本期目录

2016年, 第27卷, 第02期 刊出日期:2016-02-22
  

  • 全选
    |
    综述
  • Wei Zhang, Xin-Yang Zhou, Qin-Ying Yu, Lu-Pei Du, Min-Yong Li
    中国化学快报. 2016, 27(02): 185-189. https://doi.org/10.1016/j.cclet.2015.12.002
    摘要 ( ) PDF全文 ( ) HTML 可视化 收藏
    α1-Adrenoceptors (α1-ARs), including at least three subtypes, α1A, α1B and α1D, which play essential roles in G protein-coupled receptors (GPCRs), can convey multiple pivotal extracellular signals in varied tissues and organs. In this research, a series of napthalimide-based small-molecule fluorescent probes (1a-1f) for α1-ARs, including two parts, a pharmacophore (quinazoline and phenylpiperazine) for α1-AR recognition and a fluorophore (naphthalimide) for visualization, were designed and synthesized successfully. These compounds display excellent fluorescence property and high affinity to receptors, which were used successfully for in vitro visualization of α1-adrenoceptors.
  • Tian-Fang Cui, Jing Zhang, Xin-Dong Jiang, Ya-Jun Su, Chang-Liang Sun, Jiu-Li Zhao
    中国化学快报. 2016, 27(02): 190-194. https://doi.org/10.1016/j.cclet.2015.11.010
    摘要 ( ) PDF全文 ( ) HTML 可视化 收藏
    A dibromo substituted BOPHY derivative (2) was prepared and found to exhibit photo-sensitization capability. Rapid oxidation of 80% DPBF at the first 6 min was observed suggesting that 2 is a superior photo-sensitizer than methylene blue. The HOMO-LUMO band gap for the lowest energy absorption bands of the BOPHY 1 is smaller than that of PS 2, which is in good agreement with the red shift in the absorption observed between 1 and 2.
  • Yong-Fei Xu, Mo-Zhen Wang, Qi-Chao Wu, Xiao Zhou, Xue-Wu Ge
    中国化学快报. 2016, 27(02): 195-199. https://doi.org/10.1016/j.cclet.2015.12.004
    摘要 ( ) PDF全文 ( ) HTML 可视化 收藏
    The fabrication of raspberry-like poly(ethylene terephthalate)/polyacrylonitrile (PET/PAN) microspheres by γ-ray radiation-induced polymerization of acrylonitrile on micron-sized PET microspheres were first reported in this work. A PET emulsion was firstly prepared by dispersing a PET solution with 1,1,2,2-tetrachloroethane/phenol mixture as the solvent into an aqueous solution of sodium dodecyl sulfate. Then, PET microspheres were formed by precipitating the PET emulsion droplets from ethanol. The influence of the PET solvent and the weight ratio of ethanol to PET emulsion on the morphology of the PET microspheres had been investigated. After the surface of the prepared PET microspheres was grafted with poly(acrylic acid), the grafting polymerization of AN also had been successfully initiated by γ-ray radiation to form PAN microspheres with a size of about 100 nm on the PET microspheres. This work provides a new method to fabricate micron-sized PET microspheres, and further expands the functionalization of PET and its application fields.
  • Guo-Rui Gao, Meng-Yuan Li, Yong-Cong Lv, Su-Fen Cao, Lin-Jiang Tong, Li-Xin Wei, Jian Ding, Hua Xie, Wen-Hu Duan
    中国化学快报. 2016, 27(02): 200-204. https://doi.org/10.1016/j.cclet.2015.10.004
    摘要 ( ) PDF全文 ( ) HTML 可视化 收藏
    Inhibition of VEGFR-2 signaling pathway is one of the most promising approaches for the treatment of cancer. In this paper, we reported the design, synthesis, and biological evaluation of a series of biphenylurea derivatives as VEGFR-2 inhibitors. Among these compounds, 39 exhibited potent inhibitory activity against VEGFR-2 both in vitro and in vivo. The antiangiogenesis activity of 39 was further confirmed by both tube formation assay and chick chorioallantoic membrane assay.
  • Ying Long, Jia Zhou, Mei-Pan Yang, Bing-Qin Yang
    中国化学快报. 2016, 27(02): 205-210. https://doi.org/10.1016/j.cclet.2015.09.003
    摘要 ( ) PDF全文 ( ) HTML 可视化 收藏
    A new rhodamine B derivative T1 has been rationally synthesized and displayed selective Pd(Ⅱ)-amplified absorbance and fluorescence emission above 540 nm in methanol-water. Upon the addition of Pd(Ⅱ), the spirolactam ring was unfolded and a 1:1 metal-ligand complex formed, which can be used for "naked-eyes" detection. In addition, fluorescence imaging experiments of Pd2+ in HepG2 living cells showed its valuable application in biological systems.
  • Xin-Yu Wang, Feng-Jie Guan, Bin Li, Hua Zhang, Hong-Wei Wu, Kai Ji, Chuan-Xiang Liu
    中国化学快报. 2016, 27(02): 211-214. https://doi.org/10.1016/j.cclet.2015.11.014
    摘要 ( ) PDF全文 ( ) HTML 可视化 收藏
    A new chromogenic and fluorescent "turn-on" chemodosimeter 3 was designed and synthesized by using a fluoride-sensitive self-immolative linker, in combination with the fluorescent dyes 7-hydroxy-4-trifluoromethyl coumarin. The chemodosimeter exhibited high selectivity and sensitivity toward fluoride anions through "turn-on" chromogenic and fluorogenic dual modes.
  • Ying-Hui Ma, Meng-Ying Wei, Yuan-Yuan Liu, Feng-Rui Song, Zhong-Ying Liu, Zi-Feng Pi
    中国化学快报. 2016, 27(02): 215-220. https://doi.org/10.1016/j.cclet.2015.10.003
    摘要 ( ) PDF全文 ( ) HTML 可视化 收藏
    The Caco-2 cells have been recognized as effective tools to be applied to imitate the drug absorption in human intestine for the transport of drug. In this study, Caco-2 cell monolayer model was used to study compatibility of the transport of the Veratrum alkaloids in different proportions with Panax ginseng. A specific ultra-high performance liquid chromatographic-electrospray ionization-mass spectrometric (UPLC-ESI-MS) method is developed for the semi-quantitative determination of Veratrum alkaloids on intestinal transport with berberine as internal standard (IS). In the Caco-2 model constructed, three influencing factors are investigated, including time, concentration and recovery rates of the Veratrum alkaloids during the uptake from AP (apical side) to BL (basolateral side). The results suggest that the flux of Veratrum alkaloids is time dependent and concentration dependent. And the absorption of all eight Veratrum alkaloids increase after compatibility with Panax ginseng compared to the single Veratrum nigrum extraction. This research was studied from the perspective of intestinal absorption by the UPLCESI-MSmethod. Thismethod was successfully applied to transport studies of the Veratrum alkaloids and the interaction mechanism between Veratrum nigrum and Panax ginseng.
  • Kamaleddin Haj Mohammad Ebrahim Tehrani, Maryam Hashemi, Maryam Hassan, Farzad Kobarfard, Shohreh Mohebbi
    中国化学快报. 2016, 27(02): 221-225. https://doi.org/10.1016/j.cclet.2015.10.027
    摘要 ( ) PDF全文 ( ) HTML 可视化 收藏
    Based on the existing reports on the bioactive isatin derivatives, a number of Schiff bases were synthesized by reacting 5-substituted isatins with bioactive amines/hydrazides and their structures were confirmed using spectroscopic methods such as NMR, IR and mass spectrometry. Furthermore, N-benzylation of isatin followed by the Schiff base formation furnished a new series of compounds (11a-13c) which allowed the analysis of the effect of isatin N-substitution on the bioactivity of the resulting compounds. The antibacterial activity of the synthesized derivatives was evaluated using a microtiter plate method on a series of gram positive and gram negative bacterial strains. Compounds 2d, 3b, 5c and 6a were among the most potent derivatives against Pseudomonas aeruginosa (MIC = 6.25 μg/mL). Analysis of the structure-activity relationship showed that the incorporation of (thio)urea-based Schiff bases lead to more potent derivatives with a broader spectrum of antibacterial activity. In addition, highly lipophilic compounds such as 11a-12c did not show any measurable antibacterial activity, which implies that an optimal lipophilicity might be an important requirement for the antibacterial activity of the studied isatins. Finally, the finding that hydantoin derivatives of N-benzylisatins (13a-13c) still exhibit some antibacterial activity prompted us to consider exploring the bioactivity of more diverse derivatives of isatin-aminohydantoin Schiff bases (compounds 1a-1d) in our future studies.
  • Zhi-Lei Zhou, Peng-Cheng Wang, Ming Lu
    中国化学快报. 2016, 27(02): 226-230. https://doi.org/10.1016/j.cclet.2015.10.010
    摘要 ( ) PDF全文 ( ) HTML 可视化 收藏
    A series of Bronsted acidic ionic liquids (ILs) were prepared and used for Biginelli-type condensation reaction among aromatic aldehydes, urea or thiourea and cyclopentanone. Through this reaction, the synthesis of various pyrimidinones could be achieved. Of interest, it was found that the reaction was efficiently catalyzed by a novel, eco-friendly functionalized IL [C3SO3HDoim]HSO4, which could be reused for at least 7 times without significantly loss of catalytic activity. The reaction proceeded efficiently at 80℃ to afford the desired products in good yield (up to 96%). In addition, a possible mechanism that accounted for the IL [C3SO3HDoim]HSO4-catalyzed reaction was proposed.
  • Huai-Yin Chen, Jin Wang, Le Meng, Tao Yang, Kui Jiao
    中国化学快报. 2016, 27(02): 231-234. https://doi.org/10.1016/j.cclet.2015.09.018
    摘要 ( ) PDF全文 ( ) HTML 可视化 收藏
    In this study, we synthesized molybdenum disulfide/polyaniline (MoS2/PANI) nanocomposite via in situ polymerization of aniline in the presence of thin-layered MoS2. The as-prepared MoS2/PANI nanocomposite obtained an improved electrochemical performance due to the physisorption interaction between aromatic aniline and the basal plane of MoS2. Furthermore, we constructed a new kind of electrochemical sensor based on MoS2/PANI nanocomposite for the detection of chloramphenicol, which showed an excellent performance. The sensor has a high sensitivity and wide detection range from 1×10-7 mol/L to 1×10-4 mol/L, with a low detection limit of 6.9×10-8 mol/L.
  • Chen-Yu Ling, Yun-Liang Tao, Wen-Jing Chu, Hui Wang, Hai-Dong Wang, Yu-She Yang
    中国化学快报. 2016, 27(02): 235-240. https://doi.org/10.1016/j.cclet.2015.09.019
    摘要 ( ) PDF全文 ( ) HTML 可视化 收藏
    A series of novel pleuromutilin derivatives with 4H-pyran-4-one and pyridin-4-one substitution in the C-14 side chain have been designed and synthesized. In vitro antibacterial activity evaluation showed that most of the derivatives exhibited potent antibacterial activity against drug resistant Gram-positive strains. Compounds 12a, 12d, and 28 are the most active derivatives in this series, displaying activity comparable to that of retapamulin and BC-3781. As the metabolic stability of this series is not satisfactory, further modifications are going on to improve their pharmacokinetic profile.
  • Zhi-Feng Wang, Zhao-Jie Cui
    中国化学快报. 2016, 27(02): 241-246. https://doi.org/10.1016/j.cclet.2015.10.001
    摘要 ( ) PDF全文 ( ) HTML 可视化 收藏
    A method in combination with derivatization-supercritical fluid extraction (SFE) and gas chromatography (GC) for the speciation and quantitative determination of dimethylarsinate (DMA), monomethylarsonate (MMA) and inorganic arsenic in solid matrices was investigated. Thioglycolic acid methyl ester (TGM) and thioglycolic acid ethyl ester (TGE) were evaluated as derivatization reagents. The effects of pressure, temperature, flow rate of supercritical CO2, extraction time, modifier and microemulsion on the efficiency of extraction were systematically investigated. The procedure was applied to the analysis of real soil and sediment samples. Results showed that TGE was more effective for arsenic speciation as a derivatization reagent. Modifying supercritical CO2 with methanol can greatly improve the extraction efficiency. Further, the addition of microemulsion containing surfactant Triton X-100 can further enhance recoveries of arsenic species. The optimum extraction conditions were 100℃, 30 MPa, 10 min static and 25 min dynamic extraction with 5% (v/v) methanol, and surfactant modified supercritical CO2. Detection limits in solid matriceswere 0.15, 0.3 and 1.2 mg/kg for DMA,MMAand inorganic arsenic, respectively. The method was validated by the recovery data. The resulting method was fast, easy to perform and selective in the extraction and detection of various arsenic species in solid matrices.
  • Chao Long, Wan-Ci Luo, He-Ying Zhou, Yu-Feng Shi, Cheng-Hai Gao, Ri-Ming Huang
    中国化学快报. 2016, 27(02): 247-250. https://doi.org/10.1016/j.cclet.2015.10.005
    摘要 ( ) PDF全文 ( ) HTML 可视化 收藏
    Two new compounds, namely taenialactam C and globorin A (1 and 2), as well as six known compounds, cornoside (3), 2-phenylethyl-b-D-glucoside (4), 3-isopropyl-5-acetoxycyclohexene-2-one-1 (5), 4-methyl-phenol (6), 5-[(2S)-2-aminobutyl]-2-methyl-phenol (7), and 1-(4-methylphenyl)-1-propanone (8) were isolated from wild Phaeocystis globosa. The structures of the new compounds were established by detailed spectroscopic analysis and by comparison with spectral data of related known compounds. The structures of the known compounds were identified by comparing their spectroscopic data with those reported in the literature. This paper also reports toxicity properties of the eight compounds against the brine shrimp Artemia salina and juvenile Epinephelus akaara fish. Some of these compounds showed significant lethality on the brine shrimp A. salina and the juvenile E. akaara fish.
  • Xi-Le Deng, Li Zhang, Xue-Ping Hu, Bin Yin, Pei Liang, Xin-Ling Yang
    中国化学快报. 2016, 27(02): 251-255. https://doi.org/10.1016/j.cclet.2015.10.006
    摘要 ( ) PDF全文 ( ) HTML 可视化 收藏
    Based on the similarities in the conformation of VS008 (N-(4-methylphenyl)-3-(tert-butyl)-1-(phenylmethyl)-1H-pyrazole-5-carboxamide) and BYIO6830 (N'-(3,5-dimethylbenzoyl)-N'-tert-butyl-5-methyl-2,3-dihydro-1,4-benzodioxine-6-carbohydrazide) bound to the active site of the EcR subunit of the ecdysone receptor (EcR)-ultraspiracle protein (USP) heterodimeric receptor, a series of new pyrazole amide derivatives were designed and synthesized. Their structures were confirmed by IR, 1H NMR, 13C NMR and elemental analysis. Results from a preliminary bioassay revealed that two of the pyrazole derivatives exhibited promising insecticidal activity. Specifically, compounds 6e and 6i exhibited good activity against Helicoverpa armigera (cotton bollworm) at low concentration. Symptoms displayed by tebufenozide-treated H. armigera were identical with those displayed by its treated counterpart. 6i showed the same poisoning symptoms as those of tebufenozide. In addition, results from molecular docking result indicated that the binding modes of 6e and 6i at the active site of the EcR subunit of the heterodimeric receptor were similar to that of the bound tebufenozide.
  • Hong-Tao Zhang, Li-Jun Gu, Xiang-Zhong Huang, Rui Wang, Cheng Jin, Gan-Peng Li
    中国化学快报. 2016, 27(02): 256-260. https://doi.org/10.1016/j.cclet.2015.10.012
    摘要 ( ) PDF全文 ( ) HTML 可视化 收藏
    A visible-light-catalyzed synthesis of indol-3-yl aryl ketones from aryldiazonium salts, CO and indoles at room temperature was developed. This process provides a useful method for the preparation of diverse indol-3-yl aryl ketones from readily accessible reactants under base-free, acid-free and transition-metalfree conditions.
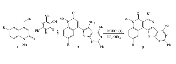
  • Dao-Lin Wang, Xiao-Ce Shi, Yong-Yang Wang, Jian Ma
    中国化学快报. 2016, 27(02): 261-264. https://doi.org/10.1016/j.cclet.2015.10.008
    摘要 ( ) PDF全文 ( ) HTML 可视化 收藏
    An efficient method for the synthesis of novel benzo[b]pyrimido[4',5':5,4]thieno[2,3e]-[1,6]naphthyridine-8-one derivatives via Pictet-Spengler cyclization is reported. The reaction of 4-(3-aminopyrimido[4,5-d]thieno-2-yl)quinoline-2-ones, which could be obtained from Thorpe-Ziegler isomerization of 4-bromomethylquinoline-2-ones and 5-cyano-1,6-dihydro-4-methyl-2-phenyl-6-thioxopyrimidine, with aromatic aldehydes in the presence of BF3 OEt2 gives pyrimidothieno[1,6]naphthyridines in good yields.
  • Ghasem Rezanejade Bardajee, Marzieh Mohammadi, Hasan Yari, Aseyeh Ghaedi
    中国化学快报. 2016, 27(02): 265-270. https://doi.org/10.1016/j.cclet.2015.10.011
    摘要 ( ) PDF全文 ( ) HTML 可视化 收藏
    Benzimidazoles, benzoxazoles, and benzothiazoles derivatives were synthesized from condensation of aldehydes and 1,2-phenylenediamine or ortho-aminophenol or ortho-aminothiophenol in the presence of catalytic amount of Fe(Ⅲ)-Schiff base/SBA-15 in water medium. Short reaction times, good to excellent yields, easy availability, reusability, and use of an eco-friendly catalyst are some of the significant attributes of the present method.
  • Zeng-Bo Pang, Hai-Feng Li, Lai-Lai Wang
    中国化学快报. 2016, 27(02): 271-276. https://doi.org/10.1016/j.cclet.2015.10.009
    摘要 ( ) PDF全文 ( ) HTML 可视化 收藏
    A series of novel chiral diphosphite ligands have been synthesized from (1R,2R)-trans-1,2-cyclohexanediol, (1S,2S)-trans-1,2-cyclohexanediol, racemic trans-1,2-cyclohexanediol and chlorophosphoric acid diary ester, and were successfully employed in the Cu-catalyzed asymmetric 1,4-conjugate addition of diethylzinc to cyclohexenone with up to 99% ee. It was found that ligand 1,2-bis[(R)-1,1'-binaphthyl-2,2'-diyl]phosphitecyclohexanediol 6a derived from racemic diol skeleton can show similar catalytic performance compared with ligand (1R,2R)-bis[(R)-1,1'-binaphthyl-2,2'-diyl]phosphitecyclohexanediol 6a' derived from enantiopure startingmaterial. A significant dependence of stereoselectivity on the type of enone and the ring size of the cyclic enone was observed. Moreover, the configuration of the products was mainly determined by the configuration of the binaphthyl moieties of diphosphite ligands in the 1,4-addition of cyclic enones.
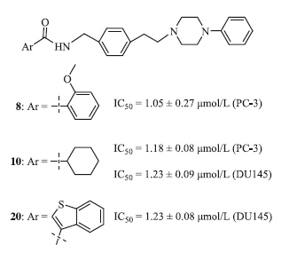
  • Hong Chen, Fang Xu, Bing-Bing Xu, Jing-Yi Xu, Bin-Hao Shao, Bi-Yun Huang, Mu Yuan
    中国化学快报. 2016, 27(02): 277-282. https://doi.org/10.1016/j.cclet.2015.09.016
    摘要 ( ) PDF全文 ( ) HTML 可视化 收藏
    A series of novel arylpiperazine derivatives was synthesized. The in vitro cytotoxic activities of all synthesized compounds against three human prostate cancer cell lines (PC-3, LNCaP, and DU145) were evaluated by a CCK-8 assay. Compounds 8, 10, 13, 17 and 20 exhibited strong cytotoxic activities against the tested cancer cell lines (IC50 <3 μmol/L). In addition, these compounds exhibited weak cytotoxic effects on human epithelial prostate normal cells WPMY-1. The structure-activity relationship (SAR) of these arylpiperazine derivatives was also discussed based on the obtained experimental data.
  • Jing-Wei Zheng, Lin Ma
    中国化学快报. 2016, 27(02): 283-286. https://doi.org/10.1016/j.cclet.2015.11.015
    摘要 ( ) PDF全文 ( ) HTML 可视化 收藏
    In this study, a novel class of histidine Schiff base silver (I) complexes derived from salicylaldehyde, 1a-9a, was found to be an effective inhibitor of α-glucosidase. The results of this study showed that the newly synthesized complexes inhibited α-glucosidase through noncompetitive mechanisms; the IC50 values were ranging from 0.00431 μmol L-1 to 0.492 μmol L-1. The structure-activity relationship was established as well. These results demonstrated that compound 7a, 5-nitro salicylaldehyde Schiff base silver complex, is the most promising α-glucosidase inhibitor with the lowest IC50 value, which could be exploited as a drug candidate to alleviate postprandial hyperglycemia in the treatment of type Ⅱ diabetes mellitus. This research provided a catalyst-free, simple, and environmentally benign reaction to synthesize compounds using mechanochemistry.
  • Zahid Zaheer, Firoz A. Kalam Khan, Jaiprakash N. Sangshetti, Rajendra H. Patil
    中国化学快报. 2016, 27(02): 287-294. https://doi.org/10.1016/j.cclet.2015.10.028
    摘要 ( ) PDF全文 ( ) HTML 可视化 收藏
    A series of novel 3-substituted-4-hydroxycoumarin derivatives 6(a-l) were synthesized in high yield using one-pot three component coupling reaction catalyzed by ceric ammonium nitrate. These compounds were evaluated for antileishmanial activity against Leishmania donovani promastigotes and antioxidant activity (DPPH-radical scavenging activity). Two compounds, 6h (IC50 = 9.90 μmol/L) and 6i (IC50 = 6.90 μmol/L) displayed potent antileishmanial activity when compared with standard antileishmanial agents pentamidine (IC50 = 16.15 μmol/L) and miltefosine (IC50 = 12.50 μmol/L). Three compounds, 6c (IC50 = 10.79 μmol/L), 6h (IC50 = 10.60 μmol/L), and 6i (IC50 = 10.73 μmol/L) showed significant antioxidant activity favorably with the antioxidant standards butylated hydroxy toluene (IC50 = 16.47 μmol/L) and ascorbic acid (IC50 = 12.69 μmol/L). A molecular docking study of compounds 6(a-l) suggested a possible mode of binding with the Adenine phosphoribosyltransferase enzyme of L. donovani. ADME properties were predicted in silico and support the potential of 6(a-l) to show favorable drug-like properties.
  • Mubarak H. Shaikh, Dnyaneshwar D. Subhedar, Firoz A. Kalam Khan, Jaiprakash N. Sangshetti, Bapurao B. Shingate
    中国化学快报. 2016, 27(02): 295-301. https://doi.org/10.1016/j.cclet.2015.11.003
    摘要 ( ) PDF全文 ( ) HTML 可视化 收藏
    A series of novel ethyl-7-((1-(benzyl)-1H-1,2,3-triazol-4-yl)methoxy)-2-oxo-2H-chromene-3-carboxylates 8a-h as potential antifungal agents were synthesized via click chemistry. The antifungal activity was evaluated against five human pathogenic fungal strains, such as Candida albicans, Fusarium oxysporum, Aspergillus flavus, Aspergillus niger and Cryptococcus neoformans. Compound 8c, 8d, 8e and 8h were found to be equipotent against C. albicans when compared with miconazole and compound 8f was found to be two-fold more active compared with miconazole and equipotent to fluconazole against C. albicans. The coumarin-based triazole derivatives were also evaluated for antioxidant activity and compound 8a was found to be potent antioxidant when compared with standard drug. Furthermore, molecular docking study of the newly synthesized compounds was performed and results showed good binding mode in the active site of fungal C. albicans enzyme P450 cytochrome lanosterol 14α-emethylase. Moreover, the synthesized compounds were also analyzed for ADME properties and showed potential to build up as good oral drug candidates.
  • Hai-Long Zhao, Hua-Long Chen, Jie Zhou, Bai-Ling Xu
    中国化学快报. 2016, 27(02): 302-304. https://doi.org/10.1016/j.cclet.2015.11.006
    摘要 ( ) PDF全文 ( ) HTML 可视化 收藏