本期目录

2015年, 第26卷, 第09期 刊出日期:2015-09-20
  

  • 全选
    |
    论著
  • Ai-E Wang, Zong Chang, Yong-Peng Liu, Pei-Qiang Huang
    中国化学快报. 2015, 26(09): 1055-1058. https://doi.org/10.1016/j.cclet.2015.05.033
    摘要 ( ) PDF全文 ( ) HTML 可视化 收藏
    Secondary amides are a class of highly stable compounds serving as versatile starting materials, intermediates and directing groups (amido groups) in organic synthesis. The direct deacylation of secondary amides to release amines is an important transformation in organic synthesis. Here, we report a protocol for the deacylation of secondary amides and isolation of amines. The method is based on the activation of amides with Tf2O, followed by addition of organocerium reagents, and acidic work-up. The reaction proceeded under mild conditions and afforded the corresponding amines, isolated as their hydrochloride salts, in good yields. In combination with the C-H activation functionalization methodology, the method is applicable to the functionalization of aniline as well as conversion of carboxylic derivatives to functionalized ketones.
  • Ji-Feng Wang, Bing-Bing Shi, Gang Li
    中国化学快报. 2015, 26(09): 1059-1064. https://doi.org/10.1016/j.cclet.2015.04.022
    摘要 ( ) PDF全文 ( ) HTML 可视化 收藏
    Using the hydrothermal reactions of Mn(II) and Ba(II) salts with 2-(3-hydroxylphenyl)-1H-imidazole-4,5-dicarboxylic acid (m-OHPhH3IDC), two novel metal-organic frameworks, namely, {[Mn(m-OHPhHIDC)(H2O)]·2H2O}n (1) and {[Ba(m-OHPhH2IDC)2(H2O)3] ·2H2O}n (2) have been synthesized and structurally characterized by single-crystal X-ray crystallography, elemental analyses, and IR spectroscopy. Complex 1 features a novel non-interpenetrated three-dimensional (3,4)-connected network with one-dimensional open channels. Complex 2 exhibits a two-dimensional layered structure with rhombic grids. The role of the central metals in the formation of final architectures has been discussed. Furthermore, luminescent and thermal properties of the two complexes have been studied.
  • Mahnaz Farahi, Bahador Karami, Zohreh Banaki
    中国化学快报. 2015, 26(09): 1065-1067. https://doi.org/10.1016/j.cclet.2015.05.035
    摘要 ( ) PDF全文 ( ) HTML 可视化 收藏
    A green regioselective synthesis of some new and known 9-aryl-5,9-dihydropyrimido[4,5-d][1,2,4]triazolo[1,5-a]pyrimidine-6,8(4H,7H)-diones has been described via the microwave-assisted one-pot reaction of 3-amino-1H-1,2,4-triazoles, aromatic aldehydes and barbituric acids under solvent- and catalyst-free conditions. This operationally simple procedure is less laborious and provides a better scope than previously reported procedures.
  • Si-Min Xia, Hui-Ming Yuan, Zheng Liang, Li-Hua Zhang, Yu-Kui Zhang
    中国化学快报. 2015, 26(09): 1068-1072. https://doi.org/10.1016/j.cclet.2015.05.042
    摘要 ( ) PDF全文 ( ) HTML 可视化 收藏
    In this work, a novel kind of particulate capillary precolumns with double-end polymer monolithic frits has been developed. Firstly, the polymer monolithic frit at one end was prepared via photo-initiated polymerization of a mixture of lauryl methacrylate and ethyleneglycol dimethacrylate with 1-propanol and 1,4-butanediol as porogens and 2,2-dimethoxy-2-phenylacetophenone as a photo-initiator in UV transparent coating capillary (100 μm i.d.). Subsequently, C18 particles (5 μm, 100Å) were packed into the capillary, and sealed with the polymer monolithic frit at another end. To prevent the reaction of monomers and C18 particles, the packed C18 particles were masked during UV exposure. The loading capacity of such a precolumn was determined to be about 9 μg by frontal analysis with a synthetic peptide APGDRIYVHPF as amodel sample. Furthermore, two parallel precolumns were incorporated into a two-dimensional nano-liquid chromatography (2D nano-LC) system with dual capillary trap columns for peptide trapping and concentration. Compared to 2D nano-LC system with a single trap column, such two dimensional separations could be operated simultaneously to improve the analysis throughput. All these results demonstrated that such capillary precolumns with double frits would be promising for high-throughput proteome analysis.
  • Ya-Li Shi, Yuan-Yuan Pan, Li-Na Liang, Ya-Qi Cai
    中国化学快报. 2015, 26(09): 1073-1078. https://doi.org/10.1016/j.cclet.2015.05.038
    摘要 ( ) PDF全文 ( ) HTML 可视化 收藏
    An on-line solid phase extraction-high performance liquid chromatography-tandemmass spectrometry method for the analysis of perfluoroalkyl substances (PFASs) in water samples was developed. The optimal analytical conditions were obtained through the optimization of the extraction efficiency of online solid phase extraction column, sample loading rate and loading volume, and the concentration of ammonium acetate in mobile phase. Under the optimal condition, the analytical method displayed good linearity (r2>0.99) for 12 PFASs (C5-C14 perfluoroalkyl carboxylic acids and C6/C8 perfluoroalkyl sulfonic acids) over a concentration range of 0.5-100 ng/L. The limits of quantitation for samples were between 0.025 ng/L and 0.5 ng/L and the relative standard deviations (RSD) of five consecutive analyses were less than 10% for 1 ng/L standard solution. Satisfactory results were obtained using this analytical method for the analysis of perfluoroalkyl substances in Antarctic ice core samples. The recoveries of all perfluoroalkyl substances were in a range of 73%-117% when the sampleswere spiked with standards at the concentrations of 2.5 ng/L and 25 ng/L.
  • Shu-Ming Zhang, Gui-Xiang Wang, Peng Guo, Yu-Huan Chen
    中国化学快报. 2015, 26(09): 1079-1084. https://doi.org/10.1016/j.cclet.2015.05.025
    摘要 ( ) PDF全文 ( ) HTML 可视化 收藏
    With different pyridine-analogs as auxiliary ligands, three novel Zn(II) complexes (1-3) based on 5-(1H-tetrazol-1-yl) isophthalic acid (H2L) have been synthesized and structurally characterized. Single crystal X-ray diffraction analyses of complexes 1-3 show the presence of tetrazolyl group, as well as the coordination behavior of the auxiliary ligands as critical factors determining the structures of such Zn(II)-carboxylate coordination architectures. In addition, the resulting complexes all exhibit luminescence properties in the solid state at room temperature.
  • Maryam Mirabedini, Elaheh Motamedi, Mohammad Zaman Kassaee
    中国化学快报. 2015, 26(09): 1085-1090. https://doi.org/10.1016/j.cclet.2015.05.021
    摘要 ( ) PDF全文 ( ) HTML 可视化 收藏
    Magnetically separable CuO nanoparticles supported on graphene oxide (Fe3O4 NPs/GO-CuO NPs) is synthesized and characterized for the preparation of propargylamines in EtOH, at 90℃. Fe3O4 NPs/GO-CuO NPs is found to be an efficient catalyst for the A3-coupling of aldehydes, amines, and alkynes through C-H activation. Both aromatic and aliphatic aldehydes and alkynes are combined with secondary amines to provide a wide range of propargylamines in moderate to excellent yields.
  • Shu-Yun Zhu, Hong-Yu Guo, Fa-Fu Yang, Zu-Sheng Wang
    中国化学快报. 2015, 26(09): 1091-1095. https://doi.org/10.1016/j.cclet.2015.03.031
    摘要 ( ) PDF全文 ( ) HTML 可视化 收藏
    By reacting alkynylthiacalix[4]arenes with polyethylene glycol azido compounds, a series of novel thiacalix[4]arene 1,2,3-triazole-polyethylene glycol netty polymerswere conveniently prepared in good yields. Their structures and morphologies were studied by 1H NMR, IR, and elemental analysis and SEM images. On average, approximately 28-31 thiacalixarene units exist in each polymeric molecule. These novel polymers possess excellent adsorption ability for both cationic and anionic dyes. The saturation adsorption capacity for Congo red reached 1.3-1.4 mmol/g. They exhibit high and stable adsorption ability in the scope of pH 5-9, and maintain good properties in five cycles.
  • Sheng-Ping Wang, Jing-Jie Zhou, Shu-Yang Zhao, Yu-Jun Zhao, Xin-Bin Ma
    中国化学快报. 2015, 26(09): 1096-1100. https://doi.org/10.1016/j.cclet.2015.05.005
    摘要 ( ) PDF全文 ( ) HTML 可视化 收藏
    This paper describes the effect of the in situ hydrolysis of 2-cyanopyridine and its derivatives on the synthesis of dimethyl carbonate (DMC) from CO2 and methanol over CeO2. 2-Cyanopyridine, with the highest electronic charge number of the carbon in the cyanogroup, is the most effective agent to accelerate the desired reaction by a decrease of water. CeO2(110) planes are active for the hydrolysis of 2-cyanopyridine, further enhancing the DMC formation by in situ removal of water effectively. The DMC yield is improved drastically up to 378.5 mmol g cat-1 from 12.8 mmol g cat-1 with the in situ hydrolysis of 2-cyanopyridine over rod-CeO2(110) catalyst.
  • Xin-Huang, Feng Yu, Ming-Yuan Zhu, Fei-Hong Ouyang, Bin Dai, Jian-Ming Dan
    中国化学快报. 2015, 26(09): 1101-1104. https://doi.org/10.1016/j.cclet.2015.05.020
    摘要 ( ) PDF全文 ( ) HTML 可视化 收藏
    Catalyst supports have very important effects on catalyst performance. A novel expanded multilayered vermiculite (EML-VMT) is successfully used as the catalyst support for the acetylene hydrochlorination. By mixing carbon on the surface of EML-VMT (i.e., EML-VMT-C), the HgCl2/EML-VMT-C achieved a high acetylene conversion of 97.3%, a vinyl chloride selectivity of 100% and a turn over frequency (TOF) value of 8.83×10-3 s-1 at a temperature of 140℃, an acetylene gas hourly space velocity (GHSV) of 108 h-1, and a feed volume ratio V(HCl)/V(C2H2) of 1.15. Moreover, the HgCl2/EML-VMT-C shows good stability. The EML-VMT also shows potential in the preparation of other EML-VMT-supported catalysts.
  • Kun-Lun Xu, Bao-Hua Guo, Renate Reiter, Günter Reiter, Jun Xu
    中国化学快报. 2015, 26(09): 1105-1108. https://doi.org/10.1016/j.cclet.2015.06.002
    摘要 ( ) PDF全文 ( ) HTML 可视化 收藏
    We present simulations of the mechanism of secondary nucleation of polymer crystallization, based on a new model accounting for the microscopic kinetics of attaching and detaching. As the key feature of the model, we introduced multibody-interaction parameters that establish correlations between the attaching and detaching rate constants and the resulting thickness and width of the crystalline lamella. Using MATLAB and Monte Carlomethod, we followed the evolution of the secondary nuclei as a function of various multibody-interaction parameters. We identified three different growth progressions of the crystal:(i) Widening, (ii) thickening and (iii) simultaneously thickening and widening of lamellar crystals, controlled by the corresponding kinetic parameters.
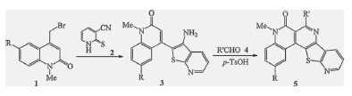
  • Dao-Lin Wang, Yong-Yang Wang, Xiao-Ce Shi, Jian Ma
    中国化学快报. 2015, 26(09): 1109-1112. https://doi.org/10.1016/j.cclet.2015.05.009
    摘要 ( ) PDF全文 ( ) HTML 可视化 收藏
    An efficient method for the synthesis of novel benzo[b]pyrido[3',2':4,5] thieno[2,3-e][1,6] naphthyridine-8-one derivatives has been developed using a Pictet-Spengler reaction between 4-(3-aminothieno[2,3-b]pyridin-2-yl)quinoline-2-ones, which could be obtained from the alkylation of 4-bromomethylquinoline-2-ones with 3-cyanopyridine-2-thione followed by a Thorpe-Ziegler isomerization, and aromatic aldehydes under p-TsOH as catalysis in good yields.
  • Seyed Meysam Baghbanian
    中国化学快报. 2015, 26(09): 1113-1116. https://doi.org/10.1016/j.cclet.2015.04.037
    摘要 ( ) PDF全文 ( ) HTML 可视化 收藏
    In this work, the natural nanozeolite clinoptilolite (Nano CP) was successfully functionalized by propylsulfonic acid and applied as efficient heterogeneous catalyst for the synthesis of quinoxaline derivatives in aqueous media. The nanocatalyst was characterized by various techniques such as CHN, XRD, FT-IR, BET, TGA/DTA, SEM, TEM and TEM-EDS. The results show its applicability as green, reusable and promising catalyst in organic synthesis. It was found that the nanocatalysts could be recycled and reused eight times without significant loss of catalytic activities.
  • Hong-Wei Shi, Chen Yu, Jie Yan
    中国化学快报. 2015, 26(09): 1117-1120. https://doi.org/10.1016/j.cclet.2015.05.029
    摘要 ( ) PDF全文 ( ) HTML 可视化 收藏
    KBr or NaCl is found to be a good catalyst in Se-Se bond cleavage of diselenides in the present of the oxidant mCPBA. The electrophilic addition of the in situ generated reactive electrophilic selenium species PhSeX (X=Br, Cl) to alkenes in AcOH provides a convenient access to 2-acetoxy-1-selenides. Compared with other catalysts, KBr or NaCl is less expensive and more environment-friendly.
  • Yi-Rou Jiang, Fu-Hua Sun, Xiao-Yong Zhou, Wei-Bo Kong, Xing-Yi Xie
    中国化学快报. 2015, 26(09): 1121-1128. https://doi.org/10.1016/j.cclet.2015.04.035
    摘要 ( ) PDF全文 ( ) HTML 可视化 收藏
    A series of aminoalkyl phosphates (AAP-n, with carbon number n ranging from 2 to 6) are used as surface modifiers to prepare hydroxyapatite hydrocolloids. The resulting nanoparticles (Cn-HA) possess a coreshell structure where an ionized layer of calcium-(AAP-n) complex [+H3N-(CH2)n-OPO3Ca] encapsulates each hydroxyapatite core. Long-term colloidal stability is achieved due to the electrostatic repulsion among the suspending particles. The incorporation of AAP-n results in a preferential crystal growth along c-axis, showing an increasing aspect ratio of particles from C2-HA to C6-HA. Preliminary cell culture using osteoblast-like MG63 cells shows no cytotoxicity associated with the as-prepared Cn-HA particles. The functional amino groups around the nanoparticles could be used to graft various organic chains to prepare homogeneous HA/polymer composites as bone grafting materials.
  • Aless, ro F. Martins, Johny P. Monteiro, Elton G. Bonafé, Adriana P. Gerola, Cleiser T. P. Silva, Emerson M. Girotto, Adley F. Rubira, Edvani C. Muniz
    中国化学快报. 2015, 26(09): 1129-1132. https://doi.org/10.1016/j.cclet.2015.04.032
    摘要 ( ) PDF全文 ( ) HTML 可视化 收藏
    Polysaccharide-based composite materials (beads) containing silver nanoparticles (AgNPs) were successfully prepared. Hydrogel beads acted as an efficient vehicle for Ag+ delivery. Beads promoted the AgNPs protection and inhibited their aggregation. Antimicrobial assays showed that the beads/AgNPs concentration can be modulated to deliver an amount of Ag+ necessary for kill Escherichia coli cells.
  • Lei Zhang, Yi-Zhong Yuan, Xiao-Hui Tian, Jin-Yu Sun
    中国化学快报. 2015, 26(09): 1133-1136. https://doi.org/10.1016/j.cclet.2015.05.027
    摘要 ( ) PDF全文 ( ) HTML 可视化 收藏
    A new type of diacetylene monomer which includes a biphenylcarboxylic acid group as its head group is synthesized. Polymerization was performed after monomer form spherical vesicle by self-assembly in the water. The polydiacetylene displayed completely thermochromic color change in the range of 20-95℃ owing to the presence of strong π-π interaction caused by biphenyl group and hydrogen bonding between head group.
  • Hui Zhang, Fei Huang, De-Lei Liu, Peng Shi
    中国化学快报. 2015, 26(09): 1137-1143. https://doi.org/10.1016/j.cclet.2015.05.026
    摘要 ( ) PDF全文 ( ) HTML 可视化 收藏
    Novel magnetic Fe3O4@C@MgAl-layered double-hydroxide (LDH) nanoparticles have been successfully prepared by the chemical self-assembly methods. The properties of surface functional groups, crystal structure, magnetism and surface morphology of magnetic nanoparticles were characterized by Fourier transform infrared spectroscopy (FT-IR), X-ray diffraction (XRD), thermal gravity-differential thermal gravity (TG-DTG), scanning electron microscopy (SEM), and transmission electron microscopy (TEM). The adsorption studies of the novel adsorbent in removing heavy metals Cr (VI) from waste water showed that the maximum absorption amount of Cr(VI) was 152.0 mg/g at 40℃ and pH 6.0. The excellent adsorption capacity of the Fe3O4@C@MgAl-LDH nano-absorbents plus their easy separation, environmentally friendly composition and reusability makes them more suitable adsorbents for the removal of metal ions from waste water.
  • Yao Chen, Xin-Wei Dou, Meng-Meng Zhang, Xuan Lu, Yu-Jun Qin, Pu Zhang, Zhi-Xin Guo
    中国化学快报. 2015, 26(09): 1144-1146. https://doi.org/10.1016/j.cclet.2015.05.045
    摘要 ( ) PDF全文 ( ) HTML 可视化 收藏
    Three-dimensional flower-like nanomaterials have wide application due to the large specific surface area. In this letter, the morphology of octadecylamine (ODA) from several common solvents is studied and it is found that from the chloroform and acetone solution, ODA assembles into petal-like structure, which further forms the spherical or flower-like architecture. Furthermore, the composite materials incorporated reduced graphene oxide (rGO) and ODA could well keep the flower-shaped structure of ODA. XRD results show that the introduction of graphene has little influence on the structure of ODA and contact angle test indicates good hydrophobic performance of the rGO/ODA material.
  • Hai-Xia Wang, Zhen-Ning Yan, Xiang-Li Wen, Yun-Xia Kang, Shuang-Yan Zhang
    中国化学快报. 2015, 26(09): 1147-1149. https://doi.org/10.1016/j.cclet.2015.04.036
    摘要 ( ) PDF全文 ( ) HTML 可视化 收藏
    The construction, performance characteristics and application of a new bismuth(III) PVC membrane electrode based on 5-(3,4,5-trimethoxyphenyl)-4-amino-1,2,4-triazole-3-thiol are reported in this paper. The designed sensor exhibited a Nernstian response for Bi3+ ion ranging from 5.0×10-7 mol/L to 1.0×10-2 mol/L with a slope of 19.8 mV/decade. The operational pH range of the sensor is 3.0-6.0. The electrode shows a response time of 6 s and can be used for at least five weeks without any considerable divergence in potentials. It exhibits very good selectivity relative to a wide variety of alkali, alkaline earth, transition and heavy metal ions. The proposed electrode could be used as an indicator electrode in potentiometric titration of Bi3+ ions with EDTA and in the determination of Bi3+ content in stomach medicine.
  • Xue-Qing Han, Qun-Feng Zhang, Feng Feng, Chun-Shan Lu, Lei Ma, Xiao-Nian Li
    中国化学快报. 2015, 26(09): 1150-1154. https://doi.org/10.1016/j.cclet.2015.04.031
    摘要 ( ) PDF全文 ( ) HTML 可视化 收藏
    Cu/SiO2 catalysts prepared by differentmethods have been investigated focusing on the influence of Cu+ on the catalytic performance. The composition, structure and copper valence state were characterized by means of BET, XRD, XPS, FTIR, N2O-titration. It was found that the Cu/SiO2 prepared by ammoniaevaporation (AE) method had much higher TOF value than that prepared by wetness-impregnation (WI) with the same THF selectivity. The higher TOF value was attributed to the coexistence of Cu+ and Cu0 species in the activated AE-Cu/SiO2, while only Cu0 species existing in the activated WI-Cu/SiO2. Researches suggest that Cu+ can adsorb and polarize the C=O bond of DMM. It is concluded that Cu0 could be the main active site and the synergistic effect between Cu0 and Cu+ could contribute to hydrogenation of DMM to THF.
  • Xian-He Huang, Meng-Meng Zhang, Xin-Wei Dou, Xuan Lu, Yu-Jun Qin, Pu Zhang, Jia-Hua Shi, Zhi-Xin Guo
    中国化学快报. 2015, 26(09): 1155-1157. https://doi.org/10.1016/j.cclet.2015.04.005
    摘要 ( ) PDF全文 ( ) HTML 可视化 收藏
    The layer-by-layer assembly of graphene oxide and diazoresin is carried out via the electrostatic and hydrogen bond interactions on planar substrates and colloidal templates. The successful planar and spherical growth of multilayer could be investigated by UV-vis spectrophotometry and scanning electron microscopy, respectively. Subsequent UV irradiation or heating would convert the ionic bonds and hydrogen bonds to covalent bands, which significantly improves the stability of the multilayer composite against solvent etching. For the cross-linked core-shell composites, the template cores could be removed by dissolution and hollow microspheres are obtained.
  • Guo-Ping Zeng, Chang-Quan Cai, Fen Tan, Ming-Wu Ding
    中国化学快报. 2015, 26(09): 1158-1160. https://doi.org/10.1016/j.cclet.2015.06.011
    摘要 ( ) PDF全文 ( ) HTML 可视化 收藏
    A new efficient synthesis of 2,5,6-trisubstituted oxazolo[5,4-d]pyrimidi-7(6H)-ones by consecutive aza-Wittig reaction was developed. The sequential three-component reaction of oxazolyliminophosphorane 4, isocyanates and amines produced 2,5,6-trisubstituted oxazolo[5,4-d]pyrimidi-7(6H)-ones 7 in good overall yields in the presence of catalytic amount of EtONa.
  • Hui Tang, Juan Wu, Wen Zhang, Lei Zhao, Ya-Hui Zhang, Cheng-Wu Shen
    中国化学快报. 2015, 26(09): 1161-1164. https://doi.org/10.1016/j.cclet.2015.04.030
    摘要 ( ) PDF全文 ( ) HTML 可视化 收藏
    A series of 3-substituted quinazolinones, 2-substituted quinoxalines and 2-substituted benzopyrans were synthesized and evaluated for their antifungal activity in vitro. The new compounds revealed excellent in vitro antifungal activity with broad spectrum. The structure-activity relationships (SARs) of the derivatives were analyzed. Compound 9A2 exhibits better antifungal activity against 5 tested fungi in vitro than fluconazole, especially against Trichophyton rubrum and Microsporum gypseum. This study provides a series of novel lead compounds for the development of non-azole antifungal agents.
  • Guo-Rui Gao, Meng-Yuan Li, Lin-Jiang Tong, Li-Xin Wei, Jian Ding, Hua Xie, Wen-Hu Duan
    中国化学快报. 2015, 26(09): 1165-1168. https://doi.org/10.1016/j.cclet.2015.07.016
    摘要 ( ) PDF全文 ( ) HTML 可视化 收藏
    Inhibition of VEGFR-2 signaling pathway has already become one of the most promising approaches for the treatment of cancer. In this study, we describe the design, synthesis, and biological evaluation of a series of O-linked indoles as potent inhibitors of VEGFR-2. Among these compounds, 18 showed significant anti-angiogenesis activities via VEGFR-2 in enzymatic proliferation assays, with IC50 value of 3.8 nmol/L. Kinase selectivity profiling revealed that 18 was a multitargeted inhibitor, and it also exhibited good potency against VEGFR-1, PDGFR-α and β.
  • Teng-Jie Ren, Juan Zhang, Yan-Hui Hu, Jun-Pan Li, Meng-Shuai Liu, Di-Shun Zhao
    中国化学快报. 2015, 26(09): 1169-1173. https://doi.org/10.1016/j.cclet.2015.05.023
    摘要 ( ) PDF全文 ( ) HTML 可视化 收藏
    Several metal-based ionic liquids (ILs) were synthesized and used as extractants for the desulfurization of dibenzothiophene (DBT) in simulated fuel oil. The effects of several anion and metal ions, n(ILs)/n(metal) as mole ratio, VIL/Voil and extractive times on the removal ratio of DBT were investigated in detail. The results showed that [BMIM]HSO4/FeCl3(BMIM was short for 1-butyl-3-methyl imidazole) was superior to the other ILs for the extractive desulfurization. A total of 100% of DBT was removed at room temperature in 5 min with V[BMIM]HSO4=FeCl3=Voil=1:1. The extractive activity of [BMIM]HSO4/FeCl3 IL did not change almost after five runs. Extractive desulfurization of different sulfur compounds and commercial diesel fuel oil were also examined. The removal ratios of the sulfur compounds as the reaction substrates were all over 90% and the sulfur content of commercial diesel oil decreased to 120 ppm from 12,400 ppm.
  • Xiu-Ming Liu, Dong-Qin He, Kuan-Jun Fang
    中国化学快报. 2015, 26(09): 1174-1178. https://doi.org/10.1016/j.cclet.2015.05.006
    摘要 ( ) PDF全文 ( ) HTML 可视化 收藏
    Monosized nanoparticles of 57.3 nm were prepared by cationic emulsion polymerization using a polymerizable emulsifier DMHB. The adsorption of nanoparticles onto bamboo fibers was measured by conductometric titration. The results indicated that the adsorption capacity increased with increasing contact time until 120 min. The equilibrium data for nanoparticles adsorption onto bamboo fibers were well fitted to the Langmuir equation. Moreover, the monolayer adsorption capacity of nanoparticles in the concentration range (from 0.03 g/L to 0.6 g/L) studied, as calculated from Langmuir isotherm model at 25℃, was found to be 38.61 mg/g of fibers. The SEM images showed that the nanoparticles form a uniform monolayer on bamboo fiber surfaces.
  • Tian-Tian Meng, Ying-Xin Liu, Meng-Tan Liu, Jiao-Bao Long, Qing-Feng Cao, Shu-Ya Yan, Xiang-Xian Meng
    中国化学快报. 2015, 26(09): 1179-1182. https://doi.org/10.1016/j.cclet.2015.05.039
    摘要 ( ) PDF全文 ( ) HTML 可视化 收藏
    Designing molecular logic gates to operate programmably for molecular diagnostics in molecular computing still remains challenging. Here, we designed a novel linear DNA logic gates for microRNA analysis based on strand displacement and fluorescence resonance energy transfer (FRET). Two labeled strands closed each other produce to FRET through hybridization with a complementary strand to form a basic work unit of logic gate. Two indicators of heart failure (microRNA-195 and microRNA-21) were selected as the logic inputs and the fluorescence mode was used as the logic output. We have demonstrated that the molecular logic gate mechanism worked well with the construction of YES and AND gates.
  • Alaa A. Hassan, Fathy F. Abdel-Latif, Mohamed Abdel Aziz, Sara M. Mostafa, Stefan Bräse, Martin Nieger
    中国化学快报. 2015, 26(09): 1183-1186. https://doi.org/10.1016/j.cclet.2015.05.034
    摘要 ( ) PDF全文 ( ) HTML 可视化 收藏
    2-(Hydrazinecarbothioyl)-N-substituted hydrazinecarbothioamides react with 2,3,5,6-tetrachloro-1,4-benzoquinone in high yields in a novel fast and facile method to give 5-unsubstituted-1,3,4-thiadiazole-2-amine derivatives. The synthesized compounds were characterized by spectroscopic methods and confirmed by using X-ray crystallography. A rationale for the formation of the products is presented.
  • Ravi Shrivastava, Jagjeet Kaur
    中国化学快报. 2015, 26(09): 1187-1190. https://doi.org/10.1016/j.cclet.2015.05.028
    摘要 ( ) PDF全文 ( ) HTML 可视化 收藏
    Di-bariummagnesium silicate phosphors doped with europiumand dysprosium were prepared under a weak reducing atmosphere. X-ray diffraction pattern of the sample was also done that confirmed the proper preparation of the phosphor. Scanning electron microscope (SEM) images confirmed that the sample has regular surface and uniform grain size distribution. Comparative studies of phosphorescence decay of Ba2MgSi2O7:Eu2+, Dy3+ phosphors with different concentration of Dy3+ were done. The phosphor with 0.5/1.5 mol% of Eu/Dy, exhibited optimum green color afterglow properties. This emission is expected to arise due to transition of Eu2+ ions from any of the sublevels of 4f65d1 configuration to 8S7/2 level of the 4f7 configuration. For a suitable trap depth, the trap concentration is expected to be proportional to the concentration of Dy3+. These traps are responsible for holding the charge career for a reasonable time, subsequently for increasing the time of afterglow. Hence, optimum Dy3+ concentration produces the longer afterglow duration with higher intensity of luminescence signals. Trap depth were also calculated using thermoluminescence glow curve which was indicative of formation of traps suitable for long afterglow.
  • P. Pradeepa, S. Edwinraj, M. Ramesh Prabhu
    中国化学快报. 2015, 26(09): 1191-1196. https://doi.org/10.1016/j.cclet.2015.05.007
    摘要 ( ) PDF全文 ( ) HTML 可视化 收藏
    Effects of nano-ceramic filler titanium oxide (TiO2) have been investigated on the ionic conductance of polymeric complexes consisting of poly(vinyl chloride) (PVC)/poly(ethyl methacrylate) (PEMA), and lithium perchlorate (LiClO4). The composite polymer blend electrolytes were prepared by solvent casting technique. The TiO2 nanofillers were homogeneously dispersed in the polymer electrolyte matrix and exhibited excellent interconnection with PVC/PEMA/PC/LiClO4 polymer electrolyte. The addition of TiO2 nanofillers improved the ionic conductivity of the polymer electrolyte to some extent when the content of TiO2 is 15 wt%. The addition of TiO2 also enhanced the thermal stability of the electrolyte. The changes in the structural and complex formation properties of the materials are studied by X-ray diffraction (XRD) and Fourier transform infrared spectroscopy (FTIR) techniques. The scanning electronmicroscope image of nano-composite polymer electrolyte membrane confirms that the TiO2 nanoparticles were distributed uniformly in the polymer matrix.