本期目录

2016年, 第27卷, 第01期 刊出日期:2016-01-22
  

  • 全选
    |
    论著
  • Lin Li, Cun-Long Zhang, Hong-Rui Song, Chun-Yan Tan, Huai-Wei Ding, Yu-Yang Jiang
    中国化学快报. 2016, 27(01): 1-6. https://doi.org/10.1016/j.cclet.2015.09.008
    摘要 ( ) PDF全文 ( ) HTML 可视化 收藏
    A series of compounds possessing 2-(3-phenyl)ureidothiazol-4-formamide derivatives with a 2-ureidothiazole scaffold were designed and synthesized. Some compounds demonstrated inhibition of cell proliferation against both MDA-MB-231 and HepG2 cell lines using Sorafenib as the positive control. Compounds 6i showed a good to moderate inhibition on VEGFR-2 and PI3Kα which was proved by further molecular docking study. This study suggests that compound 6i is a potential dual inhibitor of VEGFR-2 and PI3Kα and is applicable for further investigation.
  • Xuan-Qi Liu, Ya-Qin Liu, Xu-Sheng Shao, Zhi-Ping Xu, Xiao-Yong Xu, Zhong Li
    中国化学快报. 2016, 27(01): 7-10. https://doi.org/10.1016/j.cclet.2015.10.002
    摘要 ( ) PDF全文 ( ) HTML 可视化 收藏
    A series of novel tetrahydroimidazo[1,2-a]pyridine-5(1H)-one derivatives containing a electronegative pharmacophore(=CNO2) were synthesized via practical aza-ene reaction and characterized by 1H NMR, 13C NMR, 19F NMR and HRMS. Preliminary bioassays showed that some of the target compounds exhibited good insecticidal activity against brown planthopper(Nilaparvata lugens) and cowpea aphids(Aphis craccivora) at 500 mg L-1. Among them, compound 11h was active against brown planthopper at 100 mg L-1. The insecticidal activities varied significantly depending on the types and patterns of the substituents, which provided guidance for further investigation on structure modifications.
  • Meng-Yi Xu, Ni-Na Xue, Di Liu, Yu-Mei Zhou, Wei Li, Yong-Qiang Li, Xiao-Guang Chen, Xiao-Ming Yu
    中国化学快报. 2016, 27(01): 11-15. https://doi.org/10.1016/j.cclet.2015.09.024
    摘要 ( ) PDF全文 ( ) HTML 可视化 收藏
    Heat shock protein 90(hsp90) is a promising anticancer drug target. A library of 2,4-dihydroxyphenyl(resorcinol) substituted 4,5,6,7-tetrahydro-[1,2,3]triazolo[1,5-a]pyrazine compounds that target this protein were designed and prepared based on our earlier study. The compounds were tested in five cancer cell lines and seven of them showed notable anticancer activity(IC50 2-10μmol/L). The active subset compounds were further subjected to a polarized fluorescent assay and exhibited high binding affinity toward purified hsp90(IC50 60-100 nmol/L). These results indicated that the tetrahydrotriazolopyrazine motif of the molecules may represent a novel scaffold for the development of hsp90 inhibitors.
  • Santhisudha Sarva, Jayaprakash Soora Harinath, Siva Prasad Sthanikam, Selvarajan Ethiraj, Mohanasrinivasan Vaithiyalingam, Suresh Reddy Cirandur
    中国化学快报. 2016, 27(01): 16-20. https://doi.org/10.1016/j.cclet.2015.08.012
    摘要 ( ) PDF全文 ( ) HTML 可视化 收藏
    A series of bioactive bis(indolyl)methanes are synthesized by one-pot green reaction of indole with various substituted aldehydes by microwave irradiation under solvent free conditions. The antibacterial activity against Staphylococcus aureus and anti-inflammatory activity of the synthesized bis(indolyl)-methanes are evaluated in vitro and compared to standard drugs tetracycline and diclofenac, respectively. The majority of the compounds showed good antibacterial and anti-inflammatory activity. Interestingly, compounds 3j, 3i, 3k and 3g exhibited much higher anti-inflammatory activity than the standard diclofenac drug and thus qualify for clinical trials to be used as an anti-inflammatory compound.
  • Xin-Xin Qi, Zhen-Zhen Song, Jin-Long Gong, Zheng-Yu Fang, Xiao-Feng Wu
    中国化学快报. 2016, 27(01): 21-24. https://doi.org/10.1016/j.cclet.2015.08.003
    摘要 ( ) PDF全文 ( ) HTML 可视化 收藏
    A convenient and transition-metal free protocol for quinazolinones synthesis with o-aminobenzamides and benzyl amines as substrates has been developed. Using H2O2 as the oxidant, various quinazolinones were obtained in moderate to good yields under metal-and additive-free conditions.
  • Yuan-Qin Zheng, Chun-Feng Luan, Zhi-Jing Wang, Yong-Qi Yao, Zhi-Chuan Shi, Xue-Feng Li, Zhi-Gang Zhao, Feng Chen
    中国化学快报. 2016, 27(01): 25-30. https://doi.org/10.1016/j.cclet.2015.08.013
    摘要 ( ) PDF全文 ( ) HTML 可视化 收藏
    2-Amino-3-nitrile-chromenes with potential antitumor activity were constructed by a novel catalytic system. In combination with α-naphthol, quinine could effectively promote the Michael-cyclization process of malononitrile with functionalized chalcones in high yields and moderate to good enantioselectivity(up to 84% ee). It is notable that the enantioselectivity could be greatly improved when α-naphthol was employed as additive.
  • M. Nibin Joy, Bhaskaran Savitha, Ayyiliyath M. Sajith, Yadav D. Bodke, Talavara Venkatesh, K. K. Abdul Khader, M. Syed Ali Padusha, A. Muralidharan
    中国化学快报. 2016, 27(01): 31-36. https://doi.org/10.1016/j.cclet.2015.08.015
    摘要 ( ) PDF全文 ( ) HTML 可视化 收藏
    A rapid, efficient, and facile synthesis of an assortment of C-2 substituted imidazopyrazines has been achieved by utilizing the palladium catalyzed Suzuki cross-coupling of 2-bromo-1H-imidazo[4,5-b]pyrazine with various boronic acids under microwave irradiation. The utilization of(A-taphos)2PdCl2 as a catalyst in combination with CsF as base and DME-H2O(4:1) as the solvent system at 100℃ procured the diaryls in acceptable to excellent yields. Prominent features of this developed methodology include short reaction times, fewer side products, and exceptional tolerance to a wide variety of functional groups.
  • Aamer Saeed, Pervaiz Ali Channar, Qasir Iqbal, Jamaluddin Mahar
    中国化学快报. 2016, 27(01): 37-40. https://doi.org/10.1016/j.cclet.2015.09.011
    摘要 ( ) PDF全文 ( ) HTML 可视化 收藏
    Synthesis of a series of new 3,6-diaryl-[1,2,4]triazolo[3,4-b][1,3,4]thiadiazoles(5a-o) was achieved by phophine free, C-H arylative cross-coupling of 6-aryl-[1,2,4]triazolo[3,4-b][1,3,4]thiadiazoles(4a-o) with suitably substituted iodoanilines using 1-(2-naphthoyl)-3-(4-bromophenyl)thiourea as a ligand. The requisite triazolothiadiazoles(4a-o) were obtained by the condensation of 4-amino-1,2,4-triazole-3-thiol(3) with suitably substituted aromatic acids in the presence of phosphoryl chloride.
  • Yang Zheng, Ren-Jun Li, Zhen Zhan, Yan Zhou, Li Hai, Yong Wu
    中国化学快报. 2016, 27(01): 41-46. https://doi.org/10.1016/j.cclet.2015.09.023
    摘要 ( ) PDF全文 ( ) HTML 可视化 收藏
    An efficient regioselective Friedel-Crafts hydroxyalkylation of N-substituted glyoxylamide with various indoles catalyzed by Lewis acids was developed. The reactions proceeded smoothly at room temperature and the 2-hydroxy-2-(1H-indol-3-yl)-N-substituted acetamide resulted from the reactions catalyzed by FeSO4 were synthesized in excellent yields(up to 93%). While the bisindole compounds were obtained when FeCl3 was used as a catalyst in excellent yields(up to 92%). A possible mechanism was proposed.
  • Wei Guo
    中国化学快报. 2016, 27(01): 47-50. https://doi.org/10.1016/j.cclet.2015.09.012
    摘要 ( ) PDF全文 ( ) HTML 可视化 收藏
    A direct metal-free C-H amination reaction of cinnamaldehydes and amidines to realize the synthesis of polysubstituted pyrimidines was developed in the presence of base. This greener synthetic methodology provides a straightforward approach to the synthesis of a variety of pyrimidine derivatives under mild reaction condition using oxygen as sole oxidants.
  • Zi-Jie Liu, Xiao-Yong Guo, Gang Liu
    中国化学快报. 2016, 27(01): 51-54. https://doi.org/10.1016/j.cclet.2015.11.001
    摘要 ( ) PDF全文 ( ) HTML 可视化 收藏
    We have explored the chemistry of N-oxide heterocycles and imidazoles replacing ring D of the natural product(+)-calanolide A, and have synthesized 12 new analogues, two of which were active against both R Mtb and NR Mtb with MIC values of 12.5μg/mL, which would lead to further optimization for more potent anti-TB candidates.
  • Yue-Ping Jiang, Qing-Lan Guo, Yu-Feng Liu, Jian-Gong Shi
    中国化学快报. 2016, 27(01): 55-58. https://doi.org/10.1016/j.cclet.2015.11.009
    摘要 ( ) PDF全文 ( ) HTML 可视化 收藏
    A neolignan codonopiloneolignanin A(1) with a novel 2,9:2',9:7,7'-tricyclo-8,'-neolignane skeleton was isolated from an aqueous extract of the Codonopsis pilosula roots. Its structure including the absolute configuration was elucidated by extensive spectroscopic analysis, including 2D NMR and electronic circular dichroism calculation. The proposed biosynthetic pathway of compound 1 is also discussed.
  • De-Lin Chen, Feng-Peng Wang, Xiao-Yu Liu
    中国化学快报. 2016, 27(01): 59-62. https://doi.org/10.1016/j.cclet.2015.09.005
    摘要 ( ) PDF全文 ( ) HTML 可视化 收藏
    Atisane diterpenes are biologically interesting natural products. We report here a convergent approach to construct the tetracyclic core of the atisane skeleton. The two segments were assembled through a Wittig reaction, while an intramolecular Aldol condensation served as the key step to furnish the tetracyclic skeleton.
  • Ling-Juan Zhu, Fei Yan, Jin-Peng Chen, Nan Zhang, Xue Zhang, Xin-Sheng Yao
    中国化学快报. 2016, 27(01): 63-65. https://doi.org/10.1016/j.cclet.2015.08.016
    摘要 ( ) PDF全文 ( ) HTML 可视化 收藏
    Two new 8-O-4' neolignan glycosides, named matteustruthiosides A(1) and B(2) were isolated from the aerial parts of Matteuccia struthiopteris. Their chemical structures were characterized on the basis of various spectroscopic techniques. The absolute configurations of them were determined by experimental circular dichroism(CD) spectra. Compounds 1 and 2 were inactive against influenza A(H1N1) virus in vitro.
  • Mehrnoosh Kangani, Malek-Taher Maghsoodlou, Nourallah Hazeri
    中国化学快报. 2016, 27(01): 66-70. https://doi.org/10.1016/j.cclet.2015.07.025
    摘要 ( ) PDF全文 ( ) HTML 可视化 收藏
    Vitamin B12 was applied as catalyst for the one-pot three-component synthesis of 3,4,5-trisubstituted furan-2(5H)-ones from the condensation between aldehydes, amines and dialkylacetylendicarboxylates at ambient temperature in EtOH. In addition, N-aryl-3-aminodihydropyrrol-2-one-4-carboxylates were synthesised using mentioned catalyst at ambient temperature in EtOH from condensation between formaldehyde, amines, and dialkylacetylenedicarboxylates. This methodology has number of advantages such as:use of green and nonhazardous catalyst, clean work up, short reaction times, high yields and no need to column chromatography.
  • Mohammad Ali Kamyabi, Fatemeh Soleymani-Bonoti, Saeed Zakavi
    中国化学快报. 2016, 27(01): 71-76. https://doi.org/10.1016/j.cclet.2015.09.001
    摘要 ( ) PDF全文 ( ) HTML 可视化 收藏
    The complexation of Pb2+ by diallyl disulfide(DADS), dimethyl disulfide(DMDS) and diallyl sulfide(DAS) has been studied by differential pulse voltammetry. Stability constants,(log β), of the 1:1(PbL) and 1:2(PbL2) complexes, where L=ligand, were found to be in the range of ca. 3.8-4.2 and 9.4-10.2, respectively. Complex formation is accompanied with a significant decrease in the peak current and the shift of the Pb2+/Pb half-wave potential to a higher one upon the addition of the sulfur containing ligands(L). The formation of 1:1 and 1:2 complexes, i.e., PbL2+and PbL22+ was observed in the case of the three ligands. The consecutive formation constants of labile lead complexes with DADS, DMDS, and DAS were determined at 298 K by the method of DeFord and Hume. Apparently due to the large size of the lead ion, steric hindrance caused by the greater steric bulk of DADS compared to that of DMDS have little or no effects on the formation constants, so that very similar values were obtained in the case of the two ligands. Also, the possible participation of C=C double bonds in coordination with the metal center in the case of DADS appears to compensate for the steric effects caused by the larger size of this ligand. In agreement with the Jorgensen principle of symbiosis, the second formation constants were found to be approximately six orders of magnitude greater than the first ones.
  • Wei Zhang, Zhi-Gang Xie
    中国化学快报. 2016, 27(01): 77-80. https://doi.org/10.1016/j.cclet.2015.09.009
    摘要 ( ) PDF全文 ( ) HTML 可视化 收藏
    Two-component supramolecular gels were made through self-assembly of tetrazolyl derivatives and Pd(OAc)2. The robust gels indicated high storage modulus(>10,000 Pa) and loss modulus, which were studied by rheological measurements. The formed Pd nanoparticles(~9 nm) obtained during the formation of the gel showed effective catalytic hydrogenation of nitrobenzene and could be recovered and reused without loss of activity.
  • Zhi-Lin Cheng, Wei Sun
    中国化学快报. 2016, 27(01): 81-84. https://doi.org/10.1016/j.cclet.2015.08.002
    摘要 ( ) PDF全文 ( ) HTML 可视化 收藏
    A facile preparation method of nano-CuO catalysts, assembled in the hollow nanotube of halloysite nanotubes(HNTs), was developed. The characterizations of XRD, TEM, SEM, BET, XRF and FT-IR were used to analyze the structure and properties of the nano-CuO/HNT loaded catalyst. The XRD patterns indicated that the CuO nanoparticles on HNTs were monoclinic phase. The TEM-EDX and SEM images confirmed that most of nano-CuO catalysts with the crystal size of ca. 20 nm were assembled into the hollow nanotube of HNTs. The catalytic performance of the nano-CuO/HNT catalysts was evaluated by using selective oxidation of cyclohexene. The reaction temperature and recycling times were investigated. The results reveal that the nano-CuO/HNT catalysts exhibit an excellent catalytic oxidation performance for selective oxidation of cyclohexene to 2-cyclohexene-1-one.
  • Yan Deng, Liang Qiao, Natalia Gasilova, Xin-Xiang Zhang, Hubert H. Girault
    中国化学快报. 2016, 27(01): 85-87. https://doi.org/10.1016/j.cclet.2015.09.017
    摘要 ( ) PDF全文 ( ) HTML 可视化 收藏
    The coupling between open channel-based microchip electrophoresis and mass spectrometry via electrostatic spray ionization is proposed for in situ detection of fractionated analytes. Electrophoretic separation is performed in an open channel fabricated in a plastic substrate. The solvent of background electrolyte is evaporated from the open channel because of Joule heating during electrophoresis, leaving the dried electrophoretic bands to be directly analyzed by mass spectrometry via scanning electrostatic spray ionization. Proof-of-concept results are obtained with fluorescent dyes and antibiotics as the test samples, demonstrating an efficient on-chip detection platform based on the electrophoresis and electrostatic spray ionization mass spectrometry.
  • Yan-Fen Zhang, Mei-Ling Qi, Ruo-Nong Fu
    中国化学快报. 2016, 27(01): 88-90. https://doi.org/10.1016/j.cclet.2015.05.054
    摘要 ( ) PDF全文 ( ) HTML 可视化 收藏
    Polydopamine(PDA) coating, a nature-inspired polymer, has attracted great attention in many areas due to its high adhesion strength and stability on almost all types of substrate surfaces. This work presents the first example of using PDA coating as a column pretreatment method in capillary gas chromatography(GC) and its employment in the column fabrication of cucurbit[7]uril(CB7) stationary phase. The fabricated PDA-CB7 column exhibited weakly polar nature and had advantages over CB7 column without PDA for the separations of some critical analytes in GC. This work demonstrates the advantage and potential of using PDA as a facile column pretreatment method in capillary GC column fabrication.
  • Aysegul Kutluay, Mehmet Aslanoglu
    中国化学快报. 2016, 27(01): 91-95. https://doi.org/10.1016/j.cclet.2015.04.038
    摘要 ( ) PDF全文 ( ) HTML 可视化 收藏
    The quantification of methyldopa in pharmaceuticals has been carried out using a glassy carbon electrode(GCE) modified with multi-walled carbon nanotubes(MWCNTs). Methyldopa exhibited a quasi-reversible response with a peak potential separation of 473 mV on a bare GCE. However, the cyclic voltammetric behaviour of methyldopa was improved with the increase of the amount of MWCNTs. It was also shown that the electrocatalytic activity of the electrode towards the response of methyldopa was higher with larger amount of film on the surface. The results showed that the peak current was proportional to the concentration of methyldopa with a linear dynamic range of 0.005-0.388μmol/L and a detection limit of 1.0 nmol/L was obtained using square wave voltammetry. The experimental data showed that the detection limit of methyldopa and peak separation from interfering compounds such as ascorbic acid(AA) and uric acid(UA) were improved using the proposed procedure. The method was successfully applied for the determination of methyldopa in pharmaceuticals.
  • Zhao-Hua Yan, Huan Tian, Dong-Dong Zhao, Hong-Ai Jin, Wei-Sheng Tian
    中国化学快报. 2016, 27(01): 96-98. https://doi.org/10.1016/j.cclet.2015.11.004
    摘要 ( ) PDF全文 ( ) HTML 可视化 收藏
    The reaction of a variety of aldoximes with perfluoroalkanosulfonyl fluoride in the presence of 1,8-diazabicyclo[5.4.0]undec-7-ene(DBU) in dichloromethane smoothly generated the corresponding nitriles in 70%-95% yields.
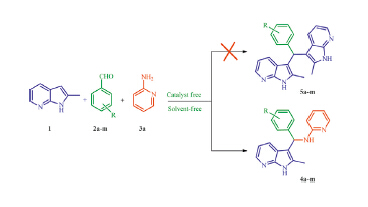
  • Sakharam B. Dongare, Hemant V. Chavan, Pravin S. Bhale, Yoginath B. Mule, Amol S. Kotmale, Babasaheb P. Bandgar
    中国化学快报. 2016, 27(01): 99-103. https://doi.org/10.1016/j.cclet.2015.07.029
    摘要 ( ) PDF全文 ( ) HTML 可视化 收藏
    A catalyst-and solvent-free protocol for the synthesis of 7-azagramine analogues is described via a three-component Mannich type reaction between 7-azaindole, aromatic aldehydes and heterocyclic amines in acceptable to excellent yields. Structures of the compounds were confirmed satisfactorily by 1H NMR, IR, mass, TOCSY, HSQC and HMBC spectral analyses.
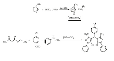
  • Nader Ghaffari Khaligh, Sharifah Bee Abd Hamid, Salam J. J. Titinchi
    中国化学快报. 2016, 27(01): 104-108. https://doi.org/10.1016/j.cclet.2015.07.027
    摘要 ( ) PDF全文 ( ) HTML 可视化 收藏
    N-Methylimidazolium perchlorate([MIm]ClO4) was synthesized and some of its physico-chemical properties, such as density, surface tension were investigated. A thermo gravimetric analysis(TGA) and solvent performance were also studied. The results show that this ionic liquid is an excellent catalyst for the synthesis of 4,4'-(arylmethylene)bis(1H-pyrazol-5-ol) derivatives under solvent-free conditions. This method has the advantages of high yield, clean transformation, simple operation and short reaction time. The ionic liquid can be recycled without significant loss of activity.
  • Fen Zhao, Zhen Chen, Kai Xie, Rui Yang, Yu-Bo Jiang
    中国化学快报. 2016, 27(01): 109-113. https://doi.org/10.1016/j.cclet.2015.09.021
    摘要 ( ) PDF全文 ( ) HTML 可视化 收藏
    A facile synthesis of 1,4-disubstituted 1,2,3-triazoles was achieved from nitrobenzenes and terminal alkynes under mild conditions. The reactions were successful for nitrobenzenes and terminal alkynes bearing various functionalities, from which the 1,2,3-triazole derivatives were smoothly synthesized through a four-step one-pot sequence.
  • Shahrzad Abdolmohammadi, Samira Karimpour
    中国化学快报. 2016, 27(01): 114-118. https://doi.org/10.1016/j.cclet.2015.08.014
    摘要 ( ) PDF全文 ( ) HTML 可视化 收藏
    This paper describes a very simple, efficient synthesis of quinazolinones and chromeno[d]pyrimidinones from the reaction of aryl aldehydes, urea/thiourea and active methylene compounds(dimedone/4-hydroxycoumarin) using nano-sized CuI particles under solvent-free conditions. The highlights of this new method are based on using an effective and recyclable catalyst, affording high yields of products, mild reaction conditions, facile work-up and purification.
  • Hadi Taghrir, Majid Ghashang, Mohammad Najafi Biregan
    中国化学快报. 2016, 27(01): 119-126. https://doi.org/10.1016/j.cclet.2015.08.011
    摘要 ( ) PDF全文 ( ) HTML 可视化 收藏
    Barium phosphate(Ba3(PO4)2) nano-powder was successfully synthesized via a simple precipitation route without any surfactant. The prepared nano-powder was applied for the facile synthesis of 1-amidoalkyl-2-naphthol derivatives using multi-component reaction of aldehydes, 2-naphthol and an amide(or urea) in high yields.
  • Yang Xu, Liang-Sheng Qiang, Yu-Lin Yang, Li-Guo Wei, Ping Wang, Rui-Qing Fan
    中国化学快报. 2016, 27(01): 127-134. https://doi.org/10.1016/j.cclet.2015.06.010
    摘要 ( ) PDF全文 ( ) HTML 可视化 收藏
    A pyridine-anchor co-adsorbent of N,N'-bis((pyridin-2-yl)(methyl) methylene)-o-phenylenediamine(named BPPI) is prepared and employed as co-adsorbent in dye-sensitized solar cells(DSSCs). The prepared co-adsorbent could overcome the deficiency of N719 absorption in the low wavelength region of visible spectrum, offset competitive visible light absorption of I3-, enhance the spectral responses of the co-adsorbed TiO2 film in region from 300 nm to 750 nm, suppress charge recombination, prolong electron lifetime, and decrease the total resistance of DSSCs. The optimized cell device co-sensitized by BPPI/N719 dye gives a short circuit current density of 12.98 mA cm-2, an open circuit voltage of 0.73 V, and a fill factor of 0.66 corresponding to an overall conversion efficiency of 6.22% under standard global AM 1.5 solar irradiation, which is much higher than that of device solely sensitized by N719(5.29%) under the same conditions. Mechanistic investigations are carried out by various spectral and electrochemical characterizations.
  • Wen-Qiang Qu, Yi-Ran Xia, Li-Juan Jiang, Li-Wei Zhang, Zhao-Sheng Hou
    中国化学快报. 2016, 27(01): 135-138. https://doi.org/10.1016/j.cclet.2015.07.018
    摘要 ( ) PDF全文 ( ) HTML 可视化 收藏
    In the paper, a new biodegradable polyurethane(PU, PU-I) was prepared:the prepolymer was synthesized via bulk ring-opening polymerization with poly(ethylene glycol)(Mn=600)(PEG600) as an initiator and L-lactide(L-LA), e-caprolactone(CL) as monomers, and the prepolymer was chain-extended with an isocyanate-terminated urethane triblock(macrodiisocyanate) to prepare the PU. The macrodiisocyanate, prepolymer and PUs were characterized by 1H NMR, 13C NMR, FT-IR, high resolution mass spectrometry(HR-MS), gel permeation chromatography(GPC), thermo gravimetric analysis(TGA), and differential scanning calorimetry(DSC). The corresponding PU films showed excellent mechanical properties with a tensile strength of 27.5 MPa and an elongation at break of 996%, and also maintained mechanical properties in physiological saline at 37℃ for more than three weeks, which appeared to be more suitable for biomedical applications.
  • Xiu-Yu Sun, Peng-Zhang Li, Bing Ai, Yue-Bo Wang
    中国化学快报. 2016, 27(01): 139-144. https://doi.org/10.1016/j.cclet.2015.08.008
    摘要 ( ) PDF全文 ( ) HTML 可视化 收藏
    Three types of MCM-41 absorbents, namely, Al3+-MCM-41, La3+-MCM-41, and Zn2+-MCM-41, were prepared through amine grafting, phosphonate modification, and metal ion chelation and characterized by Fourier transform infrared spectroscopy, thermogravimetric analysis, and N2 adsorption-desorption analysis. Results revealed that functionalized MCM-41 maintains the original structure of the molecular sieve and that the pore diameter and surface area are reduced compared with those of pure MCM-41. The adsorption behavior of DNA molecules on the surface of the modified molecular sieves was discussed according to the hard-soft acid-base(HSAB) principle. Experimental results showed that DNA purification could be effectively carried out on functionalized MCM-41 and that DNA is easily released by 3-4 mol L-1 NaCl solution. This study could be used as a general platform for future work on DNA adsorption and enrichment.
  • Xi-Xi Qin, Zhi-Lin Cheng
    中国化学快报. 2016, 27(01): 145-148. https://doi.org/10.1016/j.cclet.2015.07.012
    摘要 ( ) PDF全文 ( ) HTML 可视化 收藏
    Polyvinyl butyral(PVB) polymer was successfully synthesized using ionic liquid(IL) catalyst. The synthesis of PVB was achieved by acetalization of polyvinyl alcohol(PVA) and butyraldehyde(BA) in the presence of[HMIM]+HSO4- IL catalyst. The FT-IR, 1H NMR, DSC, GPC and SEM characterizations were used to analyze the structure and properties of PVB. The effects of the concentration of PVA in water and the number of reuse cycles on the acetalization degree were investigated. The results indicated that the maximum acetalization degree of PVB obtained using[HMIM]+HSO4- IL catalyst was up to 72%. The comparison of the commercial PVB and the PVB obtained using[HMIM]+HSO4- IL catalyst showed that the self-made PVB has a larger molecular weight, higher viscosity, and higher acetalization degree than the commercial PVB.
  • Li Zhang, Wen-Huan Dong, Ning-Zhao Shang, Cheng Feng, Shu-Tao Gao, Chun Wang
    中国化学快报. 2016, 27(01): 149-154. https://doi.org/10.1016/j.cclet.2015.08.007
    摘要 ( ) PDF全文 ( ) HTML 可视化 收藏
    A new catalyst, Pd particles supported on the N-doped porous carbon(PC) derived from Zn-based metal-organic frameworks(zeolitic imidazolate framework:ZIF-8), was successfully prepared for the first time. The as-prepared catalyst was designated as N-doped PC-Pd, and characterized by X-ray diffraction, X-ray photoelectron spectroscopy, transmission electron microscopy, scanning electron microscope, N2 adsorption and inductively coupled plasma atomic emission spectroscopy. The N-doped PC-Pd composite exhibited high catalytic activity toward the Suzuki-Miyaura cross-coupling reactions. The yields of the products were in the range of 90%-99%. The catalyst could be readily recycled and reused at least 6 consecutive cycles without a significant loss of its catalytic activity.
  • Lin-Li Hu, Wen Xue, Jun Yin
    中国化学快报. 2016, 27(01): 155-158. https://doi.org/10.1016/j.cclet.2015.09.010
    摘要 ( ) PDF全文 ( ) HTML 可视化 收藏
    A novel ammonium template containing three ammonium sites was synthesized. Two ammoniums located on the linear component served as template for cucurbit[6]uril to form the CB-based pseudo[2]rotacane while another one located on the macrocyclic component played a role of template for clipping reaction. As a result of a "threading-followed-by-clipping" approach, a novel hetero pseudo[2]rota[2]catenane was successfully constructed.
  • Jing Huang, Bin Guo, Wen-Jing Chu, Xin Xie, Yu-She Yang, Xian-Li Zhou
    中国化学快报. 2016, 27(01): 159-162. https://doi.org/10.1016/j.cclet.2015.09.002
    摘要 ( ) PDF全文 ( ) HTML 可视化 收藏
    GPR40 has emerged as an attractive drug target for the treatment of type 2 diabetes due to its role in the enhancement of insulin secretion with glucose dependency. With the aim to improve the metabolic and safety profiles, a series of novel phenylpropionic acid derivatives were synthesized. Extensive structural optimization led to identification of compounds 22g and 23e as potent GPR40 agonists with moderate liver microsomal stability. All the discovery supported further exploration surrounding this scaffold.
  • Li-Yuan Zhang, Bao-Lei Wang, Yi-Zhou Zhan, Yan Zhang, Xiao Zhang, Zheng-Ming Li
    中国化学快报. 2016, 27(01): 163-167. https://doi.org/10.1016/j.cclet.2015.09.015
    摘要 ( ) PDF全文 ( ) HTML 可视化 收藏
    A series of fluorine-and piperazine-containing 1,2,4-triazole thione derivatives were synthesized by the Mannich reaction of triazole intermediates with various substituted piperazines and formaldehyde in high yields. Structures of title compounds were confirmed by melting points, IR, 1H NMR, 13C NMR and elemental analysis. The preliminary bioassays for 17 novel title compounds showed that several compounds have significant fungicidal activity against Cercospora arachidicola, Physalospora piricola and Rhizoctonia cerealis at 50μg/mL.
  • Nileshkumar D. Vala, Hardik H. Jardosh, Manish P. Patel
    中国化学快报. 2016, 27(01): 168-172. https://doi.org/10.1016/j.cclet.2015.09.020
    摘要 ( ) PDF全文 ( ) HTML 可视化 收藏
    A general protocol has been developed for the facile construction of titled derivatives via three component reaction between 3-substituted phenyl-1H-pyrazole-4-carbaldehyde, malononitrile and various Michael donors in presence of 5 mol% polystyrene supported 7-methyl-1,5,7-triazabicyclo[4.4.0]dec-5-ene(PS-TBD). PS-TBD was reused for at least five runs with nearly constant catalytic activity. All compounds were screened for antimicrobial and antioxidant activities.
  • Xiao-Wei Cui, Shi-Yan Chen, Chuan-Zeng Wang, Wen-Xuan Zhao, Tao Sun, Xin-Long Ni, Yun-Qian Zhang, Zhu Tao
    中国化学快报. 2016, 27(01): 173-177. https://doi.org/10.1016/j.cclet.2015.10.007
    摘要 ( ) PDF全文 ( ) HTML 可视化 收藏
    The[CdCl4]2- anion as a structure inducer has proved to be useful in the construction of cucurbit[n]urilmetal coordination architectures and materials. In order to better understand the role and influence of the structure inducer in Q[n] systems, we report herein the self-assembly of Q[6] solely in the presence of[CdCl4]2- anions and in the presence of both a linear cationic organic guest and[CdCl4]2- anions. X-ray diffraction analysis revealed that 1D Q[6] porous channels were formed by the noncovalent interactions between Q[6] and[CdCl4]2- anions, but the "honeycomb effect" was not observed in the present study. However, it seems that the "honeycomb effect" and the self-assembly of Q[6] with[CdCl4]2- anions can be significantly modified and switched in the presence of a linear cationic dibutylamine guest through some unusual noncovalent interactions.
  • Jing Nie, Yuan-Jie Teng, Zu-Guang Li, Wen-Han Liu, Maw-Rong Lee
    中国化学快报. 2016, 27(01): 178-184. https://doi.org/10.1016/j.cclet.2015.09.006
    摘要 ( ) PDF全文 ( ) HTML 可视化 收藏
    A novel magnetic method using polystyrene modified magnetic nanoparticles to perform thermoheadspace extraction was successfully developed for extraction and preconcentration of volatile organic components in dry Traditional Chinese Medicine(TCM) based on gas chromatography-ion trap/mass spectrometry with a ChromatoProbe direct sample introduction device. The dried fruit of Amomum testaceum Ridl. was used as the object TCM. The optimum parameters of headspace magnetic solid-phase extraction were investigated, in which desorption solvent ethyl acetate played a key role in this method, and the headspace extraction temperature of 90℃ and the headspace extraction time of 15 min finally decided. Headspace solid-phase microextraction method was also used to analyze volatile compounds in the TCM to compare with the proposed method. The results show that 60 components were identified totally by two methods; most of the low boiling point chemical compounds are isolated by this new method. In this work, an environmental-friendly and cheap analytical method was established, and a new approach to analyze volatile compounds in dry Traditional Chinese Medicine was also provided.