本期目录

2016年, 第27卷, 第03期 刊出日期:2016-03-22
  

  • 全选
    |
    综述
  • Xi Lu, Bin Xiao, Rui Shang, Lei Liu
    中国化学快报. 2016, 27(03): 305-311. https://doi.org/10.1016/j.cclet.2015.12.021
    摘要 ( ) PDF全文 ( ) HTML 可视化 收藏
    Unnatural α-amino acids have been extensively used in the modern drug discovery and protein engineering studies. They have also found applications in the development of chiral molecular catalysts and the total synthesis of diverse natural products. Accordingly the development of cost-effective approaches for the preparation of unnatural α-amino acids has received increasing attentions. Among all the available methods for this purpose, direct C-H functionalization of simple amino acids represents one of the most attractive approaches because it exhibits good atom-economy and step-efficiency. In particular, selective functionalization of either the primary or secondary C(sp3)-H bonds in the amino acids has been explored to make versatile C-C, C-N, C-O, C-B and C-F bonds to modify the side chain of amino acids and even peptides. The present review surveys the recent advances of synthesis of chiral unnatural α-amino acids and peptides through palladium-catalyzed functionalization of un-activated C(sp3)-H bonds.
  • Ming Zhong, Fu-Kuan Shi, Yi-Tao Liu, Xiao-Ying Liu, Xu-Ming Xie
    中国化学快报. 2016, 27(03): 312-316. https://doi.org/10.1016/j.cclet.2015.12.020
    摘要 ( ) PDF全文 ( ) HTML 可视化 收藏
    In this work, we report a facile method for the preparation of tough and highly stretchable physical hydrogels by dual cross-linking composed of vinyl-hybrid silica nanoparticles (VSNPs) as multivalent covalent cross-linking and hydrogen bonding as physical cross-linking. Poly (acrylic acid) nanocomposite physical hydrogels (NCP gels) are obtained without adding any organic chemical cross-linkers. When the content of VSNPs is 0.7 wt% (relative to the monomer), the NCP gels exhibit good mechanical properties (fracture strength=370 kPa, elongation at break=2200%) and a high swelling capacity in both deionized water (2300 g/g) and saline (220 g/g). Meanwhile, the NCP gels have good recovery ability.
  • Mei-Hui Yu, Xue Jiang, Song-De Han, Qing-Lun Wang, Xian-He Bu
    中国化学快报. 2016, 27(03): 317-320. https://doi.org/10.1016/j.cclet.2016.01.001
    摘要 ( ) PDF全文 ( ) HTML 可视化 收藏
    The self-assembly of polyalcohol ligand 1,1,1-tris(hydroxymethyl)ethane with Dy(NO3)3·6H2O and Cr3O-Bzo-tBu precursor in the presence of triethylamine step-by-step generated a heterometallic 3d-4f chain. Magnetic investigation of the complex indicates typical slow relaxation of the magnetization at low temperature.
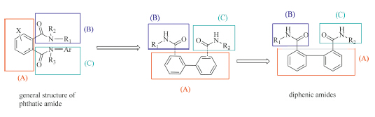
  • Ye Liu, Chao Lei, Xiao-Yong Xu, Xu-Sheng Shao, Zhong Li
    中国化学快报. 2016, 27(03): 321-324. https://doi.org/10.1016/j.cclet.2015.12.011
    摘要 ( ) PDF全文 ( ) HTML 可视化 收藏
    Diamides acting on insect ryanodine receptors are an intensive research area now. In order to search for novel candidates, a series of diamides containing biphenyl substructure were designed and synthesized. Their insecticidal activities against armyworms (Mythimna sepatara) and aphis (Aphis craccivora) were screened. The compounds with 3,5-dichloro-4-(1,1,2,2-tetrafluoroethoxy)phenyl substituent were found to be insecticidal to armyworms with the similar symptoms to poisoning by flubendiamide. In this research, we presented a novel type of diamide insecticide as a lead compound for further optimization.
  • Dai Wu, Ying Gao, Wan-Guo Tian, Yun-Hui Li, Weiting Yang, Zhong-Ming Sun
    中国化学快报. 2016, 27(03): 325-329. https://doi.org/10.1016/j.cclet.2015.12.016
    摘要 ( ) PDF全文 ( ) HTML 可视化 收藏
    Hydrothermal reactions of uranyl nitrate and 4,40-oxidiphthalic acid (H4L) resulted in the formation of three new uranyl-organic framework materials, namely (NH4)2[(UO2)3(L)2]·5H2O (1), (NEt4)[(UO2)3 (H2O)(L)(HL)] (2) and (UO2)7(H2O)2(phen)4(L)2(HL)2 (3) (NEt4=tetraethylammonium, phen=1,10-phenanthroline). These three structures all comprise common uranyl pentagonal bipyramids. In 1, UO7 polyhedra are linked by hexadentate ligands to form a 3D framework with 1D channels, in which are located NH4+ ions and water molecules. While in 2, the organic ligands adopt pentadentate and hexadentate coordination modes, ligating UO7 units to create a layered structure with channels filled by NEt4+ ions. For 3, uranyl square bipyramids are also accommodated together with pentagonal bipyramids, which are linked by tetradentate carboxylate ligands to produce the layered assembly. Phen molecules also coordinate to the uranyl centers to build up the structure. Luminescent studies indicate that 2 and 3 exhibit the characteristic uranyl emission.
  • Lun Song, Li-Min Ma, Qian Sun, Wei-Bing Zhang, Min-Bo Lan, Jun-Hong Qian
    中国化学快报. 2016, 27(03): 330-334. https://doi.org/10.1016/j.cclet.2015.12.012
    摘要 ( ) PDF全文 ( ) HTML 可视化 收藏
    4-Fluoro-7-nitrobenzo-2-oxa-1,3-diazole (NBD-F) was employed as a colorimetric probe for differential detection of biothiols in different media. The spectral response and the selectivity of NBD-F toward thiols were significantly improved by surfactant micelles. Mercapto group exhibited high reactivity in all the solvents (including Tris-HCl buffer solution, CTAB and SDSmicelles). The 4-thioether derivatives of NBDF reacting with Cys and Hcy but not GSH could transfer to the corresponding 4-amino-substituents via intramolecular nucleophilic aromatic substitution, thus, GSH could be discriminated from Cys/Hcy. In CTAB micelles, the reaction product of NBD-F with Cys is non-fluorescent and it absorbs in longwavelength region. According to the spectral responses of NBD-F toward different low-molecularweight thiols, we could identify Cys, Hcy and GSH from each other.
  • Hai-Xia Pang, Yong-Hai Hui, Kui Fan, Xue-Jian Xing, Yang Wua, Jing-Hui Yang, Wei Shi, Zheng-Feng Xie
    中国化学快报. 2016, 27(03): 335-339. https://doi.org/10.1016/j.cclet.2015.10.029
    摘要 ( ) PDF全文 ( ) HTML 可视化 收藏
    Mesoporous MCM-41 supported Schiff base and CuSO4·5H2O shows high catalytic activity in the cyclocondensation of mercaptoacetic acid with imines (or aldehydes and amines) to afford pharmaceutically important thiazolidinone derivatives. The catalytic reactions involving twocomponents or three-components afforded the desired product in high yields (up to 98% and 99%). Moreover, the catalyst works well with respect to recyclability, giving the product in 85% and 83% yields after recycling six times.
  • Jian-Guo Yang, Ling-Zhen Xu, Ling Huang, Jian-Rong Gao, Miao-Chang Liu, Fu-You Pan, Ding-Ben Chen
    中国化学快报. 2016, 27(03): 340-344. https://doi.org/10.1016/j.cclet.2015.11.005
    摘要 ( ) PDF全文 ( ) HTML 可视化 收藏
    An efficient method has been developed for the cascade synthesis of azo[l,2-a]indolones from azoles and 2-fluoroaldehydes based on an iron-catalyzed SNAr and a direct acylation reaction. A number of azo[l,2-a] indolones containing different azole rings and substituents were obtained in good yields.
  • Rong-Kun Li, Quan-Li Yang, Yi Liu, Dong-Wei Li, Nian-Yu Huang, Ming-Guo Liu
    中国化学快报. 2016, 27(03): 345-348. https://doi.org/10.1016/j.cclet.2015.11.008
    摘要 ( ) PDF全文 ( ) HTML 可视化 收藏
    A green Passerini three-component reaction of 2-(4-oxo-4,5,6,7-tetrahydro-1H-indol-1-yl)acetic acid with alkyl or aryl isocyanides and aldehydes was reported under aqueous conditions at 35℃ for 1 h, and 21 indolone-N-amino acid derivatives were prepared in high yields of 42%-99%. Their structures were characterized by IR, ESI-MS, NMR and elemental analysis, and the possible mechanisms have been also proposed. The highly efficient and eco-friendly method provides a facile access to a library of indolone-N-amino acid derivatives for future research on bioactivity screening.
  • Hong-Kun Yang, Yuan-Feng Tong, Song Wu
    中国化学快报. 2016, 27(03): 349-352. https://doi.org/10.1016/j.cclet.2015.11.011
    摘要 ( ) PDF全文 ( ) HTML 可视化 收藏
    A novel and efficient approach for the straightforward synthesis of biologically significant acenaphtho[1,2-b]quinoline derivatives in good yields utilizing CuI as a catalyst with a broad array of substrates has been developed. The strategy features as a CuI-catalyzed cascade reaction involving the formation of two new C-C bonds and one new C-N bond with high atom economy. A proposed mechanism for the reaction is described.
  • Hanan A. Soliman, Ahmed Y. Mubarak, Saad S. Elmorsy
    中国化学快报. 2016, 27(03): 353-356. https://doi.org/10.1016/j.cclet.2015.11.013
    摘要 ( ) PDF全文 ( ) HTML 可视化 收藏
    An operationally simple and green method for the synthesis of a wide range of bis(indolyl)methanes, and N,N'-alkylidene bisamides undermild conditions, with excellent yields using Silzic, has been developed. This improved method furnishes in good yields bis(indolyl)methanes derivatives starting from indole and aldehydes, or ketones, and N,N'-alkylidene bisamides derivatives starting from acetamide and aldehydes. The catalytic system was reused up to three times with the same efficiency.
  • Ye Huang, Wen-Hua Feng
    中国化学快报. 2016, 27(03): 357-360. https://doi.org/10.1016/j.cclet.2015.11.012
    摘要 ( ) PDF全文 ( ) HTML 可视化 收藏
    A method using N,O-bis(trimethylsilyl)acetamide/N-hydroxysuccinimide ester (BSA/NHS) as coupling agents for dipeptide synthesis is descried. The coupling reaction between N-hydroxysuccinimide (NHS) esters and amines could be performed under mild conditions with N,O-bis(trimethylsilyl)acetamide (BSA) as coupling reagent and no additional acid/base is required. All byproducts and excessive reactants are water soluble or hydrolysable and easy to eliminate through water-washing at the purification stage. Moreover, all the reactants are inexpensive and widely used in conventional drug production.
  • Sakineh Asghari, Mohammad Qandalee, Vahideh Behboodi, Arastoo Nouri Gorji, Ghasem Firouzzade Pasha
    中国化学快报. 2016, 27(03): 361-364. https://doi.org/10.1016/j.cclet.2015.11.007
    摘要 ( ) PDF全文 ( ) HTML 可视化 收藏
    A chemoselective synthesis of novel indolizine derivatives were reported via three-component reactions of aminopyridines, acetylenic diesters and α-halo ketones. In these reactions, the zwitterion generated from aminopyridines and acetylenic diesters reacted with α-halo ketones to produce indolizine skeleton in good to high yields under mild reaction conditions.
  • Nagabhushana Nayak, Jurupula Ramprasad, Udayakumar Dalimba, Perumal Yogeeswari, Dharmarajan Sriram
    中国化学快报. 2016, 27(03): 365-369. https://doi.org/10.1016/j.cclet.2016.01.015
    摘要 ( ) PDF全文 ( ) HTML 可视化 收藏
    This article demonstrates the synthesis, characterization and the study of in vitro antitubercular activities of twenty four new N-(4-(5-aryl-3-(5-methyl-1,3,4-oxadiazol-2-yl)-1H-pyrazol-1-yl)phenyl)-4-amide derivatives (8a-x). The antitubercular activity of the compounds against Mycobacterium tuberculosis H37Rv (MTB) revealed that 2-chloro-N-(4-(5-(4-chlorophenyl)-3-(5-methyl-1,3,4-oxadiazol-2-yl)-1H-pyrazol-1-yl)phenyl)benzamide (8n) is the most promising lead molecule with a MIC of 1.56 μg/mL, while the corresponding unsubstituted benzamide derivative (8o) is the next most active molecule with a MIC of 3.13 μg/mL. Interestingly, the pyrazole intermediate 5b containing chlorophenyl and N-acylcarbohydrazide substituents also showed significant activity (MIC=3.13 μg/mL). Further, the active molecules did not show toxicity against a normal NIH 3T3 cell line, signifying their suitability for further drug development.
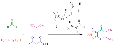
  • Manisha R. Bhosle, Lalit D. Khillare, Sambhaji T. Dhumal, Ramrao A. Mane
    中国化学快报. 2016, 27(03): 370-374. https://doi.org/10.1016/j.cclet.2015.12.005
    摘要 ( ) PDF全文 ( ) HTML 可视化 收藏
    A convenient synthesis of 6-amino-2H,4H-pyrano[2,3-c]pyrazole-5-carbonitriles has been accomplished by one pot four-component cyclocondensation of aromatic aldehydes (1a-o) malanonitrile (2), ethyl acetoacetate (3), and hydrazine hydrate (4) in freshly prepared deep eutectic solvent, DES (choline chloride:urea). This protocol has afforded corresponding pyrano[2,3-c]pyrazoles in shorter reaction time with high yields, and it avoids the use of typical toxic catalysts and solvents.
  • Le Pan, Xiu-Zhuang Li, Di-An Sun, Hui Jin, Hong-Ru Guo, Bo Qin
    中国化学快报. 2016, 27(03): 375-379. https://doi.org/10.1016/j.cclet.2016.01.029
    摘要 ( ) PDF全文 ( ) HTML 可视化 收藏
    The presence of hydroxyl groups at the C4 and C7 positions in coumarin backbone has been proposed as a potential modification site for providing excellent bioactivity according to previous studies. A series of novel coumarin derivatives were rationally designed and synthesized by use of a complex catalytic system for a targeted modification at the above sites. These derivatives were assayed for nematicidal activity. As predicted, the derivatization enhanced the activity of the coumarins against five nematodes. Compounds 7b, 9a, 10c and 11c showed significant strong nematicidal broad spectrum activity against all tested nematodes. Compound 10c was the most effective with the lowest LC50 values against Meloidogyne incognita (5.1 μmol/L), Ditylenchus destructor (3.7 μmol/L), Bursaphelenchus mucronatus (6.4 μmol/L), Bursaphelenchus B. xylophilus (2.5 μmol/L) and Aphelenchoides besseyi (3.1 μmol/L), respectively. A brief investigation on the structure-activity relationships (SAR) revealed that the targeted modification by a C7 hydroxyl was optimum compared with that of a C4 hydroxyl and that the coupling chain length was crucial for the nematicidal activity.
  • Moustafa T. Gabr, Nadia S. El-Gohary, Eman R. El-Bendary, Mohamed M. El-Kerdawy, Nanting Ni
    中国化学快报. 2016, 27(03): 380-386. https://doi.org/10.1016/j.cclet.2015.12.033
    摘要 ( ) PDF全文 ( ) HTML 可视化 收藏
    A new series of benzothiazole Schiff bases 3-29 was synthesized and screened for antitumor activity against cervical cancer (Hela) and kidney fibroblast cancer (COS-7) cell lines. Results indicated that compounds 3, 14, 19, 27 and 28 have promising activity against Hela cell line with IC50 values of 2.41, 3.06, 6.46, 2.22 and 6.25 μmol/L, respectively, in comparison to doxorubicin as a reference antitumor agent (IC50 2.05 μmol/L). In addition, compound 3 displayed excellent activity against COS-7 cell line with IC50 value of 4.31 μmol/L in comparison to doxorubicin (IC50 3.04 μmol/L). In the present work, structure based pharmacophore mapping, molecular docking, protein-ligand interaction, fingerprints and binding energy calculations were employed in a virtual screening strategy to identify the interaction between the compounds and the active site of the putative target, EGFR tyrosine kinase. Molecular properties, toxicity, drug-likeness, and drug score profiles of compounds 3, 14, 19, 27, 28 and 29 were also assessed.
  • Wen-Ya Wang, Cheng-Wu Shen, Zhi-Jie Weng, Tie-Chuang Wang, Chuang Zhang, Xun-Qi Jin, Jian-Qi Li
    中国化学快报. 2016, 27(03): 387-390. https://doi.org/10.1016/j.cclet.2015.11.002
    摘要 ( ) PDF全文 ( ) HTML 可视化 收藏
    In the search of novel neuroprotective agents with higher potency than our previously identified antiischemic stroke drug candidate 1, a series of novel dicarbonyl piperazine derivatives were synthesized and evaluated on their neuroprotective activity via oxygen-glucose deprivation test in the neuron-like PC12 cells, hypoxia tolerance model in mice and focal cerebral ischemia model in rats. The result obtained indicated that compounds 7f, 7k and 7o, exhibited neuroprotective activity. Particularly, compound 7o containing 2,5-dimethylpiperazin moiety, showed prolonged life time of mice and reduced cerebral infarction of rats, which provided a potential candidate for the development of neuroprotective agents.
  • Jing Wen, Yun-Lei Luo, Hui-Zhen Zhang, Huan-Huan Zhao, Cheng-He Zhou, Gui-Xin Cai
    中国化学快报. 2016, 27(03): 391-394. https://doi.org/10.1016/j.cclet.2015.12.014
    摘要 ( ) PDF全文 ( ) HTML 可视化 收藏
    N-Alkylated benzimidazole derivatives have been synthesized via the aza-Michael addition reactions of 1H-benzimidazoles to α,β-unsaturated compounds in water and palladium acetate obviously promoted these transformations. The reported method, overcoming the inactivation of palladium under the equivalent nitrogenous conditions, has the advantages of convenient manipulation, atom-economy, as well as environmental friendliness. The bioactive results showed that butyl 3-(5,6-dimethyl-1H-benzo[d]imidazol-1-yl)propanoate (3c) exhibited excellent inhibitory activity against Bacillus subtilis (MIC=16 μg/mL) and Bacillus proteus (MIC=8 μg/mL). Therefore, this process would facilitate the construction of various potential bioactive compounds based on the benzimidazole scaffold under mild conditions.
  • Tian-Tian Chen, Qiu-Yun Chen, Ming-Yang Liu
    中国化学快报. 2016, 27(03): 395-398. https://doi.org/10.1016/j.cclet.2015.12.013
    摘要 ( ) PDF全文 ( ) HTML 可视化 收藏
    New types of fluorescence DNA-based silver nanoclusters (DNAn-AgNCs, n=1, 2, 3c, 4c, 5c) were synthesized by C3T-rich nucleotides as templates. It is found that the assembly of DNAn-AgNCs with nucleotides containing GAG sequences produce silver clusters with an enhanced red emission. Results indicate that GAG is the good enhancer of DNAn-AgNCs constructed by C3T-rich nucleotides. The fluorescence titration reveals that enhanced red emission is sensitive to Fe(Ⅲ/Ⅱ) ions with the formation of non-emission nanoclusters. Thus, the GAG-containing nucleotide can be an enhancer for the emission of silver clusters with C3T-rich nucleotide and a mediator of the iron-cluster interplay.
  • Ming-Xian Liu, Ling-Yan Chen, Da-Zhang Zhu, Hui Duan, Wei Xiong, Zi-Jie Xu, Li-Hua Gan, Long-Wu Chen
    中国化学快报. 2016, 27(03): 399-404. https://doi.org/10.1016/j.cclet.2015.12.026
    摘要 ( ) PDF全文 ( ) HTML 可视化 收藏
    A novel zinc tartrate oriented hydrothermal synthesis of microporous carbons was reported. Zinc-organic complex obtained via a simple chelation reaction of zinc ions and tartaric acid is introduced into the networks of resorcinol/formaldehyde polymer under hydrothermal condition. After carbonization process, the resultant microporous carbons achieve high surface area (up to 1255 m2/g) and large mean pore size (1.99 nm) which guarantee both high specific capacitance (225 F/g at 1.0 A/g) and fast charge/discharge operation (20 A/g) when used as a supercapacitor electrode. Besides, the carbon electrode shows good cycling stability, with 93% capacitance retention at 1.0 A/g after 1000 cycles. The welldesigned and high-performance microporous carbons provide important prospects for supercapacitor applications.
  • Li Zhang, Guang-Shui Na, Chun-Xiang He, Rui-Jing Li, Hui Gao, Lin-Ke Ge, Yan-Jie Wang, Yao Yao
    中国化学快报. 2016, 27(03): 405-411. https://doi.org/10.1016/j.cclet.2015.12.001
    摘要 ( ) PDF全文 ( ) HTML 可视化 收藏
    This study developed a method to perform the simultaneous concentration and selective separation of 66 (ultra) trace persistent toxic substances in Antarctic waters. The substances included 30 polychlorinated biphenyls, 17 organochlorine pesticides, 16 polycyclic aromatic hydrocarbons, 3 hexabromocyclododecanes. Solid phase extraction was performed using a C18 membrane and silica gel column. Gradient elution was conducted using organic solvents with different polarities; as a result, the efficiency of the C18 film is improved and the interferences from impurities and target compounds are eliminated. Extracts were subsequently analyzed through gas chromatography or liquid and gas chromatography coupled to tandem mass spectrometry. Method validation yielded the following values:recoveries of all target analytes in the Antarctic water ranged from 87.3% to 117.6% and reproducibility as percent relative standard deviation was lower than 5%. Quantification limits ranged from 0.004 μg L-1 to 0.030 μg L-1. The established method improved the recoveries and reduced the limits of detection. Results indicated the method exhibited good performance in the simultaneous concentration and selective separation of 66 (ultra) trace organic pollutants; Therefore, the proposed sample pretreatment can potentially eliminate the effects of various classes of impurities to some extent.
  • Qi Yang, Tao Sun, Jia-Yu Yu, Jin-Xin Ma
    中国化学快报. 2016, 27(03): 412-416. https://doi.org/10.1016/j.cclet.2015.12.025
    摘要 ( ) PDF全文 ( ) HTML 可视化 收藏
    GeO2-C fibers were successfully synthesized using electrospinning homogeneous sol and subsequent calcination in an inert atmosphere. The spinnable sol was prepared by adding polyacrylonitrile (PAN) and polyvinylpyrrolidone (PVP) in a weight ratio of 1:1 into a mixture with white precipitate produced by dropping GeCl4 into DMF. X-ray diffraction (XRD), X-ray photoelectron spectroscopy (XPS), thermogravimetric analysis (TGA), scanning electron microscopy (SEM) and transmission electron microscopy (TEM) were employed to characterize the as-obtained fibers, and electrochemical tests were conducted to measure electrochemical performance of the electrode. The electrospun fibers have uniform diameters of 300 nm. After being calcined at 600℃ for 2 h in Ar, they transform to amorphous GeO2-C fibers with the same morphologies. The GeO2-C fibers exhibit excellent cycling stability with a high reversible capacity of 838.93 mA h g-1 after 100 cycles at a current density of 50 mA g-1, indicating the composite fibers could be promising anode candidates for lithium-ion batteries.
  • Bo Li, Xu-Zhuo Sun
    中国化学快报. 2016, 27(03): 417-422. https://doi.org/10.1016/j.cclet.2015.12.003
    摘要 ( ) PDF全文 ( ) HTML 可视化 收藏
    Two new supramolecular architectures {(HC2O4)22-[C6H18N22+⊂C36H36N24O12]}·12H2O (1) and {(C6H5SO3)22-[C6H18N22+⊂C36H36N24O12]}·12H2O (2) were synthesized and characterized by singlecrystal X-ray diffraction, thermogravimetric analysis and X-ray powder diffraction. Compound 1 contains infinite two dimensional (2D) L18(8)14(8)8(4) type anion-water aggregates[(HC2O4)4 (H2O)22]4- and results in the construction of sandwich-like three dimensional (3D) networks. In compound 2, honeycomβ-like three dimensional (3D) networks are fabricated by one dimensional (1D) "W"-like T5(0)A2 type anion-water clusters[(C6H5SO3)(H2O)6]-. These results indicate that anionic groups play a crucial role in modulating the structures of water clusters with their spatial structure and binding sites. In these two structures, the majority of interactions are O...H and H...Hinteractions on the Hirshfeld surface, which means that hydrogen bonding and hydrophobic interactions are the dominate drive forces in forming these supramolecular systems.
  • Yu Wang, Wen-Shi Wu, Miao-Ling Huang
    中国化学快报. 2016, 27(03): 423-427. https://doi.org/10.1016/j.cclet.2015.12.006
    摘要 ( ) PDF全文 ( ) HTML 可视化 收藏
    Reactions of copper(Ⅱ) sulfate or copper(Ⅱ) perchlorate, samarium(Ⅲ), erbium(Ⅲ) or neodymium(Ⅲ) nitrate (5/1 equiv.) with pyrazinohydroxamic acid (H2Pyzha) in H2O/MeOH led to three new heterobimetallic 15-metallacrown-5 complexes. In a MeOH/H2O solution, when adding inorganic salts, the ligands exist as protonated metallacrowns. In the solid state, their structures are more complicated as confirmed by X-ray analysis:metallacrown[Sm (H2O)3 {Cu(pyzha)}5 (H2O)2 (MeOH) (HSO4)2]·(H2O)2 (HSO4) (1);[Nd(H2O)2 (MeOH) {Cu(pyzha)}5 (ClO4)2 (H2O)5(NO3)] (2);[Eu(H2O)2 (MeOH) {Cu(pyzha)}5 (ClO4)2 (H2O)5 (NO3)] (3). The differentiation of atomic and ionic radii between the encapsulated lanthanide(Ⅲ) could be used to control the bowl-shape distortion of the metallacrowns from the planar geometry. The complex 1 clearly exhibits fluorescence behavior of samarium(Ⅲ), while 2 and 3 show that of copper(Ⅱ) and ligand.
  • Gao-Nan Li, Cheng-Wei Gao, Hui Xie, Hao-Hua Chen, Dong Liu, Wei Sun, Guang-Ying Chen, Zhi-Gang Niu
    中国化学快报. 2016, 27(03): 428-432. https://doi.org/10.1016/j.cclet.2015.12.007
    摘要 ( ) PDF全文 ( ) HTML 可视化 收藏
    Two new fluorinated phenylisoquinoline-based iridium(Ⅲ) complexes,[Ir(f2piq)2(bipy)] [PF6] (3a) and[Ir(fmpiq)2(bipy)] [PF6] (3b) (f2piq=1-(2,4-difluorophenyl)isoquinoline, fmpiq=1-(4-fluoro-2-methylphenyl) isoquinoline, bipy=2,2'-bipyridine), have been synthesized and fully characterized. Single crystal X-ray diffraction study has been undertaken on complexes 3a and 3b, which show that each adopts the distorted octahedral coordination geometry with the cis-C,C' and trans-N,N' configuration. The photoluminescence spectra of 3a and 3b exhibit yellow and orange emission maxima at 584 and 600 nm, respectively. The frontier molecular orbital diagrams and the lowest-energy electronic transitions of 3a-3b have been calculated with density functional theory (DFT) and time-dependent DFT (TD-DFT). The absorption and emission spectra of complex 3b is red-shifted relative to those of complex 3a, as a consequence of the nature of the methyl group.
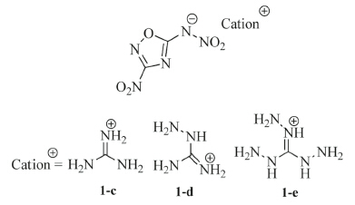
  • Yong-Tao Gao, Lin-Man Zhao, Fu-Qing Pang, Xiu-Juan Qi, Jing-Lun Huang, Fu-Xue Chen
    中国化学快报. 2016, 27(03): 433-436. https://doi.org/10.1016/j.cclet.2015.12.008
    摘要 ( ) PDF全文 ( ) HTML 可视化 收藏
    A series of 3-nitro-5-nitroimino-1,2,4-oxadiazole-based energetic salts were synthesized from 3-nitro-5-nitroimino-1,2,4-oxadiazole anion and nitrogen-rich cations. They were fully characterized by IR, elemental analysis and NMR spectroscopy. The structure of triaminoguanidinium salt (1-e) was confirmed by single crystal X-ray diffraction. All salts showed good thermal stability with decomposed temperature ranging from 155℃ to 258℃, and positive heats of formation from 226.0 kJ/mol to 554.1 kJ/mol. Thus, the theoretic detonation pressure was predicted from 28.70 GPa to 37.60 GPa and velocities from 8526 m/s to 9354 m/s. Among them, guanidinium salt (1-c) exhibited both high decomposition temperature (258℃) and detonation velocity (9319 m/s).
  • Hang Li, Xiao-Qing Zhong, Yong-Lie Sun, Cheng-Yuan Huang, Qi-Hui Wu
    中国化学快报. 2016, 27(03): 437-440. https://doi.org/10.1016/j.cclet.2015.11.016
    摘要 ( ) PDF全文 ( ) HTML 可视化 收藏
    We exploited a hydrogen-passivated germanium atomic cluster (Ge10H16) as a model to study the mechanism of lithium alloying with germanium. Based on the density functional theory, the electronic and crystal structures of lithium-alloyed Ge10H16 were investigated. The theoretical results indicate that the alloying of lithium with Ge10H16 will weaken the germanium-hydrogen bond and repel the closest germanium atom away from the alloyed lithium atom. Based on the maps of the electron density distribution, the nature of the lithium-germanium chemical bond was analyzed. Moreover, the diffusion process of the lithium on the Ge10H16 cluster was detected, which suggested that there is a close relationship between the diffusion barriers and the coordination number around the lithium atom.
  • Ting Zhang, Dong-Qing Xu, Jun-Ming Chen, Ping Zhang, Xu-Chun Wanga
    中国化学快报. 2016, 27(03): 441-446. https://doi.org/10.1016/j.cclet.2015.12.028
    摘要 ( ) PDF全文 ( ) HTML 可视化 收藏
    Agroup of novel, carbazole-based dendrimers comprised of the electron-accepting dibenzothiophene core and the electron-donating oligo-carbazole dendrons, namely G1SF and G2SF, are synthesized utilizing the Ullmann C-N coupling reaction. The dendrimers are designed in such a way to show good solubility in common organic solvents, excellent thermochemical stability withdecomposition temperatures (Td) upto 430℃, and high HOMO levels in a range from -5.45 eV to -5.37 eV. Results of density functional theory calculations (DFT) indicate G2SF has an almost complete separation ofHOMOandLUMOlevels at the holeand electron-transporting moieties; while G1SF exhibits only partial separation of the HOMO and LUMO levels possibly due to intramolecular charge transfer. Green phosphorescent OLEDs were fabricated by the spin coating method with the dendrimers as hosts and traditional green iridium phosphor as doped emitter. Under ambient conditions, a maximumluminance efficiency (ηL) of 19.83 cd A-1 and a maximum external quantum efficiency of 5.85% are achieved for G1SF, and 15.50 cd A-1 and 4.57% for G2SF.
  • Bei-Bei Hu, Yue Yuan, Xiao-Ping Zhou, San-Ming Li
    中国化学快报. 2016, 27(03): 447-450. https://doi.org/10.1016/j.cclet.2015.12.019
    摘要 ( ) PDF全文 ( ) HTML 可视化 收藏
    A novel bolaamphiphile surfactant N,N'-(octane-1,8-diyl)bis(pyrrolidine-2-carboxamide) (DAOP), was designed and synthesized from proline and 1,8-diaminooctane, as the hydrophilic part and hydrophobic part, respectively. After separation and purification, the structures of the synthesized bola surfactants were verified by IR, MS and 1H NMR. The pKa was measured by a titration experiment, the turbidity was determined using a Shimadzu UV-1750 spectrophotometer, and the critical micelle concentration (CMC) values of the synthesized surfactants in water were obtained using the conductivity and fluorescence probe measurements. The synthesized bolaamphiphile surfactants demonstrate the ability of selfassemble to form vesicles that were confirmed with dynamic light scattering and transmission electron microscopy. The results showed that the novel bolaamphiphile surfactant derived from proline might potentially be an excellent carrier for drug delivery.
  • Wei Su, Rong Li, Yan-Jun Xing
    中国化学快报. 2016, 27(03): 451-453. https://doi.org/10.1016/j.cclet.2015.12.009
    摘要 ( ) PDF全文 ( ) HTML 可视化 收藏
    A simple and convenient method, free of template, has been proposed to synthesize hollow carambolashaped Ag2S microspheres with AgNO3, thiourea (TU), NaCl and diethanolamine as reagents using a microwave-assisted method, at low temperatures of below 100℃. Powder X-ray diffraction (XRD), scanning electron microscopy (FESEM) and high resolution transmission electron microscopy (HRTEM) were employed to characterize the morphology and composition of those microspheres. The results indicated that the hollow carambola-shaped silver sulfide microspheres (with high purity and homogeneous morphology) were prepared by an Ostwald ripening process. A possible formation mechanism of hollow carambola-shaped Ag2S microspheres was proposed.
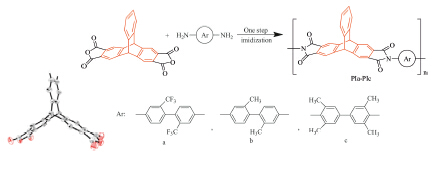
  • You-Hua Xiao, Yu Shao, Xu-Xu Ye, Hao Cui, De-Lian Wang, Xia-Heng Zhou, Sheng-Ling Sun, Lin Cheng
    中国化学快报. 2016, 27(03): 454-458. https://doi.org/10.1016/j.cclet.2015.12.018
    摘要 ( ) PDF全文 ( ) HTML 可视化 收藏
    A novel triptycene-based dianhyride as a shape-persistent building block with high internal free volume was conveniently synthesized via solvothermal method. Subsequently, three all-aromatic polyimides, PIa, PIb and PIc, were prepared by a one-step polycondensation of triptycene-2,3,6,7-tetracarboxylic dianhydride with 2,2'-bis(trifluoromethyl)benzidine, m-tolidine and 3,3',5,5'-tetramethylbenzidine, respectively. The corresponding polymers exhibit good solubility, excellent thermal stability, significant microporosity with large BET surface areas of up to 623 m2 g-1, as well as an unexpected optical property with a transmittance of 85% at 450 nm as~20 μm membranes.
  • Shou-Jun Guo, Jie Bai, Hai-Ou Liang, Chun-Ping Li
    中国化学快报. 2016, 27(03): 459-463. https://doi.org/10.1016/j.cclet.2015.12.029
    摘要 ( ) PDF全文 ( ) HTML 可视化 收藏
    The palladium nanoparticles/carbon nanofibers (Pd NPs/CNFs) catalyst was prepared by the electrospinning method, the hydrazine hydrate solution reduction in an ice bath environment, the high temperature carbonization. The catalyst was characterized by X-ray diffraction (XRD), fieldemission scanning electron microscope (FE-SEM), and transmission electron microscopy (TEM). The nanofibers are not cross-linked and arranged in order. The surface of Pd NPs/CNFs is smooth, and it can be observed that a large number of particleswere loaded and well-dispersed in carbon fiber matrix, and the particle distribution is uniform. The activity center of catalyst is Pd(0). The Pd NPs/CNFs exhibited a high efficiency, good reusability and stability in the Suzuki and Heck reactions. It can be used for at least five consecutive runs without significant loss of its catalytic activity. The good recyclability of Pd NPs/CNFs provides a way to greatly reduce the cost of the catalyst.
  • Hu Wang, Xiao-Xiong Liu, Juan Xie, Ming Duan, Jun-Lei Tang
    中国化学快报. 2016, 27(03): 464-466. https://doi.org/10.1016/j.cclet.2015.12.027
    摘要 ( ) PDF全文 ( ) HTML 可视化 收藏
    In this work, ZnSn(OH)6 with a cubic structure is successfully synthesized by one-step hydrothermal method without any catalyst. The response and recovery characteristics of gas sensing were investigated against various gases via quartz crystal microbalance (QCM) at room temperature. The sensor exhibited high sensitivity and good selectivity toward CO gas. Moreover, a linear dependence of log(-Delta F) about CO concentration was obtained. It is demonstrated that the QCM sensor coated cubic ZnSn(OH)6 could be a suitable candidate for detecting CO.
  • Zhi-Lin Cheng, Shuai Han
    中国化学快报. 2016, 27(03): 467-470. https://doi.org/10.1016/j.cclet.2015.12.010
    摘要 ( ) PDF全文 ( ) HTML 可视化 收藏
    For the first time the preparation of the N-doped TiO2-coated NaY zeolite membrane (N-doped TiO2/NaY zeolite membrane) as an electrode material for photoelectrocatalysis has been achieved and reported. The XRD, SEM, UV-vis and XPS techniques were used to characterize the structure of the N-doped TiO2/NaY zeolite membrane. The results verified that the surface of the N-doped TiO2/NaY zeolite membrane was coated by TiO2 nanoparticles of ca. 20 nmsize and exhibited a distinct red-shift in the UV-vis spectra compared to N-doped TiO2. The photoelectrocatalysis performance of the N-doped TiO2/NaY zeolite membrane electrode was evaluated by phenol degradation. The results revealed it is a promising novel electrode material for application of photoelectrocatalysis in the removal of organic contaminants in waste water.
  • Viran P. Mahida, Manish P. Patel
    中国化学快报. 2016, 27(03): 471-474. https://doi.org/10.1016/j.cclet.2015.12.015
    摘要 ( ) PDF全文 ( ) HTML 可视化 收藏
    The goal of the present research is to remove high percentage of cationic and anionic dyes such as, Neutral Red, Safranin O and Indigo Carmine from aqueous solutions by poly(NIPAAm/N,N-diallylpyrrolidinium bromide/AA) superabsorbent amphoteric nanohydrogels synthesized using the inverse microemulsion polymerization method. Effect of various parameters such as, treatment time, initial dye concentration, pH and adsorbent dose were investigated. Furthermore, kinetics and isotherms adsorption models were applied to determine the maximum adsorption and mechanism for adsorption, which shows that adsorption obeyed the pseudo-second order kinetics. Fromthe results, removal of dyes within the nanohydrogel was found to be in the order:AB-74< BR-2 ≤BR-5.
  • Yan Li, Ming-Guang Li, Ya-Jun Su, Jian-Gang Liu, Yan-Chun Han, Shi-Jun Zheng, Li-Xiang Wang
    中国化学快报. 2016, 27(03): 475-480. https://doi.org/10.1016/j.cclet.2015.12.024
    摘要 ( ) PDF全文 ( ) HTML 可视化 收藏
    In this work, the mesophase properties were tuned via mixing two discotic molecules with structural complementarity. Compared with the liquid crystalline hexakis(n-hexyloxy)triphenylene (H6TP) materials (columnar hexagonal phase from 53℃ to 91℃), mesophase types as well as phase transition temperatures varied with the introduction of crystalline hexaazatriphenylene derivative (PBH) molecules. The introduction of less than 33% amount of PBH disrupted the columnar hexagonal phase formed by H6TP remarkably, followed by the decreased clearing temperatures of liquid crystals. As the PBH amount was further increased, the destroyed columnar hexagonal phase was turned into the columnar rectangular phase, in which H6TP and PBH molecules together formed the columnar mesophase. The formation of newmesophase contributed to the enlarged mesophase temperature (from 44℃ to 144℃). We speculated that the alkyl chains interaction induced by the PBH component competed with the strong π-π stacking between H6TP molecules, thus altering the liquid crystalline properties including mesophase types and phase transition temperatures.
  • Reza Ojani, Parisa Hamidi, Jahan-Bakhsh Raoof
    中国化学快报. 2016, 27(03): 481-486. https://doi.org/10.1016/j.cclet.2015.12.030
    摘要 ( ) PDF全文 ( ) HTML 可视化 收藏
    The Prussian blue nanoparticles (PBNPs) were prepared by a self-assembly process, on a glassy carbon (GC) electrode modified with a poly(o-phenylenediamine) (PoPD) film. The stepwise fabrication process of PBNPs-modified PoPD/GCE was characterized by scanning electron microscopy (SEM) and electrochemical impedance spectroscopy. The prepared PBNPs showed an average size of 70 nm and a homogeneous distribution on the surface of modified electrodes. The PBNPs/PoPD/GCE showed adequate mechanical, electrochemical stability and good sensitivity in comparison with other PB based H2O2 sensors. The present modified electrode exhibited a linear response for H2O2 reduction over the concentration range of 1-58.22 μmol L-1 with a detection limit of ca. 0.8 μmol L-1 (S/N=3), and sensitivity of 3187.89 mA (mol L-1)-1 cm-2 using the amperometric method. This sensor was employed for the H2O2 determination in real sample and also exhibited good interference resistance and selectivity.