CTAB reversed micelle can interact with Na+ ions, which decreases the crystallization rate of free Na2SO4 droplets and ERH is delayed.
  • Wei Sun, Zhao-Hui Wang, Meng-Yao She, Zheng Yang, Xi-Lang Jin, Ya-Qi Wang, Zhen Shi, Jian-Li Li
    中国化学快报. 2016, 27(07): 1077-1082. https://doi.org/10.1016/j.cclet.2016.03.009
    摘要 ( ) PDF全文 ( ) HTML 可视化 收藏
    The inclusion behaviors of three native or modified CDs including β-CD, 2-hydroxypropyl-β-CD (2-Hp-β-CD) and 2,6-dimethyl-β-CD (Me-β-CD) toward 5-amino-6-methyl-2-benzimidazolone (AMBI) were comparatively investigated by NMR and fluorescence titration in combination with IR spectra, X-ray diffractometry and scanning electron microphotographs. The experimental results jointly demonstrated that the phenyl ring of AMBI entered into the cavity of the CDs and located close to the narrow rims accompanied by the formation of the 1:1 inclusion complex with large stability constant in aqueous solution. The introduction of the hydroxypropyl unit to the host improved the solubility, ultimately effecting an obvious promoting in the fluorescence intensity and the stability constant.
  • Huan Su, Tie-Hong Chen
    中国化学快报. 2016, 27(07): 1083-1086. https://doi.org/10.1016/j.cclet.2016.03.010
    摘要 ( ) PDF全文 ( ) HTML 可视化 收藏
    PtSn2-SnO2/C nanocatalyst was prepared by co-reduction of Pt and Sn precursor at ca.15 ℃. The formation of PtSn2-SnO2 nanoparticle was determined by XRD, TEM and XPS characterization. This PtSn2-SnO2/C nanocatalyst exhibits stronger resistance to CO poisoning and effectively improves methanol electro-catalytic effect, up to 3 times than the commercial Pt/C catalyst.
  • Shuai Zhang, Feng-Chao Cui, Yong Cao, Yun-Qi Li
    中国化学快报. 2016, 27(07): 1087-1090. https://doi.org/10.1016/j.cclet.2016.04.013
    摘要 ( ) PDF全文 ( ) HTML 可视化 收藏
    Tannases produced by filamentous fungi are in a family of important hydrolases of gallotannins and have broad industry applications. But until now, the 3-D structures of fungi tannases have not been reported. The protein sequence deduced from the cDNA sequence obtained using RT-PCR amplification was identified as tannase through sequence alignment and phylogenetic analysis. Structure models based on the tannase sequence were collected using I-TASSER, and the model with the best match to the surface charge density-pH titration profile was selected as the final structure for tannase from Aspergillusniger N5-5. This work provides an effective method for protein structure research. The structure constructed in this work should be very important to understand the enzyme bioactivities and further developments of fungi tannases.
  • Yan Zhang, Wen-Li Gao, Zhi-Yuan Liu, Ya Jiang, Ke Duan, Bo Feng
    中国化学快报. 2016, 27(07): 1091-1096. https://doi.org/10.1016/j.cclet.2016.03.035
    摘要 ( ) PDF全文 ( ) HTML 可视化 收藏
    In this paper, the multilayer films of poly-L-lysine (PLL) and DNA were created on TiO2 nanotube surfaces using the layer-by-layer (LBL) self-assembly technique. Chemical compositions of the assembled multilayered films were investigated by X-ray photoelectron spectroscopy. Biological properties of the multilayered films were evaluated by the biomimetic mineralization and osteoblast cell culture experiments. The results indicated that PLL and DNA were successfully assembled onto TiO2 nanotube surfaces by electrostatic attraction. Moreover, the samples of assembled PLL or/and DNA had better bioactivity in inducing HA formation and promoting osteoblast cells adhesion, proliferation and early differentiation.