本期目录

2016年, 第27卷, 第06期 刊出日期:2016-06-22
  

  • 全选
    |
    综述
  • Chao Xie, Qi-Meng Wu, Ruo-Ning Li, Gao-Chen Gu, Xue Zhang, Na Li, Richard Berndt, Jörg Kröger, Zi-Yong Shen, Shi-Min Hou, Yong-Feng Wang
    中国化学快报. 2016, 27(06): 807-812. https://doi.org/10.1016/j.cclet.2016.03.022
    摘要 ( ) PDF全文 ( ) HTML 可视化 收藏
    To date, supramolecular chemistry is an ever growing research field owing to its crucial role in molecular catalysis, recognition, medicine, data storage and processing as well as artificial photosynthetic devices. Different isolated supramolecules were prepared by molecular self-assembly on surfaces. This review mainly focuses on supramolecular aggregations on noble metal surfaces studied by scanning tunneling microscopy, including dimers, trimers, tetramers, pentamers, wire-like assemblies and Sierpin′ ski triangular fractals. The variety of self-assembled structures reflects the subtle balance between intermolecular and molecule-substrate interactions, which to some extent may be controlled by molecules, substrates and the molecular coverage. The comparative study of different architectures helps identifying the operative mechanisms that lead to the structural motifs. The application of these mechanisms may lead to novel assemblies with tailored physicochemical properties.
  • 论文
  • Xue-Mei Li, Rui-Rui Zhao, Yu-Ling Wei, Dan Yang, Zhang-Jian Zhou, Jun-Feng Zhang, Ying Zhou
    中国化学快报. 2016, 27(06): 813-816. https://doi.org/10.1016/j.cclet.2016.04.001
    摘要 ( ) PDF全文 ( ) HTML 可视化 收藏
    A rhodamine-based sensor has been developed for the detection of mercuric ions. The colorimetric and fluorescence responses, allowing naked-eye detections, are based on Hg2+-induced opening of the rhodamine spirocycle. Among all the testes ions, only Hg2+ generated a significant fluorescence enhancement of up to 30'-fold, with a bright yellow-green emission. This sensor was a low toxic compound, and was successfully applied in the in vivo imaging of Hg2+ in Spill 2 cells and C. elegans. This approach provides a sensitive and accurate method for the estimation of Hg2+ in environmental, tobacco and biological applications.
  • Yun-Chang Zhang, Lan Chen, Hui Wang, Ya-Ming Zhou, Dan-Wei Zhang, Zhan-Ting Li
    中国化学快报. 2016, 27(06): 817-821. https://doi.org/10.1016/j.cclet.2016.03.041
    摘要 ( ) PDF全文 ( ) HTML 可视化 收藏
    Two naphthalene (NP) and bipyridinium (BIPY2+) alternately incorporated polymers P1 and P2 have been prepared through the formation of dynamic hydrazone bonds. The polymers formed NP-BIPY2+ donor-acceptor interaction-induced pleated secondary structure. Upon reducing the BIPY2+ units to radical cation BIPY·+, intramolecular dimerization of the BIPY·+ units induced the backbones to afford another pleated secondary structure. Adding electron-rich macrocyclic polyether bis-1,5-dinaphtho[38]crown-10 or electron-deficient cyclobis(paraquat-p-phenylene) cyclophane did not break the first foldamer by complexing the BIPY2+ or NP units of the polymers, whereas the di(radical cationic) ring of the second cyclophane could break the second foldamer by forming threading complexes with the BIPY·+ units of the polymers.
  • Xiao-Long Xu, Jia Zhao, Chun-Shan Lu, Tong-Tong Zhang, Xiao-Xia Di, Shan-Chuan Gu, Xiao-Nian Li
    中国化学快报. 2016, 27(06): 822-826. https://doi.org/10.1016/j.cclet.2016.01.014
    摘要 ( ) PDF全文 ( ) HTML 可视化 收藏
    Activated carbon-supported mercuric chloride (HgCl2) is used as an industrial catalyst for acetylene hydrochlorination. However, the characteristic of easy sublimation of HgCl2 leads to the deactivation of the catalyst. Here, we showed that the thermal stability of the Hg/AC catalyst can be evidently improved when CsCl is added into the Hg/AC catalyst. Compared with the pure Hg/AC catalyst, the sublimation rate of HgCl2 from the Hg-Cs/AC catalyst decreased significantly and the Hg-Cs/AC catalyst showed better catalytic activity and stability in the reaction. This promoting effect is related to the existence of cesium mercuric chlorides (CsxHgyClx+2y) highlighted by XRD, HR-TEM and EDX analyses. Thus, reacting HgCl2 with alkali chlorides to form alkali-mercuric chlorides may be a key to design highly efficient and thermally stable mercuric chloride catalyst for hydrochlorination reactions.
  • Lu-Lu Kong, Li-Yan Fan
    中国化学快报. 2016, 27(06): 827-831. https://doi.org/10.1016/j.cclet.2016.01.055
    摘要 ( ) PDF全文 ( ) HTML 可视化 收藏
    A series of bioactive quinazolinones were effectively synthesized by the condensation of halide benzamide with amino acid using magnetically recyclable GO/Fe3O4-CuI as catalyst. Magnetic GO/Fe3O4-CuIwas prepared via a simple chemical method and characterized by FTIR, powder XRD, and SEM. This heterogeneous copper catalyst can be easily separated from reaction mixtures by an external permanent magnet and reused without any obvious loss in activity which shows its applicability as a reusable and promising catalyst for quinazolinones synthesis.
  • Cheng-Wei Zhang, Lian-Bin Xu, Jian-Feng Chen
    中国化学快报. 2016, 27(06): 832-836. https://doi.org/10.1016/j.cclet.2016.02.025
    摘要 ( ) PDF全文 ( ) HTML 可视化 收藏
    Three-dimensionally (3D) ordered mesoporous carbon sphere arrays (OMCS) are explored to support high loading (60 wt%) Pt nanoparticles as electrocatalysts for the methanol oxidation reaction (MOR). The OMCS has a unique hierarchical nanostructure with ordered large mesopores and macropores that can facilitate high dispersion of the Pt nanoparticles and fast mass transport during the reactions. The prepared Pt/OMCS exhibits uniformly dispersed Pt nanoparticles with an average size of 2.0 nm on the mesoporous walls of the carbon spheres. The Pt/OMCS catalyst shows significantly enhanced specific electrochemically active surface area (ECSA) (73.5 m2 g-1) and electrocatalytic activity (0.69 mA cm-2) for the MOR compared with the commercial 60 wt% Pt/C catalyst.
  • Nadereh Rahbar, Zahra Ramezani, Jamalaldin Ghanavati
    中国化学快报. 2016, 27(06): 837-842. https://doi.org/10.1016/j.cclet.2016.04.017
    摘要 ( ) PDF全文 ( ) HTML 可视化 收藏
    In this research, copper oxide nanoparticles modified carbon paste electrode was developed for the voltammetric determination of lidocaine. The square wave voltammogram of lidocaine solution showed a well-defined peak between +0.5 and +1.5 V. Instrumental and chemical parameters influencing voltammetric response were optimized by both one at a time and Box-Behnken model of response surfacemethodology. The results revealed that there was no significant difference between twomethods of optimization. The linear range was 1-2500 mmol L-1(Ip = 0.11CLH + 17.38, R2 = 0.999). The LOD and LOQ based on three and ten times of the signal to noise (S/N) were 0.39 and 1.3 mmol L-1 (n = 10), respectively. The precision of the method was assessed for 10 replicate square wave voltammetry (SWV) determinations each of 0.05, 0.5 and 1 mmol L-1 of lidocaine showing relative standard deviations 4.1%, 3.7% and 2.1%, respectively. The reliability of the proposed method was established by application of the method for the determination of lidocaine in two pharmaceutical preparations, namely injection and gel.
  • Sheng Liu, Xiao-Lin Zhou, Meng-Meng Zhang, Xuan Lu, Yu-Jun Qin, Pu Zhang, Zhi-Xin Guo
    中国化学快报. 2016, 27(06): 843-846. https://doi.org/10.1016/j.cclet.2016.01.019
    摘要 ( ) PDF全文 ( ) HTML 可视化 收藏
    The layer-by-layer assembly of polyethyleneimine and carbon nanotubes is carried out through the electrostatic interactions on colloidal polystyrene templates. The successful spherical growth of polyethyleneimine/carbon nanotube multilayers could be investigated by SEM. The subsequent in situ preparation and deposition of gold nanoparticles on the core-shell composites could yield novel microsphere complexes, which are characterized by SEM, TEM, EDX and XRD. The functional hierarchical microspheres with gold nanoparticles exhibit good catalytic activity in the reaction of reducing 4-nitrophenol to 4-aminophenol.
  • Foroogh Keshvari, Morteza Bahram, Khalil Farhadi
    中国化学快报. 2016, 27(06): 847-851. https://doi.org/10.1016/j.cclet.2016.01.022
    摘要 ( ) PDF全文 ( ) HTML 可视化 收藏
    A new convenient colorimetric sensor for fructose based on anti-aggregation of citrate-capped gold nanoparticles (AuNPs) is presented. 4-Mercaptophenylboronic acid (MPBA) induces the aggregation of AuNPs, leading to a color change from red to blue. Fructose as a potent competitor has strong affinity for MPBA and a borate ester is formed between MPBA and fructose. There is an obvious color change from blue to red with increasing the concentration of fructose. The anti-aggregation effect of fructose on AuNPs was seen by the naked eye and monitored by UV-vis spectra. Our results showed that the absorbance ratio (A519/A640) was linear with fructose concentration in the range of 0.032-0.96 mmol/L (R2 = 0.996), with a low detection limit of 0.01 mmol/L (S/N = 3). Notably, a highly selective recognition of fructose was shown against other monosaccharide and disaccharide (glucose, mannose, galactose, lactose and saccharose). With anti-aggregation assays higher selectivity is achievable. The results of this work provide a rapid method for evaluating the quantitative analysis of fructose in human plasma at physiologically meaningful concentrations and at neutral pH. The proposed procedure can be used as an efficient method for the precise and accurate determination of fructose.
  • Zhi-Jian Liao, Si-Nan Du, Yang Luo, Fang Zuo, Jian-Bin Luo
    中国化学快报. 2016, 27(06): 852-856. https://doi.org/10.1016/j.cclet.2016.01.025
    摘要 ( ) PDF全文 ( ) HTML 可视化 收藏
    In this study, liquid crystal (LC) was used to study the interactions of alkyl polyglycosides (APG) with gelatin and bovine serum albumin (BSA) at the LC-aqueous interface. The LC easily undergo an orientational transition from a homeotropic to a planar state after proteins were in contact to the LCaqueous interface decorated with APG, thus inducing an optical change from dark to bright. The optical image analysis reveals that the rearrangement rate of APG monolayer is tightly dependent on the concentration and chemical structure of the protein of interest. For example, the rearrangement rate of APG monolayer increases with an increasing gelatin concentration. We also find that the chemical structure of the proteins has a significant impact on the difference in the growth behavior of bright domains in LC.
  • Fatehy M. Abdel-Haleem, Mohamed Saad, Mohamed S. Rizk
    中国化学快报. 2016, 27(06): 857-863. https://doi.org/10.1016/j.cclet.2016.01.027
    摘要 ( ) PDF全文 ( ) HTML 可视化 收藏
    Potentiometric electrodes were developed for the rapid determination of proguanil hydrochloride in pure samples, pharmaceutical preparations and spiked serum and urine samples using PVC membrane, screen printed (SPE), coated wired (CWE), carbon paste (CPE) and modified carbon paste (MCPE) electrodes based on the ion-exchanger of proguanil with phosphotungestic acid (Pr-PT) as a chemical modifier. The prepared electrodes showed Nernestian slopes of 59.7, 58.1, 58.5, 58.5 and 57.0 for the PVC, SPE, CWE, CPE and MCPE for the proguanil ions in a wide concentration range of 1.0×10-6-1.0×10-2 mol L-1 at 25 ℃ with detection limits of 7.94×10-6, 1.0×10-6, 1.0×10-6, 7.07×10-6 and 2.5×10-6 mol L-1, respectively. The prepared electrodes exhibited high proguanil selectivity in relation to several inorganic ions and sugars and they could be successfully utilized for its determination in pure solutions, pharmaceutical preparations and serum and urine samples using the direct potentiometry and standard addition methods with very good recovery values.
  • Bin-He Zhu, Cheng-Zhu Ni, Na-Ni Wang, Xun-Yan Zhao, Wei-Qiang Guo, Pei-Min Zhang, Jia-Jie Zhang, Su-Qing Chen, Wei-De Lv, Yan Zhu
    中国化学快报. 2016, 27(06): 864-866. https://doi.org/10.1016/j.cclet.2016.01.037
    摘要 ( ) PDF全文 ( ) HTML 可视化 收藏
    A sensitive and accurate method based on ion chromatography was established for determination of five lithium salts in lithium-ion batteries electrolytes. Chromatographic analyses were carried out on an anion exchange column at flow rate of 1 mL/min. Under the optimal conditions, five target anions (BF4-, PF6-, TFSI-, BOB- and FSI-) exhibited satisfactory linearity with a correlation coefficient of 0.9996. The relative standard derivations of the target anions were less than less than 0.94% (n = 7). The limits of detections were in the range of 0.068-0.29 mg/L with average spiked recoveries ranging from 96.8% to 105.1%.
  • Jing Li, Yan Xu, Wei Yue, Yan Chen, Xi-Hua Dub, Shao-Rong Wang
    中国化学快报. 2016, 27(06): 867-870. https://doi.org/10.1016/j.cclet.2016.01.031
    摘要 ( ) PDF全文 ( ) HTML 可视化 收藏
    In this work, Bi2Ti2O7/TiO2 composites were synthesized and studied as potential visible-light-activated photocatalysts in the reduction of aqueous Cr(VI). Bi2Ti2O7/TiO2 composites with tunable compositions were synthesized via a solvothermal-calcination two-step method, simply by changing the molar ratios of Bi(NO3)3·5H2O to tetrabutyl titanate in the reactants. The compositions, structures and optical properties of the as-synthesized Bi2Ti2O7/TiO2 composites were characterized by X-ray diffraction, field emission scanning electron microscopy and UV-vis diffuse reflectance spectra. The photocatalytic activity of the as-synthesized Bi2Ti2O7/TiO2 composites was tested in the reduction of aqueous Cr(VI) under visible-light (λ > 420 nm) irradiation, and compared with that of TiO2 nanoparticles. It was observed that the as-synthesized Bi2Ti2O7/TiO2 composites exhibited much higher photocatalytic activity than TiO2 nanoparticles, and the most efficient composite (300 mg) can achieve the complete reduction of Cr(VI) in 300 mL of 50 mg/L K2Cr2O7 aqueous solution under visible-light (λ > 420 nm) irradiation in 90 min.
  • Cui-Cui Zhuang, Jia Feng, Hong Xu, Ling Li, Xiao-Wei Liu
    中国化学快报. 2016, 27(06): 871-874. https://doi.org/10.1016/j.cclet.2016.01.034
    摘要 ( ) PDF全文 ( ) HTML 可视化 收藏
    Boron nitride nanotube (BNNT) films were synthesized by combining ball milling and thermal chemical vapor deposition (CVD) using nano-Fe3O4 as a catalyst. The as-produced BNNTs have a bamboo-like structure and have a diameter in the range of 50~200 nm with an average length of more than 40 mm. Moreover, BNNT nanojunction structures were synthesized. The structure and morphology of the BNNTs were characterized by XRD, SEM, TEM and HRTEM. The possible growth mechanism of BNNTs and BNNT nanojunction structures were proposed. Though the BNNT films were observed, out of our expectation, BNNTs with thin tube wall and small average diameter have not been achieved, and this could be mainly ascribed to the aggregation of the nanoparticle catalyst, resulting in greater catalyst particles during the process of BNNT growth. This result will provide a promising approach to obtain the desired shape of BNNTs and produce branched junctions of BNNTs.
  • Bing-Tao Wang, Fu-De Lu, Feng Xu, Yu-Zhan Li, Michael R. Kessler
    中国化学快报. 2016, 27(06): 875-878. https://doi.org/10.1016/j.cclet.2016.01.030
    摘要 ( ) PDF全文 ( ) HTML 可视化 收藏
    Two kinds of difunctionalized isosorbide derivatives containing norbornene groups were designed and synthesized by a facile one-step reaction under mild conditions. 1 H NMR spectroscopy confirmed the chemical composition and differential scanning calorimetry (DSC) revealed the distinct curing behaviors between conventional petroleum-based dicyclopentadiene (DCPD) and synthesized renewable isosorbided-based monomer (ISN). In contrast to DCPD, ISN was low viscous liquid at room temperature and had even higher reactivity to perform ring-opening metathesis polymerization (ROMP) in the presence of Grubbs' catalyst. Due to the presence of flexible and elastic Si-C long chains, the cured poly(ISN) thermosets not only had good mechanical properties but also exhibited much higher storage modulus at the rubbery state in comparison with traditional poly(DCPD).
  • Huan-Ren Cheng, Ying Qian
    中国化学快报. 2016, 27(06): 879-886. https://doi.org/10.1016/j.cclet.2016.01.039
    摘要 ( ) PDF全文 ( ) HTML 可视化 收藏
    In this study, two novel dual-switch fluorescent chemosensors based on rhodamine-peryleneiimide have been designed and synthesized. The dual-switching behaviors of the sensors were based on the structural transformations of rhodamine and an intramolecular photoinduced electron transfer (PET) process from rhodamine to perylenediimide. These probes exhibited excellent sensitivity to protons with enhanced fluorescence emission from 500 nm to 580 nm. The fluorescence changes of probes were reversible within a wide range of pH values from 2.0 to 11.0. Moreover, the sensors exhibited high selectivity, short response time, and long lifetime toward protons. The possible mechanism was investigated by the DFT calculation and 1 H NMR. According to the experiment of confocal laser scanning microscopy, these probes could be used to detect the acidic pH variations in living cells.
  • Yong-Tao Zuo, Jun Peng, Gang Li, Li Liu, Zhi-Song Han, Gang Wang
    中国化学快报. 2016, 27(06): 887-890. https://doi.org/10.1016/j.cclet.2016.02.003
    摘要 ( ) PDF全文 ( ) HTML 可视化 收藏
    Hollow Fe3O4 (H-Fe3O4) microspheres were fabricated through a facile one-step solvothermal synthesis, which was performed in an ethylene glycol (EG)-diethylene glycol (DEG) mixed solvent using polyethylene glycol (PEG) as the stabilizer. The addition of DEG increased the viscosity of the system, which caused the Fe3O4 primary crystal to aggregate slower and the morphological yield to approach nearly 100%. The as-prepared hollow Fe3O4 microspheres show promise for application in lithium ion battery anodes and showed a reversible specific capacity of 453.3 mAh g-1 after 50 cycles at 100 mA g-1. 2016 Chinese Chemical Society and Institute of Materia Medica, Chinese Academy of Medical Sciences.
  • Yan Yang, Yang Zhang, Jin-Chao Shen, Hong Yang, Zhi-Guo Zhou, Shi-Ping Yang
    中国化学快报. 2016, 27(06): 891-895. https://doi.org/10.1016/j.cclet.2016.01.060
    摘要 ( ) PDF全文 ( ) HTML 可视化 收藏
    A magnetic sensor for detection of Pb2+ has been developed based on Fe/Fe3O4 nanoparticles modified by 3-(3,4-dihydroxyphenyl)propionic acid (DHCA). The carboxyl groups of DHCA have a strong affinity to coordination behavior of Pb2+ thus inducing the transformation of Fe/Fe3O4 nanoparticles from a dispersed to an aggregated state with a corresponding decrease, then increase in transverse relaxation time (T2) of the surrounding water protons. Upon addition of the different concentrations of Pb2+ to an aq. solution of DHCA functionalized Fe/Fe3O4 nanoparticles (DHCA-Fe/Fe3O4 NPs) ([Fe] = 90 mmol/L), the change of T2 values display a good linear relationship with the concentration of Pb2+ from 40 mmol/L to 100 mmol/L and from 130 mmol/L to 200 mmol/L, respectively. Owing to the especially strong interaction between DHCA and Pb2+, DHCA-Fe/Fe3O4 NPs exhibited a high selectivity over other metal ions.
  • Mahjouba Ben Nasr, Kamel Kaabi, Matthias Zeller, Wataru Fujita, Pedro Sidónio Pereira da Silva, Cherif Ben Nasr
    中国化学快报. 2016, 27(06): 896-900. https://doi.org/10.1016/j.cclet.2016.02.024
    摘要 ( ) PDF全文 ( ) HTML 可视化 收藏
    The chemical preparation, crystal structure and infrared spectroscopic characterization of the triaqua(4-amino-6-methoxypyrimidine) cuprate(II) sulfate, [Cu(C5H7N3)(H2O)3]SO4, is reported. The compound crystallizes in the noncentrosymmetric orthorhombic space group P212121 with lattice parameters a = 7.9025(3), b = 11.1189(4), c = 12.9720(4)Å, V = 1139.81(7)Å3 and Z = 4. The Cu(II) cation is fivecoordinated, in an early half-way between square pyramidal and trigonal bipyramidal fashion, by two nitrogen atoms of the 4-amino-6-methoxypyrimidine ligand and three water oxygen atoms. In the atomic arrangement, the organic ligands and the 5-connected Cu centers are linked with each other to give a 1-D corrugated hybrid chain running along the b-axis direction. The chains are interconnected by the SO42- anions via O-H…O,O-H…S,C-H…O and N-H…O hydrogen bonds to formlayers spreading parallel to the (011) plane. The vibrational absorption bands were identified by infrared spectroscopy. Quantitative measurements of the second harmonic generation (SHG) of a powdered sample at 1064 nm were performed and a relative efficiency of 5.2 times the KDP standard was observed. Magnetic properties were also defined to characterize the complex. Magnetic measurements revealed that this material had a onedimensional antiferromagnetic character. The magnetic parameters were g = 2.11 and 2J/kB = -36 K.
  • Ting Wu, Xiao-Hui Yang, Chuan-Jing Zhang, Zhen-Ping Wang, Yi-Ping Du
    中国化学快报. 2016, 27(06): 901-904. https://doi.org/10.1016/j.cclet.2016.02.020
    摘要 ( ) PDF全文 ( ) HTML 可视化 收藏
    Quantification of a mixture of peptides in solution was achieved by disposable patterned hydrophilic chip based matrix-assisted laser desorption/ionization mass spectrometric imaging (MALDI MSI). Compared with other quantitative methods for peptides in solution, this method is label-free and does not require separation of the multiple components of the solution before analysis. Uniform hydrophilic spots and high mass accuracy measurements provided confident identification and quantitative analysis of imaged compounds. The linear correlation between concentration and grayscale of image in the range of 5 fmol/mL to 1 pmol/mL was obtained for all four peptides. Good sensitivity and excellent reproducibility were also achieved. The method expands the application of MALDI MSI from tissues to solutions.
  • Wei-Wei Liu, Yi-Si Feng, Guang-Yu Wanga, Wei-Wei Jiang, Hua-Jian Xu
    中国化学快报. 2016, 27(06): 905-909. https://doi.org/10.1016/j.cclet.2016.02.026
    摘要 ( ) PDF全文 ( ) HTML 可视化 收藏
    In this work, Pd-Cu/γ-Al2O3 is prepared by the impregnation method and investigated for selective oxygenization of cyclopentene to cyclopentanone. A series of bimetallic Pd-Cu/g-Al2O3 nanocatalysts were prepared and the structures characterized by XRD, XPS and TEM. We determined that the obtained Pd-Cu/γ-Al2O3 (molar ratio Pd:Cu = 5:1) was an efficient catalyst for the oxygenization of cyclopentene to cyclopentanone with >95% selectivity and >85% conversion (100 ℃, 1 MPa initial O2 pressure, 7 h).
  • Yi-Feng Zhu, Feng-Jiao Jiang, Pan-Pan Zhang, Jiao Luo, Hua-Dong Tang
    中国化学快报. 2016, 27(06): 910-914. https://doi.org/10.1016/j.cclet.2016.02.029
    摘要 ( ) PDF全文 ( ) HTML 可视化 收藏
    ATRP, as one of the most successful controlled/"living" radical polymerization techniques, has been applied to a large variety of monomers including styrenes, (meth)acrylates, (meth)acrylamides, acrylonitrile, and vinyl acetate. However, ATRP of isoprene still remains a challenge due to poor solubility of copper catalysts in isoprene and low chain propagation rate constant of the monomer. In this work, CuBr/2,2'-bipyridine was found to effectively mediate ATRP of isoprene at 100 ℃, 130 ℃, and 150 ℃ with ethyl 2-bromopropionate as an initiator. The polymerizations proceeded smoothly and reached 48.1%, 53.3%, and 71.0% conversions, respectively, in 72 h, producing polyisoprenes with molecular weights close to theoretical values and relatively narrow distributions. A block copolymer of polystyrene-bpolyisoprene was prepared using CuBr/2,2''-bipyridine as a catalyst and polystyrene as amacroinitiator. The 1H NMR and 13C NMR analysis of polyisoprene indicated that the polymer had 88.8% 1,4-addition structure and 63.9% of the polymer backbone units were in trans-configuration.
  • Ru Ding, Yong Jian, Hong Kan, Zhong-Ying Liu, Shu Liu, Zhi-Qiang Liu, Jun Zhou
    中国化学快报. 2016, 27(06): 915-919. https://doi.org/10.1016/j.cclet.2016.03.001
    摘要 ( ) PDF全文 ( ) HTML 可视化 收藏
    In this study, the Caco-2 cell monolayer model was used to research the characteristic absorption and efflux of five diterpenoid alkaloids in Gancaofuzi decoction. An ultra performance liquid chromatography coupled with tandem mass spectrometry (UPLC-MS/MS) method was developed for the determination of the simulated intestinal transport of five diterpenoid alkaloids with reserpine as internal standard. The use of the apparent permeability coefficient (Papp) and efflux rate (Er) was instituted to evaluate the intestinal absorption of the alkaloids. Transport of the five alkaloids in Caco-2 cell monolayer model was observed to better understand whether the intestinal absorption of alkaloids was influenced by the compatibility of four herbs in Gancaofuzi decoction. The results show that the Papp values of the five diterpenoid alkaloids were all more than 1×10-6 cm/s, confirming that the processes of permeability were valid. The flux of the alkaloids was time-dependent, and the intestinal absorption mechanism of the five alkaloids was mainly based on passive transport. The compatibility of Heishunpian, Baizhu, Guizhi and Gancao can reduce the intestinal absorption of alkaloids, especially the most toxic hypaconitine, and the attenuated effect of mixed herbal water extracts was better than that of different herbs' water extracts combination. The results prove that compatibility of four herbs in Gancaofuzi decoction is rational.
  • Xian-Ming Fu, Zhi-Jing Liu, Shu-Xian Cai, Yan-Ping Zhao, Dong-Zhi Wu, Chun-Yan Li, Jing-Hua Chen
    中国化学快报. 2016, 27(06): 920-926. https://doi.org/10.1016/j.cclet.2016.04.014
    摘要 ( ) PDF全文 ( ) HTML 可视化 收藏
    In this paper, the DNA-templated Ag/Pt bimetallic nanoclusters were successfully synthesized using an optimized synthetic scheme. The obtained DNA-Ag/Pt NCs have an ultrasmall particle size and excellent distribution. The DNA-Ag/Pt NCs show intrinsic peroxidase-mimicking activity and can effectively catalyze the H2O2-mediated oxidation of a substrate, 3,3',5,5'-tetramethylbenzidine (TMB), to produce a blue colored product. Based on this specific property, we employed the aptamer of VEGF to design a label-free electrochemical biosensor for VEGF detection. Under the optimized experimental conditions, a linear range from 6.0 pmol/L to 20 pmol/L was obtained with a detection limit of 4.6 pmol/L. The proposed biosensor demonstrated its high specificity for VEGF and could directly detect the VEGF concentration in human serum samples of breast cancer patients with satisfactory results. This novel electrochemical aptasensor was simple and convenient to use and was cost-effective and label-free in design, and would hold potential applications in medical diagnosis and treatment.
  • Yun Wua, Xin Li
    中国化学快报. 2016, 27(06): 927-932. https://doi.org/10.1016/j.cclet.2016.04.010
    摘要 ( ) PDF全文 ( ) HTML 可视化 收藏
    In this work, we investigated the impact of bridge unit on their photo-physical and photovoltaic performance. Increased planarity of the dyes effectively extended the absorption, but reduces the efficiency. Interestingly we found that dyes with a thiophene conjugate unit showed inferior performance when compared with benzene. Theoretical computation indicates a large dihedral angle in the latter system. EIS analysis evidenced the severe recombination in the thiophene-based dye, showing that good planarity may lead to dye aggregation and decrease the efficiency.
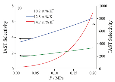
  • Bo Yang, Yan Liu, Ming Li
    中国化学快报. 2016, 27(06): 933-937. https://doi.org/10.1016/j.cclet.2016.01.017
    摘要 ( ) PDF全文 ( ) HTML 可视化 收藏
    The adsorption method based on solid adsorbents is one of feasible ways to capture and store CO2. Using the ion exchange method, different zeolites NaKA varying in K+ content were produced. The adsorption isotherms and kinetic uptakes were measured. The experimental results show that the optimal NaKA could adsorb significant quantities of CO2 and little N2. On the zeolite NaKA with 14.7 at.% K+, the adsorption capacity for pure CO2 is over 3.10 mmol g-1 and the CO2-N2 selectivity is about 149 at ambient pressure and temperature. The kinetic CO2-N2 selectivity could also achieved 200 within 3 min according to the uptake data. To demonstrate the separation effectiveness, breakthrough curves of pure components and binary mixtures were investigated experimentally and theoretically in a fixed bed. It is found that the breakthrough points of CO2 and N2 are almost at the same time under the atmospheric pressure at 348 K with the raw gas composition CO2/N2 (20:80, v/v). If the pressure has been increased higher than 0.1 MPa, CO2 would break through the bed much slower than N2. Therefore, the pressure may become the limiting factor for the separation performance of zeolites NaKA.
  • Hua Chen, Shun-Kai Xing, Fang Gao, Na Li, Xiao-Liu Li, Ming Meng
    中国化学快报. 2016, 27(06): 938-942. https://doi.org/10.1016/j.cclet.2016.01.041
    摘要 ( ) PDF全文 ( ) HTML 可视化 收藏
    Several novel C-pseudonucleosides containing thiazolidin-4-one and phenyl connected by acetamide bond were rationally designed and easily synthesized at room temperature by using the unprotected sugar aldehyde as the starting material. The effects of the compounds on Con A-induced T cell proliferation were evaluated at five concentrations of 5, 10, 25, 50, and 100 mmol/L Interestingly, compounds 7a and 8a (n = 2, R = H) exhibited immunostimulating activities, while compounds 5a, 6a (n = 1, R = H) and 7b, 8b (n = 2,R = CH3) showed immunosuppressive activities. Another two compounds 5b and 6b (n = 1,R = CH3) had no immunomodulating activities. These initial biological results suggested that subtle structural changes to the phenyl and acetamide bond of C-pseudonucleosides could have a significant effect on T cell proliferation bias, although it was difficult to formulate a rigorous structureactivity relationship based on the observed activities.
  • Pogula Sreekanth Reddy, Motakatla Venkata Krishna Reddy, Peddiahgari Vasu Govardhana Reddy
    中国化学快报. 2016, 27(06): 943-947. https://doi.org/10.1016/j.cclet.2016.01.046
    摘要 ( ) PDF全文 ( ) HTML 可视化 收藏
    A series of camphor-derived thiourea organocatalysts 3a-f were designed and synthesized from (1R,3S)-camphoric acid 1 and applied to the one-pot three-component Kabachnik-Fields reaction. Catalyst 3c was found to be an efficient organocatalyst for the reaction of 2-cyclopropylpyrimidin-4-carbaldehyde 4, various amines 5, and diphenylphosphite 6 to yield the corresponding enantioselective a-aminophosphonates 7a-e in 74%-82% yields and 14%-35% ee.
  • Jian Wu, Yun-Ying Zhu, Yong-Hui Zhao, Wei-Li Shan, De-Yu Hu, Ji-Xiang Chen, Deng-Yue Liu, Xiang-Yang Li, Song Yang
    中国化学快报. 2016, 27(06): 948-952. https://doi.org/10.1016/j.cclet.2016.01.051
    摘要 ( ) PDF全文 ( ) HTML 可视化 收藏
    A series of 1,5-diaryl-1,4-pentadien-3-one derivatives bearing an emodin group were designed and synthesized by the combination of natural products. The antiviral activities against tobacco mosaic virus (TMV) and cucumber mosaic virus (CMV) in vivo were evaluated. Some of the derivatives displayed promising curative effect and protective activity against TMV. Compound D5 showed appreciable curative bioactivity on TMV approximately of 50% at 306.2 mg/mL, which was superior to ningnanmycin (409.3 mg/mL).
  • Dao-Lin Wang, Dong Wang, Liang Yan, Guang-Yu Pan, Jian-Nan Yang
    中国化学快报. 2016, 27(06): 953-956. https://doi.org/10.1016/j.cclet.2016.02.007
    摘要 ( ) PDF全文 ( ) HTML 可视化 收藏
    An efficient method for the synthesis of novel pyrido[3'',2'':4',5']thieno[3',2':2,3]pyrido [4,5:d][1,3]thiazolo[3,2-a]pyrimidine-4-one derivatives (5) has been developed using a Pictet-Spengler reaction between 2-(3-aminothieno[2,3-b]pyridin-2-yl)thiazolo[3,2-a] pyrimidin-5-one (3), which could be obtained from the condensation of 7-(chloromethyl)-5H-thiazolo[3,2-a]pyrimidin-5-one (1) with 3-cyanopyridine-2-thione (2) via Thorpe-Ziegler isomerization, and aromatic aldehydes under NH2SO3H as catalysis in good yields.
  • Min Zhang, Ji-Mei Liu, Jin-Lian Zhao, Ning Li, Ri-Dao Chen, Ke-Bo Xie, Wen-Jing Zhang, Ke-Ping Feng, Zheng Yan, Nan Wang, Jun-Gui Dai
    中国化学快报. 2016, 27(06): 957-960. https://doi.org/10.1016/j.cclet.2016.02.008
    摘要 ( ) PDF全文 ( ) HTML 可视化 收藏
    Two new harziane diterpenoids, named (9R,10R)-dihydro-harzianone (1) and harzianelactone (2), were isolated from the endophytic fungus Trichoderma sp. Xy24 by using various column chromatography techniques. Their structures were determined on the basis of extensive spectroscopic (HR-ESI-MS, 1D NMR, 2D NMR and CD) analyses. Among them, 1 was the reductive product of harzianone and 2 was the Baeyer-Villiger monooxygenase catalyzed oxidation product of harzianone. Compound 1 exhibited cytotoxic activity against HeLa and MCF-7 cell lines with IC50 values of 30.1 mmol/L and 30.7 mmol/L, respectively.
  • Jia-Kuo Liu, Wei Gu, Xiao-Rui Cheng, Jun-Ping Cheng, Ai-Hua Nie, Wen-Xia Zhou
    中国化学快报. 2016, 27(06): 961-963. https://doi.org/10.1016/j.cclet.2016.02.006
    摘要 ( ) PDF全文 ( ) HTML 可视化 收藏
    Based on the lead compounds 1 and 2, a series of novel BACE1 inhibitors were designed and synthesized, among which compound 9h exhibited a 60 fold improvement in potency over the lead compound 1. This represents a good lead for the discovery of more promising BACE1 inhibitors for the potential treatment of AD. The result also showed that the prop-2-yn-1-yloxy is a suitable fragment for modification of cyclic acylguanidine BACE1 inhibitors.
  • Xue-Dong Zhang, Na Gao, Zhi Guan, Yan-Hong He
    中国化学快报. 2016, 27(06): 964-968. https://doi.org/10.1016/j.cclet.2016.02.013
    摘要 ( ) PDF全文 ( ) HTML 可视化 收藏
    An unprecedented enzyme-catalyzed asymmetric domino aza-Michael/aldol reaction of 2-aminobenzaldehyde and α,β-unsaturated aldehydes is achieved. Pepsin from porcine gastric mucosa provided mild and efficient access to diverse substituted 1,2-dihydroquinolines in yields of 38%-97% with 6%-24% enantiomeric excess (ee). This work not only provides a novel method for the synthesis of dihydroquinoline derivatives, but also promotes the development of enzyme catalytic promiscuity.
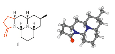
  • Yu Tang, Juan Xiong, Yike Zou, Bastien Nay, Li-Jun Wang, Jin-Feng Hu
    中国化学快报. 2016, 27(06): 969-973. https://doi.org/10.1016/j.cclet.2016.02.014
    摘要 ( ) PDF全文 ( ) HTML 可视化 收藏
    One novel (named palcernuine, 1) and five known cernuane-type (2-6) alkaloids were isolated from the whole plant of Palhinhaea cernua f. sikkimensis. The structure of 1, possessing an unprecedented [5/6/6/6]-tetracyclic ring system containing two nitrogen atoms, was established on the basis of spectroscopic methods, and its absolute configuration was determined by comparison of the experimental and calculated electronic circular dichroism (ECD) spectra. A plausible biosynthetic pathway to 1 is proposed.
  • Sobhan Rezayati, Eshagh Rezaee Nezhad, Rahimeh Hajinasiri
    中国化学快报. 2016, 27(06): 974-978. https://doi.org/10.1016/j.cclet.2016.02.015
    摘要 ( ) PDF全文 ( ) HTML 可视化 收藏
    In this study, 1-(1-alkylsulfonic)-3-methylimidazolium chloride as a new, green, and reusable Brønsted acid catalyst was prepared. In this protocol, we used for the regioselective ring-opening reactions of various epoxiodes with sodium azide to afford the corresponding β-azido alcohols in excellent yields and short reaction time under mild and neutral reaction conditions. This method offers several advantages including excellent regioselectivity, clean reactions, simple work-up procedure, a recyclable catalyst, and use of an eco-friendly catalyst.
  • Chun-Lan Liu, Yang Li, Gui-Yun Xu, Ya-Shuang Li
    中国化学快报. 2016, 27(06): 979-983. https://doi.org/10.1016/j.cclet.2016.01.061
    摘要 ( ) PDF全文 ( ) HTML 可视化 收藏
    A water-soluble polysaccharide, HM41, was obtained from Halenia elliptica D. Don by acidic ethanol fractionation and gel filtration. Its homogeneity was confirmed by chromatography using multiple systems. HM41 was composed of rhamnose (Rha), arabinose (Ara), xylose (Xyl), mannose (Man), galactose (Gal), glucose (Glc) with a molar ratio of 1.0:5.5:1.8:3.0:9.4:21. The average molecular weight of HM41 was approximately 1.17 × 104 . Periodate oxidation, Smith degradation, methylation and GC, IR, NMR, XRD, GC-MS analysis were used for the structural analysis of HM41. Its main chain was composed mainly of β-(1→4)Gal, β-(1→4)Glc and β-(1→6)Glc. β-(1→4)Gal were substituted at 6-O and on average there were 14 branches among 23 main chain residues; (1→4)Glc had no branch; (1→6)Glc were substituted at 3-O and on average there were 9 branches among 14 main chain residues. The side chain was composed of (1→3,6)-Rha, (1→4)/(1→5)-Ara, (1→4)/(1→5)-Xyl, (1→4,6)-Man and (1→2)-Glc. The terminal residue was composed of Ara, Xyl, Man, Gal, and Glc. Then, we demonstrated that HM and HM41 had strong scavenging activities in vitro hydroxyl. Overall, HM and HM41 may have potential applications in the antioxidants for medical and food industry.
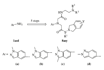
  • Xiang-Duan Tan, Li-Guang Mao, Wei Wu, Si-Yun Nian, Guo-Ping Wang
    中国化学快报. 2016, 27(06): 984-988. https://doi.org/10.1016/j.cclet.2016.03.028
    摘要 ( ) PDF全文 ( ) HTML 可视化 收藏
    A series of novel amide derivatives bearing an indazole moiety were synthesized and evaluated for their in vitro S-adenosyl-L-homocysteine hydrolase (SAHase) inhibitory activity. Among these compounds, 8b, 8m, 8r and 8w showed better or similar inhibitory effects compared to the positive control aristeromycin. These results provide a novel lead for the discovery of more potent non-adenosine analogs as SAHase inhibitors.
  • Miao-Miao Hong, Ai-Feng Liu, Ying Xu, Dong-Mei Xu
    中国化学快报. 2016, 27(06): 989-992. https://doi.org/10.1016/j.cclet.2016.03.027
    摘要 ( ) PDF全文 ( ) HTML 可视化 收藏
    Three novel rhodamine-based Hg2+ fluorescent sensors were designed and synthesized. The sensors could work in semi-aqueous solutions with nearly neutral pH and showed high selectivity and sensitivity to Hg2+ with remarkable fluorescence enhancement. For these three sensors, the linear working range broadened (0-80, 0-100 and 0-140 mmol/L, respectively) and the sensitivity increased (7.7, 15.5 and 17.6 folds of the fluorescence enhancement and 512, 66.2 and 37.6 ppb of the detection limit) with the rising of the thiourea-unit numbers. Furthermore the sensors exhibited excellent interference immunity tomultiple environmentally and biologically relevant metal ions. Pond and tap water assay showed good practicability of the sensors. The number of the bound Hg2+ equaling to that of the thiourea units and the irreversible recognition process implied a new interaction way between Hg2+ and the sensor.