本期目录

2016年, 第27卷, 第05期 刊出日期:2016-05-22
  

  • 全选
    |
    论著
  • Zheng-Le Zhao, Qing Gu, Xin-Yan Wu, Shu-Li You
    中国化学快报. 2016, 27(05): 619-622. https://doi.org/10.1016/j.cclet.2016.02.017
    摘要 ( ) PDF全文 ( ) HTML 可视化 收藏
    A highly enantioselective allylic substitution reaction of anthrones with aromatic or aliphatic allyl carbonates was realized by using iridium catalyst prepared from [Ir(COD)Cl]2 and BHPphos. Substituted 10-allylanthrones were obtained in excellent yields and with excellent enantioselectivity and regioselectivity (up to 98% yield, 99% ee) under mild conditions.
  • Zhi Meng, Bin Shan, Ling Zhang, Gui-Yan Han, Ming-Hui Liu, Ning-Yang Jia, Zhen-Yuan Miao, Wan-Nian Zhang, Chun-Quan Sheng, Jian-Zhong Yao
    中国化学快报. 2016, 27(05): 623-626. https://doi.org/10.1016/j.cclet.2016.03.019
    摘要 ( ) PDF全文 ( ) HTML 可视化 收藏
    Ten new water-soluble amino acid conjugates of pyropheophorbide-α ethers 4a-4j were synthesized and investigated for their in vitro photodynamic antitumor activity. The results showed that all compounds exhibited higher phototoxicity and lower dark toxicity against three kinds of tumor cell lines than BPD-MA. In particular, themost phototoxic compound 4d and 4j individually showed IC50 values of 41 nmol/L and 33 nmol/L against HCT116 cell, which represented 7.8- and 9.7-fold increase of antitumor potency compared to BPD-MA, respectively, suggesting that they were promising photosensitizers for PDT applications because of their strong absorption at long wavelength (λmax>650 nm), high phototoxicity, low dark cytotoxicity and good water-solubility.
  • Jing-Wei Zheng, Lin Ma
    中国化学快报. 2016, 27(05): 627-630. https://doi.org/10.1016/j.cclet.2016.01.052
    摘要 ( ) PDF全文 ( ) HTML 可视化 收藏
    Metal complexes of anthranilic acid derivatives that constitute a novel class of non-sugar-type α-glucosidase inhibitors were synthesized and assessed in vitro for inhibitory activity. All of the Ag(Ⅰ) complexes (9-16) inhibited α-glucosidase at the nanomolar scale, while 3,5-dichloroanthranilic acid silver(Ⅰ) (9) was the most potent (IC50=3.21 nmol/L). Analysis of the kinetics of enzyme inhibition indicated that the mechanism of the newly prepared silver complexes was noncompetitive. The structure-activity relationships were also analyzed, and they are discussed in this report.
  • Chun Liu, Chao Liu, Xin-Min Li, Zhan-Ming Gao, Zi-Lin Jin
    中国化学快报. 2016, 27(05): 631-634. https://doi.org/10.1016/j.cclet.2015.12.022
    摘要 ( ) PDF全文 ( ) HTML 可视化 收藏
    A simple and highly efficient protocol has been developed for the Pd/C-catalyzed ligand-free Suzuki-Miyaura reaction of potassium aryltrifluoroborates. In this catalytic system, the results demonstrate that oxygen plays a positive role in the cross-coupling reaction. In addition, this catalytic system could be successfully applied to synthesize biaryl compounds containing a carbazolemoiety and the catalyst was recycled seven times without significant loss of catalytic activity.
  • Shen Li, Run-Jiang Song, Dong-Hui Wang, Xue Tian, Xu-Sheng Shao, Zhong Li
    中国化学快报. 2016, 27(05): 635-639. https://doi.org/10.1016/j.cclet.2016.03.033
    摘要 ( ) PDF全文 ( ) HTML 可视化 收藏
    A series of imidacloprid derivatives containing an azopyridine motif as a photoswitchable functional group were designed and synthesized. The new version of photoresponsive imidacloprid analogues showed improved solubility in comparison with their azobenzene analogues. 1.2 to 2-fold activity difference was observed for these azopyridine-imidacloprids against house fly (Musca domestica) and cowpea aphid (Aphis craccivora) upon irradiation.
  • De-Wu Zhang, Xiao-Yu Tao, Ji-Mei Liu, Ri-Dao Chen, Min Zhang, Xiao-Mei Fang, Li-Yan Yu, Jun-Gui Dai
    中国化学快报. 2016, 27(05): 640-642. https://doi.org/10.1016/j.cclet.2016.02.005
    摘要 ( ) PDF全文 ( ) HTML 可视化 收藏
    A new polyketide synthase-nonribosomal peptide synthetase (PKS-NRPS) hybrid metabolite, named pericoannosin B (1), was isolated from endophytic fungus Periconia sp. F-31 of the medicinal plant Annona muricata. The structure and absolute configuration were elucidated by means of extensive spectroscopic analyses (HRMS, NMR, IR, and CD).
  • Ming-Hua Chen, Sheng Lin, Ya-Nan Wang, Cheng-Gen Zhu, Yu-Huan Li, Jian-Dong Jiang, Jian-Gong Shi
    中国化学快报. 2016, 27(05): 643-648. https://doi.org/10.1016/j.cclet.2016.01.042
    摘要 ( ) PDF全文 ( ) HTML 可视化 收藏
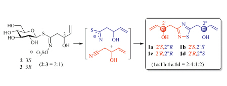
    Four stereoisomers of 3,5-bis(2-hydroxybut-3-en-1-yl)-1,2,4-thiadiazole, named insatindigothiadiazoles A-D (1a-1d), were isolated from the roots of Isatis indigotica. Their structures were determined by spectroscopic analysis; specifically, the absolute configurations were assigned by using the MPA determination rule based on ΔδRS values of MPA esters, and supported by electronic CD (ECD) calculations. Proposed biosynthetic pathways and preliminary investigations of the biological activities of 1a-1d against influenza virus A (H3N2), Coxsackie virus B3, and/or HSV-1 are also discussed.
  • Yan-Hong Niu, Song Yang, Ji-Kun Li, Yan-Qing Xu, Chang-Wen Hu
    中国化学快报. 2016, 27(05): 649-654. https://doi.org/10.1016/j.cclet.2016.01.007
    摘要 ( ) PDF全文 ( ) HTML 可视化 收藏
    Five inorganic-organic hybrid vanadates based on tetravanadate cores, transition metals and N-donor ligands have been designed and synthesized under hydrothermal conditions, namely, [Zn(eIM)3]2V4O12(1),[Zn(pIM)3]2V4O12·H2O(2),[Zn(ipIM)3]2V4O12(3),[Co(eIM)3]2V4O12·H2O(4),[Cu(eIM)2(H2O)]2V4O12(5) (eIM=1-ethylimidazole, pIM=1-propylimidazole, ipIM=isopropylimidazole). All compounds were fully characterized by single-crystal XRD, powder XRD, elemental analysis, TGA, and FT-IR spectroscopy. The hybrid zinc vanadates (1-3) and cobalt vanadate (4) exhibit interesting 2D folded structures and the hybrid copper vanadate (5) presents a 1D chain configuration. All compounds can catalyze olefin epoxidation reactions when using TBHP (TBHP=tert-butyl hydroperoxide) as an oxidant in acetonitrile. The introduction of transition metal ions into tetravanadate cores not only improved the catalytic activity but also fulfilled the heterogeneous catalytic behavior. 1-5 all exhibit extraordinary efficiency in converting olefins to the corresponding epoxides with high conversion and selectivity (particularly, conv. up to 97.1%, sele. up to 100% for 1). Leaching test was also carried out to prove the heterogeneous behavior.
  • Jian-Wei Ding, Rui Wang
    中国化学快报. 2016, 27(05): 655-658. https://doi.org/10.1016/j.cclet.2016.03.005
    摘要 ( ) PDF全文 ( ) HTML 可视化 收藏
    A series of crystalline compounds were obtained from simple one-step hydrothermal reaction of copper nitrate, benzentricaboxylate and different Keggin polyoxometalates. Phosphotungstic acid immobilized in host matrix was selected for the first time as a recyclable and efficient catalyst in oxidative desulfurization process, under eco-sustainable conditions supported by the green oxidant O2 and the green extracting agent distilled water. The efficiency of desulfurization with air was studied and it is possible to use air as green oxidant in desulfurization. Moreover, the catalyst is effective for the desulfurization of real diesel.
  • Ardeshir Shokrollahi, Fariba Davoodi Kashkoli
    中国化学快报. 2016, 27(05): 659-665. https://doi.org/10.1016/j.cclet.2016.01.020
    摘要 ( ) PDF全文 ( ) HTML 可视化 收藏
    The trace amounts of Violet Covasol as a cosmetic dye was determined by an efficient cloud point extraction-Scanometry (CPE-Scanometry) method. This method has many advantages such as novelty, facility, high speed, sensitivity, low cost and safety. The method is based on the CPE of an analyte from an aqueous solution, diluting the extracted surfactant-rich phase with ethanol, transferring to Plexiglas® cell and scanning of the cells containing the analyte solution with a scanner and measuring the RGB parameters with software written in visual basic (VB 6) media. Parameters impacting the extraction efficiency such as pH of the system, the concentration of surfactant, equilibration temperature and time were optimized. Detection limit (DL), relative standard deviation (RSD) and linear range for the proposed method are 0.026, 0.71 and 0.16-6.6 μg mL-1 respectively. Themethod was successfully applied for the determination of Violet Covasol dye in several water samples, including a water sample containing the dye as a tracer (to investigate subsurface water movement).
  • Mabrouk Ben Brahim, Hafedh Belhadj Ammar, Ridha Abdelhédi, Youssef Samet
    中国化学快报. 2016, 27(05): 666-672. https://doi.org/10.1016/j.cclet.2015.12.032
    摘要 ( ) PDF全文 ( ) HTML 可视化 收藏
    A sensitive square-wave voltammetric method for the determination of Imidacloprid (IMD) was developed using electrochemically pretreated boron-doped diamond (BDD) electrode. Aqueous solutions were prepared with Confidor 200 SL as the commercial formulation of IMD. Sodium sulfate (Na2SO4) was used as supporting electrolyte. The influence of operating parameters, such as the pH of the medium, frequency, pulse amplitude, scan increment and the concentration of IMD was investigated. An irreversible cathodic peak, corresponding to the reduction of IMD is observed at -1.21 V (vs. SCE) and the electrode reaction was controlled by adsorption. Under optimized conditions, the square-wave reduction peak current was linear over the concentration range of (30-200 μmol L-1) with a detection and quantification limits of 8.60 μmol L-1 and 28.67 μmol L-1, respectively. The results were compared with spectrophotometry and HPLC methods under some conditions and found to be in good agreement. To investigate applicability to real samples, the proposed method was applied to the determination of IMD in plum juice.
  • Ming-Kun Xu, Zhen-Hua Ouyang, Zhu-Rui Shen
    中国化学快报. 2016, 27(05): 673-677. https://doi.org/10.1016/j.cclet.2015.12.023
    摘要 ( ) PDF全文 ( ) HTML 可视化 收藏
    In this work, cerium(Ⅲ) molybdate microspheres configured as microflakes were synthesized in the presence of lysine via a hydrothermal process. We studied the role of lysine and other amino acids on the morphologic control of cerium(Ⅲ) molybdate crystals. First, with the increase of lysine, thinner microflakes and smaller microspheres are obtained. Moreover, a transformation in topology of cerium(Ⅲ) molybdate assemblies from three-dimensional (3D) into two-dimensional (2D) can be ascribed to controlled nucleation and growth of cerium(Ⅲ) molybdate induced by lysine. Second, amino acids with strong hydrophilic "R" groups tend to induce nucleation and result in spherical assemblies formed by nanoparticles or nanoflakes, while those with weaker hydrophilic "R" groups tend to induce growth and yield spherical assemblies of microflakes.
  • Xue-Li Zheng, Cong-Ye Zheng, Fan-Ding Zhou, Hai-Yan Fu, Mao-Lin Yuan, Rui-Xiang Li, Bin Xu, Hua Chen
    中国化学快报. 2016, 27(05): 678-680. https://doi.org/10.1016/j.cclet.2016.01.028
    摘要 ( ) PDF全文 ( ) HTML 可视化 收藏
    Rhodium catalyzed hydroformylation of α-methylstyrene was investigated in the presence of monodentate phosphine ligands L1-L6. We found that the phosphine with good π-acceptability could efficiently improve the activity of the α-methylstyrene hydroformylation. The big steric hindrance of α-C in α-methylstyrene enhanced the regioselectivity towards the linear aldehyde, which resulted in 3-phenylbutanal as the predominant product (>99.0%). When tris(N-pyrrolyl)phosphine (L1) modified Rh(acac)(CO)2 was employed as the catalyst, the TOF could reach up to 5786 h-1 in the α-methylstyrene hydroformylation at relatively mild conditions (110℃, 6 MPa).
  • Chuan Zhou, Yi-He Li, Zhen-Hua Jiang, Kwang-Duk Ahn, Tian-Jiao Hu, Qing-Hua Wang, Chun-Hua Wang
    中国化学快报. 2016, 27(05): 681-684. https://doi.org/10.1016/j.cclet.2016.01.002
    摘要 ( ) PDF全文 ( ) HTML 可视化 收藏
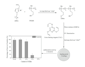
    Novel antibacterial polymer coatings were prepared by a facile thiol-yne click photopolymerization of 1-propargyl-3-alkyl-1,3-diazanyl-2,4-cyclopentadiene bromide ([PAIM]Br) and tetra(3-mercapto-propionate) pentaerythritol (PETMP) (2:1 molar ratio) using 2,2-dimethoxy-2-phenylacetophenone (DMPA) as initiator. The antibacterial activity of the coatings was tested against Staphylococcus aureus (ATCC 292130) and Escherichia coli (ATCC 25922) by the dynamic shake method. The evaluation results revealed the antibacterial polymer coatings exhibited excellent inhibitory activity against S. aureus and E. coli, especially for S. aureus.
  • Chuan Zhou, Yi-He Li, Zhen-Hua Jiang, Kwang-Duk Ahn, Tian-Jiao Hu, Qing-Hua Wang, Chun-Hua Wang
    中国化学快报. 2016, 27(05): 685-688. https://doi.org/10.1016/j.cclet.2016.01.010
    摘要 ( ) PDF全文 ( ) HTML 可视化 收藏
    Poly[(mercaptopropyl)methylsiloxane] (PMMS)-based antibacterial polymer coatings have been prepared through a two-step sequential thiol-ene click chemistry utilizing 1-allyl-3-decylimidazolium bromide (ADIm) as antibacterial monomer and triallyl cyanurate (TAC) as the crosslinker. These films with different content of ADIm were characterized by thermogravimetric analysis (TGA), dynamic mechanical analysis (DMA) and pencil hardness. It was found that the mechanical and thermal properties of these films were largely influenced by the content of ADIm in the films. Films with imidazolium bromide groups displayed excellent antimicrobial activity against Staphylococcus aureus with 100% killing efficiency.
  • Ya Lu, Cong-Yun Zhang, Dong-Jie Zhang, Rui Hao, Yao-Wu Hao, Ya-Qing Liu
    中国化学快报. 2016, 27(05): 689-692. https://doi.org/10.1016/j.cclet.2016.01.032
    摘要 ( ) PDF全文 ( ) HTML 可视化 收藏
    The flower-like silver nanoparticles have been synthesized by reducing silver nitrate (AgNO3) with ascorbic acid (AA) as the reductant and polyvinyl pyrrolidone (PVP) as the capping agent under vigorous stirring. Such flower-like nanoparticles are aggregates of small nanoplates and nanorods. They were tested as substrates for the surface-enhanced Raman scattering (SERS), showing high sensitivity for detecting Rhodamine 6G (R6G) at a concentration as low as 10-7 mol/L. It has been found that replacing mechanical stirring with ultrasound sonication would drastically change the particle morphology, from flower-like nanoparticles to well-dispersed smaller nanoparticles. Furthermore, when trace amounts of NaCl were added into the reagents, well-dispersed Ag nanoparticles formed even in vigorous stirring. These phenomena can be explained with the diffusion and reactant supply during nucleation and growth of Ag nanoparticles.
  • Fazal Rahim, Muhammad Ali, Shifa Ullah, Umer Rashid, Hayat Ullah, Muhammad Taha, Muhammad Tariq Javed, Wajid Rehman, Aftab Ahmad Khan, Obaid Ur Rahman Abid, Muhammad Bilal
    中国化学快报. 2016, 27(05): 693-697. https://doi.org/10.1016/j.cclet.2015.12.035
    摘要 ( ) PDF全文 ( ) HTML 可视化 收藏
    Bis-thiobarbiturate derivatives 1-15 have been synthesized, characterized by 1HNMR and EI-MS and screened for urease inhibition. All compounds showed various degree of urease inhibitory activity with IC50 values ranging 7.45±0.12-74.24±0.81 μmol/L while the standard thiourea behaved normally (IC50=21.10±0.12). Compounds 1 (IC50=7.45±0.12 μmol/L), 9 (IC50=18.17±1.03 μmol/L) and 13 (IC50=8.61±0.45 μmol/L) showed excellent urease inhibitory activity in the series. Molecular modeling studies were performed to understand the binding site with the bimetallic nickel center of the enzyme. Structure-activity relationship has also been established for these compounds. This study identified bisthiobarbiturate as a novel class of urease inhibitors.
  • Kongara Damodar, Jin-Kyung Kim, Jong-Gab Jun
    中国化学快报. 2016, 27(05): 698-702. https://doi.org/10.1016/j.cclet.2016.01.043
    摘要 ( ) PDF全文 ( ) HTML 可视化 收藏
    An efficient approach has been developed for the synthesis of naturally occurring prenylated chalcones viz. kanzonol C (1), stipulin (2), crotaorixin (3), medicagenin (4), licoagrochalcone A (5) and abyssinone D (6) along with the pyranochalcones paratocarpin C (7), anthyllisone (8) and 3-O-methylabyssinone A (9). The key step of the synthesis is a Claisen-Schmidt condensation. Subsequently, their anti-inflammatory effects were investigated in lipopolysaccharides (LPSs)-induced RAW-264.7 macrophages. Of the synthesized chalcones, compounds 5 (IC50=10.41 μmol/L), 6 (IC50=9.65 μmol/L) and 8 (IC50=15.34 μmol/L) show remarkable activity with no cytotoxicity. Compound 9 (IC50=4.5 μmol/L) exhibits maximum (83.6%) nitric oxide (NO) inhibition, but shows slight cytotoxicity. The results reveal that the chalcones bearing the prenyl group at 3- and/or 5-position on ring A (acetophenonemoiety), i.e., 1-4 and 7 show weak, or no inhibition activity, whereas chalcones having the prenyl group only on ring B (aldehyde part), i.e., 5, 6 and 8 show significant activity on the production of inflammatory mediated NO with no cytotoxicity.
  • Yuan-Yuan Xu, An-Ran Qian, Xu-Feng Cao, Chen-Yu Ling, Yong-Bing Cao, Rui-Lian Wang, Yi-Su Li, Yu-She Yang
    中国化学快报. 2016, 27(05): 703-706. https://doi.org/10.1016/j.cclet.2016.01.040
    摘要 ( ) PDF全文 ( ) HTML 可视化 收藏
    A series of novel triazole derivatives containing γ-lactam were designed and synthesized, and their structures were confirmed by 1H NMR, 13C NMR and HRMS. The in vitro antifungal activities of the target compounds were evaluated. The results showed that all of the compounds exhibited stronger activity against the six clinically important fungi tested than fluconazole. 3D and 3E showed comparative activity against the fungi tested except for Candida glabrata and Aspergillus fumigatus as voriconazole. In addition, the docking model for 2A and CYP51 was investigated.
  • Ashwani Kumar Dhingra, Bhawna Chopra, Rameshwar Dass, Sanjeev Kumar Mittal
    中国化学快报. 2016, 27(05): 707-710. https://doi.org/10.1016/j.cclet.2016.01.049
    摘要 ( ) PDF全文 ( ) HTML 可视化 收藏
    In view of potent antimicrobial and anti-inflammatory activities exhibited by 5-substituted imidazolones, a variety of novel imidazolone analogs 3a-l were synthesized by the condensation of different substituted oxazolones 1 with various aromatic amines 2. All the synthesized compounds were screened for in vitro activities against a panel of Gram-positive and Gram-negative bacteria and the yeast-like pathogenic fungus Candida albicans. Several analogs produced good or moderate activities particularly against the tested Gram-positive bacteria Micrococcus luteus and Gram-negative bacteria Pseudomonas aeruginosa and. Meanwhile, compounds 3b and 3c displayed marked antifungal activity against C. albicans. In addition, the in vivo anti-inflammatory activity of the synthesized compounds was determined using the carrageenin-induced paw oedema method in rats. Two of 5-substituted imidazolone derivatives, 3k and 3d show good anti-inflammatory activity. The structures of all the newly synthesized compounds were elucidated using IR, 1H NMR and 13C NMR.
  • Fei Yu, Qi Wang, Han Wang, Long-Long Si, Jia-Xin Liu, Xu Han, Su-Long Xiao, Li-He Zhang, De-Min Zhou
    中国化学快报. 2016, 27(05): 711-713. https://doi.org/10.1016/j.cclet.2016.01.050
    摘要 ( ) PDF全文 ( ) HTML 可视化 收藏
    A series of echinocystic acid (EA) 28-COOH derivatives was synthesized, and their anti-HCV entry activity was evaluated by HCVpp and VSVpp entry assay. It was found that some of them showed moderate anti-HCV entry activity, especially compound 12, and these modifications also removed the undesired hemolytic effect.
  • Swapnil A. Padvi, Yogesh A. Tayade, Yogesh B. Wagh, Dipak S. Dalal
    中国化学快报. 2016, 27(05): 714-720. https://doi.org/10.1016/j.cclet.2016.01.016
    摘要 ( ) PDF全文 ( ) HTML 可视化 收藏
    A rapid and efficient, one pot synthesis of spirooxindole derivatives has been attempted by threecomponent reaction of isatin, malononitrile and carbonyl compound possessing a reactive α-methylene group by using task specific ionic liquid, 1-butyl-3-methyl imidazolium hydroxide [bmim]OH as a catalyst. The important features of this methodology are straight forward route in short reaction time at room temperature and avoid any hazardous organic solvent, toxic catalyst, tedious purification step. Interestingly, this protocol is not only limited to mono-systems but also to the synthesis of newer bisspirooxindole system. The separation of the product and reusability of the catalyst are easy with excellent yield. The [bmim]OH catalyst system could be reused up to five recycles without appreciable loss of activity.
  • Kamaal Ahmed, Balkrishna Dubey, Sayyed Nadeem, Birendra Shrivastava, Pankaj Sharma
    中国化学快报. 2016, 27(05): 721-725. https://doi.org/10.1016/j.cclet.2016.01.053
    摘要 ( ) PDF全文 ( ) HTML 可视化 收藏
    The present work describes a facile, one-pot three component environment friendly, green synthesis of a series of 5-(4-methoxyphenyl)-7,7-dimethyl-10-phenyl-7,8-dihydro-5H-indeno[1,2-b]quinoline-9,11(6H,10H)-dione derivatives 8(a-n). 1,3-indanedione, aryl-aldehyde and enaminone was thoroughly ground in the presence of catalytic amount of p-toluene sulfonic acid (p-TSA) to give the titled compounds in good yields. All the synthesized derivatives were evaluated for their anticonvulsant activity using the maximal electroshock (MES) method with phenytoin as a standard drug along with their neurotoxicity effect. Derivatives 8b, 8e and 8k exhibited significant anticonvulsant activity (P<0.001). The neurotoxicity study clearly revealed that all the tested compounds are non-toxic at a dose of 40 mg/kg. The molecular modeling studies also predicted good binding interactions of most active molecules with the serotonin 5-HT2A receptor. Therefore, it can be safely concluded that synthesized derivatives 8(a-n) would represent useful leads for further investigation in the development of a new class of anticonvulsant agents.
  • Yuan-Yuan Liu, Jun-Mei Qi, Li-Sha Bai, Yue-Long Xu, Ning Ma, Fei-Fei Sun
    中国化学快报. 2016, 27(05): 726-730. https://doi.org/10.1016/j.cclet.2016.01.005
    摘要 ( ) PDF全文 ( ) HTML 可视化 收藏
    Graphite oxide (GO) was used as a catalyst for the reactions of alcohols and phenols with acetic anhydride. The acetates of primary and secondary alcohols were prepared in good to excellent yields in short reaction time under mild conditions. Electron deficient phenols could be converted to the corresponding acetates steadily. As an efficient catalyst, GO is easily available, cheap, moderately toxic and weakly acidic.
  • Keyur D. Bhatt, Disha J. Vyas, Bharat A. Makwana, Savan M. Darjee, Vinod K. Jain, Hemangini Shah
    中国化学快报. 2016, 27(05): 731-737. https://doi.org/10.1016/j.cclet.2016.01.012
    摘要 ( ) PDF全文 ( ) HTML 可视化 收藏
    A simple and quick method for the synthesis of water dispersible stable silver nanoparticles has been developed. Calix[4]pyrrole octahydrazide (CPOH), has been successfully used as a reducing as well as stabilizing agent for the synthesis of silver nanoparticles. CPOH-AgNps have been duly characterized by SPR, PSA, TEM and EDX-ray. The ability of CPOH-AgNps as selective and sensitive sensor for various ions (Pb(Ⅱ), Cd(Ⅱ), Mn(Ⅱ), Fe(Ⅲ), Ni(Ⅱ), Zn(Ⅱ), Hg(Ⅱ), Co(Ⅱ), Cu(Ⅱ)) by colorimetry and spectrofluorimetry has been explored. CPOH-AgNps were found to be selective only for Hg(Ⅱ) ions. Nanomolar concentration of Hg(Ⅱ) ions can also be determined by spectrofluorimetry by increase in fluorescence intensity. Linear range of detection of Hg(Ⅱ) ions in water was found to be from 1 nmol/L to 1 μmol/L. The method has been successfully applied for determination of Hg(Ⅱ) ions in ground water and industrial effluent waste water samples.
  • Li Wang, Sheng-Wei Xu, Hui-Ren Xu, Yi-Lin Song, Jun-Tao Liu, Jin-Ping Luo, Xin-Xia Cai
    中国化学快报. 2016, 27(05): 738-744. https://doi.org/10.1016/j.cclet.2016.01.018
    摘要 ( ) PDF全文 ( ) HTML 可视化 收藏
    The subsecond, temporal, vesicular exocytosis is ubiquitous, but difficult detecting in communication mechanisms of cells. A microelectrode array (MEA), fabricated by MEMS technology, was applied successfully for real-time monitoring of quantal exocytosis from single pheochromocytoma (PC12) cell. The developed MEA was evaluated by dopamine (DA) using electrochemical methods and the results revealed that the sensitivity of DA was improved to 12659.24 μA L mmol-1 cm-2. The modified MEA was used to detect in vitro vesicular exocytosis of DA from single PC12 cells stimulated by concentrated 100 μmol L-1 K+ cell solution. A total of 592 spikes were measured and analyzed by three parameters and the statistical results revealed the population of each parameter was an approximate Gaussian distribution, and on average, 1.31×106±9.25×104 oxidizable molecules were released in each quantal exocytosis. In addition, results also indicate that a single PC12 cell probably releases the spikes with T ranging from 25.6 ms to 35.4 ms corresponding to Imax ranging from 45.6 pA to 65.2 pA. The devices, including a homemade computer interface and the MEA modified with polymer film, provides a new means for further research on the neural, intercellular, communication mechanism.
  • Ting Wu, Hai-Ting Wang, Bo Shen, Yi-Ping Du, Xuan Wang, Zhen-Ping Wang, Chuan-Jing Zhang, Wen-Bin Miu
    中国化学快报. 2016, 27(05): 745-748. https://doi.org/10.1016/j.cclet.2016.01.059
    摘要 ( ) PDF全文 ( ) HTML 可视化 收藏
    Primary aromatic amines (PAAs) are substances with toxicity and suspected human carcinogenicity. A facile method for highly sensitive detection of PAAs using surface-enhanced Raman spectroscopy (SERS) is reported. The immobilization of Au nanoparticles (AuNPs) on the glycidyl methacrylate-ethylene dimethacrylate (GMA-EDMA) materials makes the substrate a closely packed but not aggregated Au NP arrays which provides a prominent SERS enhancement. Four PAAs with different substituent groups, namely, p-toluidine, p-nitroaniline, benzidine and 4,4-methylene-bis-(2-chloroaniline) have been successfully identified and quantified. High sensitivity and good linear relationship between SERS signals and concentrations of PAAs are obtained for all four PAAs.
  • Ya-Jie Ma, Chao Guan, Ying-Jie Dong, Hong Yu
    中国化学快报. 2016, 27(05): 749-752. https://doi.org/10.1016/j.cclet.2016.01.023
    摘要 ( ) PDF全文 ( ) HTML 可视化 收藏
    For the isomers of amino benzoic acid, including o-, m-, p-amino benzoic acid, the beneficial effects of using the ionic liquid, 1-butyl-3-methylimidazolium tetrafluoroborate ([BMIm][BF4]), as mobile phase additives on retention behavior and separation were investigated. Chromatographic separation of the o-, m-, p-amino benzoic acid was performed on a reversed-phase C18 column by ultraviolet detection at 245 nm. The effects of several chromatographic parameters, concentrations and pH values of [BMIm][BF4] solutions, methanol concentration and length of alkyl chain on different ionic liquids, on the separation and determination of the isomers were evaluated. The optimized chromatographic conditions were established using an aqueous 0.5 μmol/L [BMIm][BF4] solution (pH 3.0)/methanol (40:60, v/v) as mobile phase without need of gradient elution, with separation of three amino benzoic acids achieved within four min. The calibration curve showed good linearity over the tested range of 2 mg/L to 120 mg/L for the three isomers with a correlation coefficients of 0.9999. The recoveries of the three amino benzoic acids of spiked components were between 99.8% and 100%. The method has been successfully applied to the determination of p-amino benzoic acid in the pharmaceutical, Bromine Mitag Procaine Injection.
  • Qin-Peng Shen, Xing-Meng Xu, Lan Li, Wei Zhao, Neng-Jun Xiang, Guang-Yu Yang, Yong-Kuan Chen, Ming-Ming Miao, Chun-Bo Liu, Zhi-Hua Liu
    中国化学快报. 2016, 27(05): 753-756. https://doi.org/10.1016/j.cclet.2016.01.048
    摘要 ( ) PDF全文 ( ) HTML 可视化 收藏
    In searching for more bioactive compounds, phytochemical investigations on the acetone extract of the leaves of Nicotiana tabacum resulted in the isolation of two new sesquiterpenes, nicosesquiterpene A and B (1 and 2), along with four known sesquiterpene derivatives (3-6). Structural elucidation of 1 and 2 was performed by spectralmethods, such as HRMS, IR, UV, 1D and 2DNMR spectroscopy. Compounds 1 and 2 are the first naturally occurring pterosin-type sesquiterpene bearing an isopropyl moiety. Compounds 1-6 were also evaluated for their anti-tobaccomosaic virus (anti-TMV) activity. The results showed that compounds 1 and 2 exhibited high anti-TMV activity with inhibition rates of 36.7% and 45.6%, respectively, which is higher than that of positive control. The other compounds also showed potential activity with inhibition rates in the range of 22.7%-29.2%.
  • Shuai Huang, De-Xin Zhong, Lian-Hai Shan, Ye-Zi Zheng, Zhi-Kuan Zhang, Ya-Heng Bu, Hong-Wen Ma, Xian-Li Zhou
    中国化学快报. 2016, 27(05): 757-760. https://doi.org/10.1016/j.cclet.2016.01.003
    摘要 ( ) PDF全文 ( ) HTML 可视化 收藏
    Three new pyrrolizidine alkaloids, nervosine VII (1), nervosine VIII (2) and nervosine IX (3) were isolated from the whole plant extract of Liparis nervosa. Their structures were elucidated by extensive spectroscopic analyses (including 1D, 2D NMR, and HR-ESI-MS) and chemical methods. Compounds 1-3 were evaluated for their cytotoxic activity against A549, MCF-7 and H460 human cancer cell lines.
  • Hua Tang, Fu-Li Wen, Shu-He Wang, Xiao-Yu Liu, Dong-Lin Chen, Feng-Peng Wang
    中国化学快报. 2016, 27(05): 761-763. https://doi.org/10.1016/j.cclet.2016.02.004
    摘要 ( ) PDF全文 ( ) HTML 可视化 收藏
    Two new denudatine-type C20-diterpenoid alkaloids, named sinomontanidines A (1) and B (2), were isolated from the roots of Aconitum sinomontanum Nakai. Their structures were elucidated by extensive analysis of 1D, 2D NMR, and MS data.
  • Qing-Long Bai, Chun-Hua Zhang, Juan-Juan Song, Jing-Hai Liu, Yan-Chun Feng, Li-Mei Duan, Chuan-Hui Cheng
    中国化学快报. 2016, 27(05): 764-768. https://doi.org/10.1016/j.cclet.2016.01.009
    摘要 ( ) PDF全文 ( ) HTML 可视化 收藏
    A metal-free purple H2Pc single crystal was synthesized by a facile solvothermal method, and its solubility and near-infrared (NIR) optical properties were also investigated due to its potential applications as a light-emitting layer for OLEDs. The H2Pc single crystal is insoluble in 1-chlorine naphthalene and other organic solvents. It gives a wide absorption in the range from 620 nm to 679 nm and a wide emission in near 922 nm. As an active light-emitting layer, H2Pc was employed to fabricate electroluminescent (EL) devices with a structure of ITO/NPB (30 nm)/Alq3:H2Pc (30 nm)/BCP (20 nm)/Alq3 (20 nm)/Al. The emission center is at 936 nm when the H2Pc doping concentration is 20 wt%. The doping concentration strongly governs the emission intensity. When doping concentration decreases from 10 wt% to 1 wt%, the emission intensity remarkably fades, and simultaneously the emission center undergoes a blue shift.
  • Zhi-Dong Wei, Rui Wang
    中国化学快报. 2016, 27(05): 769-772. https://doi.org/10.1016/j.cclet.2016.03.013
    摘要 ( ) PDF全文 ( ) HTML 可视化 收藏
    Hierarchical BiOBr microspheres with oxygen vacancies, which can be used for the dyes removal, have been synthesized successfully in the presence of different kinds of ionic liquids. It was revealed that BiOBr prepared by the ionic liquids with short chain length exhibited higher photocatalytic activity in the degradation of methyl orange (MO) under visible light. The experimental results showed that the phenomenon of the photocatalytic degradation of MO can be explained by the photoluminescence spectra.
  • Yan Li, Yan-Ming Miao, Mao-Qing Yang, Yu-Xia Wu, Gui-Qin Yan
    中国化学快报. 2016, 27(05): 773-778. https://doi.org/10.1016/j.cclet.2016.01.006
    摘要 ( ) PDF全文 ( ) HTML 可视化 收藏
    Nanohybrids were formed from 3-mercaptopropionic acid (MPA)-coated Mn-doped ZnS quantum dots (QDs) and methylene blue (MB) via electrostatic interaction, and then used in the detection of trace DNA. The principle of detection is as follows: MB binds with Mn-doped ZnS QDs via electrostatic interaction, and then quenches the room temperature phosphorescence (RTP) of the QDs through photoinduced electron-transfer (PIET). After the addition of DNA, MB binds with DNA through intercalation and electrostatic interaction, and desorbs from the surfaces of Mn-doped ZnS QDs, which recovers the RTP of the QDs. On this basis, a DNA detection method based on the properties of RTP was set up. This method shows a detection range of 0.2-20 mg/L, and a detection limit of 0.113 mg/L. Since this method is based on the RTP of QDs, it is not interfered by the background fluorescence or scattering light in vivo, and thus, avoids complex sample pretreatment. Thus, this method is very feasible for detection of trace DNA in biofluids.
  • Vahid Arabali, Mahmoud Ebrahimi, Hassan Karimi-Maleh
    中国化学快报. 2016, 27(05): 779-782. https://doi.org/10.1016/j.cclet.2016.01.026
    摘要 ( ) PDF全文 ( ) HTML 可视化 收藏
    In this work we describe the first report for the determination of promazine using a nanostructuremodified ionic liquid carbon paste electrode in aqueous solutions. To achieve this goal, a novel modified carbon paste electrode using ZnO nanoparticles and 1-methyl-3-butylimidazolium bromide as a binder (ZnO/NPs/ILs/CPE) was fabricated. The oxidation peak potential of promazine at the surface of the ZnO/NPs/ILs/CPE appeared at 685 mV, which was about 65 mV lower than the oxidation potential at the surface of CPE under similar conditions. Also, the peak current was increased to about 4.0 times higher at the surface of ZnO/NPs/ILs/CPE compared to that of CPE. The linear response range and detection limit were found to be 0.08-450 and 0.04 μmol/L, respectively. The modified electrode was successfully used for the determination of promazine in real samples with satisfactory results.
  • Lin Hao, Xing-Li Liu, Jun-Tao Wang, Chun Wang, Qiu-Hua Wu, Zhi Wang
    中国化学快报. 2016, 27(05): 783-788. https://doi.org/10.1016/j.cclet.2016.01.021
    摘要 ( ) PDF全文 ( ) HTML 可视化 收藏
    In this work, a metal-organic framework derived nanoporous carbon (MOF-5-C) was fabricated and modified with Fe3O4 magnetic nanoparticles. The resulting magnetic MOF-5-derived porous carbon (Fe3O4@MOF-5-C) was then used for the magnetic solid-phase extraction of chlorophenols (CPs) from mushroom samples prior to high performance liquid chromatography-ultraviolet detection. Scanning electron microscopy, transmission electron microscopy, X-ray diffraction, and N2 adsorption were used to characterize the adsorbent. After experimental optimization, the amount of the adsorbent was chosen as 8.0 mg, extraction time as 10 min, sample volume as 50 mL, desorption solvent as 0.4 mL (0.2 mL×2) of alkaline methanol, and sample pH as 6. Under the above optimized conditions, good linearity for the analytes was obtained in the range of 0.8-100.0 ng g-1 with the correlation coefficients between 0.9923 and 0.9963. The limits of detection (S/N=3) were in the range of 0.25-0.30 ng g-1, and the relative standard deviations were below 6.8%. The result showed that the Fe3O4@MOF-5-C has an excellent adsorption capacity for the analytes.
  • Na Gao, Jia-Zhu Li, Yan-Long Li, Zhen Wang, Jin-Jun Wang
    中国化学快报. 2016, 27(05): 789-794. https://doi.org/10.1016/j.cclet.2016.01.008
    摘要 ( ) PDF全文 ( ) HTML 可视化 收藏
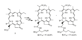
    A facile synthesis for cyanochlorin related to chlorophyll from a formyl-substituted chlorin, by the oxidation ofmethyl (pyro)pheophorbide-α, was accomplished. These readily available chlorin aldehydes were assembled together with hydroxylamine hydrochloride in a tandem process to produce the corresponding chlorin nitriles inmoderate to good yields. The formation of chlorin nitrile was discussed and a possible mechanism for the corresponding cyanation reaction was tentatively proposed.
  • Ming-Xian Liu, Xiang-Xiang Deng, Da-Zhang Zhu, Hui Duan, Wei Xiong, Zi-Jie Xu, Li-Hua Gan
    中国化学快报. 2016, 27(05): 795-800. https://doi.org/10.1016/j.cclet.2016.01.038
    摘要 ( ) PDF全文 ( ) HTML 可视化 收藏
    Magnetically separated and N, S co-doped mesoporous carbon microspheres (N/S-MCMs/Fe3O4) are fabricated by encapsulating SiO2 nanoparticles within N, S-containing polymer microspheres which were prepared using resorcinol/formaldehyde as the carbon source and cysteine as the nitrogen and sulfur co-precursors, followed by the carbonization process, silica template removal, and the introduction of Fe3O4 into the carbon mesopores. N/S-MCMs/Fe3O4 exhibits an enhanced Hg2+ adsorption capacity of 74.5 mg/g, and the adsorbent can be conveniently and rapidly separated from wastewater using an externalmagnetic field. This study opens up new opportunities to synthesize welldeveloped, carbon-based materials as an adsorbent for potential applications in the removal of mercury ions from wastewater.
  • Ahmed Mishaal Mohammed
    中国化学快报. 2016, 27(05): 801-806. https://doi.org/10.1016/j.cclet.2016.01.013
    摘要 ( ) PDF全文 ( ) HTML 可视化 收藏
    This research involves the preparation of a biosensor using silicon oxide for biomedical applications, and its effective use for the detection of target DNA hybridization. An electrochemical DNA biosensor was successfully fabricated by using (3-aminopropyl) tri-ethoxysilane (APTES) as a linker molecule combined with gold nanoparticles (GNPs) on a thermally oxidized SiO2 thin film. The size of the GNPs was calculated by utilizing UV-vis data with an average calculated particle size within the range of 30±5 nm, and characterization by transmission electron microscopy (TEM) and atomic force microscopy (AFM). The GNP-modified SiO2 thin films were electrically characterized through the measurement of capacitance, permittivity and conductivity using a low-cost dielectric analyzer. The capacitance, permittivity and conductivity profiles of the fabricated sensor clearly differentiated DNA immobilization and hybridization.